人肺癌光动力治疗的光学特性与测量吸收和减少散射系数。

IF 2.9 3区 医学 Q2 BIOCHEMICAL RESEARCH METHODS
Yu Shimojo, Yuri Morizane, Takumi Sonokawa, Jitsuo Usuda, Takahiro Nishimura
{"title":"人肺癌光动力治疗的光学特性与测量吸收和减少散射系数。","authors":"Yu Shimojo, Yuri Morizane, Takumi Sonokawa, Jitsuo Usuda, Takahiro Nishimura","doi":"10.1117/1.JBO.30.4.048001","DOIUrl":null,"url":null,"abstract":"<p><strong>Significance: </strong>The optical characteristics of a human lung, such as the light distribution in the tissue, are crucial for evaluating the light delivery of photodynamic therapy (PDT) for peripheral lung cancer.</p><p><strong>Aim: </strong>The light distribution in the human lung is analyzed with absorption ( <math> <mrow><msub><mi>μ</mi> <mi>a</mi></msub> </mrow> </math> ) and reduced scattering ( <math> <mrow> <msubsup><mrow><mi>μ</mi></mrow> <mrow><mi>s</mi></mrow> <mrow><mo>'</mo></mrow> </msubsup> </mrow> </math> ) coefficients measured <i>ex vivo</i> for normal, carbon-deposited, and tumor tissues.</p><p><strong>Approach: </strong>The <math> <mrow><msub><mi>μ</mi> <mi>a</mi></msub> </mrow> </math> and <math> <mrow> <msubsup><mrow><mi>μ</mi></mrow> <mrow><mi>s</mi></mrow> <mrow><mo>'</mo></mrow> </msubsup> </mrow> </math> spectra were measured using a double-integrating-sphere optical system and inverse Monte Carlo technique. The measured values were used to perform a light distribution analysis using a Monte Carlo light transport simulation.</p><p><strong>Results: </strong>The <math> <mrow><msub><mi>μ</mi> <mi>a</mi></msub> </mrow> </math> values varied between tissue types owing to the influence of carbon deposition, blood volume fraction, and oxygen saturation, whereas the <math> <mrow> <msubsup><mrow><mi>μ</mi></mrow> <mrow><mi>s</mi></mrow> <mrow><mo>'</mo></mrow> </msubsup> </mrow> </math> values showed almost no differences between tissue types. The simulation results showed that carbon deposition in the surrounding tissue and oxygen saturation variability had almost no effect on PDT light delivery to a tumor with a 10-mm-diameter sphere.</p><p><strong>Conclusions: </strong>Our analysis revealed the influence of the optical characteristics of the lung tissue on PDT light delivery. Integration of these results with the photosensitizer dose and the degree of necrosis changes will allow us to provide more clinically relevant insight in determining PDT dosimetry.</p>","PeriodicalId":15264,"journal":{"name":"Journal of Biomedical Optics","volume":"30 4","pages":"048001"},"PeriodicalIF":2.9000,"publicationDate":"2025-04-01","publicationTypes":"Journal Article","fieldsOfStudy":null,"isOpenAccess":false,"openAccessPdf":"https://www.ncbi.nlm.nih.gov/pmc/articles/PMC11960791/pdf/","citationCount":"0","resultStr":"{\"title\":\"Optical characteristics of human lung cancer for photodynamic therapy with measured absorption and reduced scattering coefficients.\",\"authors\":\"Yu Shimojo, Yuri Morizane, Takumi Sonokawa, Jitsuo Usuda, Takahiro Nishimura\",\"doi\":\"10.1117/1.JBO.30.4.048001\",\"DOIUrl\":null,\"url\":null,\"abstract\":\"<p><strong>Significance: </strong>The optical characteristics of a human lung, such as the light distribution in the tissue, are crucial for evaluating the light delivery of photodynamic therapy (PDT) for peripheral lung cancer.</p><p><strong>Aim: </strong>The light distribution in the human lung is analyzed with absorption ( <math> <mrow><msub><mi>μ</mi> <mi>a</mi></msub> </mrow> </math> ) and reduced scattering ( <math> <mrow> <msubsup><mrow><mi>μ</mi></mrow> <mrow><mi>s</mi></mrow> <mrow><mo>'</mo></mrow> </msubsup> </mrow> </math> ) coefficients measured <i>ex vivo</i> for normal, carbon-deposited, and tumor tissues.</p><p><strong>Approach: </strong>The <math> <mrow><msub><mi>μ</mi> <mi>a</mi></msub> </mrow> </math> and <math> <mrow> <msubsup><mrow><mi>μ</mi></mrow> <mrow><mi>s</mi></mrow> <mrow><mo>'</mo></mrow> </msubsup> </mrow> </math> spectra were measured using a double-integrating-sphere optical system and inverse Monte Carlo technique. The measured values were used to perform a light distribution analysis using a Monte Carlo light transport simulation.</p><p><strong>Results: </strong>The <math> <mrow><msub><mi>μ</mi> <mi>a</mi></msub> </mrow> </math> values varied between tissue types owing to the influence of carbon deposition, blood volume fraction, and oxygen saturation, whereas the <math> <mrow> <msubsup><mrow><mi>μ</mi></mrow> <mrow><mi>s</mi></mrow> <mrow><mo>'</mo></mrow> </msubsup> </mrow> </math> values showed almost no differences between tissue types. The simulation results showed that carbon deposition in the surrounding tissue and oxygen saturation variability had almost no effect on PDT light delivery to a tumor with a 10-mm-diameter sphere.</p><p><strong>Conclusions: </strong>Our analysis revealed the influence of the optical characteristics of the lung tissue on PDT light delivery. Integration of these results with the photosensitizer dose and the degree of necrosis changes will allow us to provide more clinically relevant insight in determining PDT dosimetry.</p>\",\"PeriodicalId\":15264,\"journal\":{\"name\":\"Journal of Biomedical Optics\",\"volume\":\"30 4\",\"pages\":\"048001\"},\"PeriodicalIF\":2.9000,\"publicationDate\":\"2025-04-01\",\"publicationTypes\":\"Journal Article\",\"fieldsOfStudy\":null,\"isOpenAccess\":false,\"openAccessPdf\":\"https://www.ncbi.nlm.nih.gov/pmc/articles/PMC11960791/pdf/\",\"citationCount\":\"0\",\"resultStr\":null,\"platform\":\"Semanticscholar\",\"paperid\":null,\"PeriodicalName\":\"Journal of Biomedical Optics\",\"FirstCategoryId\":\"3\",\"ListUrlMain\":\"https://doi.org/10.1117/1.JBO.30.4.048001\",\"RegionNum\":3,\"RegionCategory\":\"医学\",\"ArticlePicture\":[],\"TitleCN\":null,\"AbstractTextCN\":null,\"PMCID\":null,\"EPubDate\":\"\",\"PubModel\":\"\",\"JCR\":\"Q2\",\"JCRName\":\"BIOCHEMICAL RESEARCH METHODS\",\"Score\":null,\"Total\":0}","platform":"Semanticscholar","paperid":null,"PeriodicalName":"Journal of Biomedical Optics","FirstCategoryId":"3","ListUrlMain":"https://doi.org/10.1117/1.JBO.30.4.048001","RegionNum":3,"RegionCategory":"医学","ArticlePicture":[],"TitleCN":null,"AbstractTextCN":null,"PMCID":null,"EPubDate":"","PubModel":"","JCR":"Q2","JCRName":"BIOCHEMICAL RESEARCH METHODS","Score":null,"Total":0}
引用次数: 0

摘要

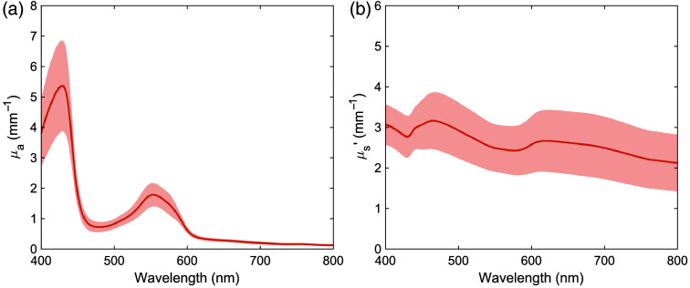
意义:人体肺部的光学特性,如组织中的光分布,对于评估光动力疗法(PDT)治疗周围性肺癌的光传递至关重要。目的:通过测定正常组织、沉积组织和肿瘤组织的吸光系数(μ a)和减光散射系数(μ s’),分析光在人体肺中的分布。方法:采用双积分球光学系统和反蒙特卡罗技术测量μ a和μ s光谱。利用蒙特卡罗光输运模拟,利用测量值进行光分布分析。结果:不同组织类型的μ a值受碳沉积、血容量分数和血氧饱和度的影响而不同,而不同组织类型的μ s值几乎没有差异。模拟结果表明,周围组织中的碳沉积和氧饱和度变化对PDT光传输到直径为10mm的球体的肿瘤几乎没有影响。结论:我们的分析揭示了肺组织的光学特性对PDT光传输的影响。将这些结果与光敏剂剂量和坏死变化程度相结合,将使我们能够为确定PDT剂量学提供更多临床相关的见解。
本文章由计算机程序翻译,如有差异,请以英文原文为准。

Optical characteristics of human lung cancer for photodynamic therapy with measured absorption and reduced scattering coefficients.

Optical characteristics of human lung cancer for photodynamic therapy with measured absorption and reduced scattering coefficients.

Optical characteristics of human lung cancer for photodynamic therapy with measured absorption and reduced scattering coefficients.

Optical characteristics of human lung cancer for photodynamic therapy with measured absorption and reduced scattering coefficients.

Significance: The optical characteristics of a human lung, such as the light distribution in the tissue, are crucial for evaluating the light delivery of photodynamic therapy (PDT) for peripheral lung cancer.

Aim: The light distribution in the human lung is analyzed with absorption ( μ a ) and reduced scattering ( μ s ' ) coefficients measured ex vivo for normal, carbon-deposited, and tumor tissues.

Approach: The μ a and μ s ' spectra were measured using a double-integrating-sphere optical system and inverse Monte Carlo technique. The measured values were used to perform a light distribution analysis using a Monte Carlo light transport simulation.

Results: The μ a values varied between tissue types owing to the influence of carbon deposition, blood volume fraction, and oxygen saturation, whereas the μ s ' values showed almost no differences between tissue types. The simulation results showed that carbon deposition in the surrounding tissue and oxygen saturation variability had almost no effect on PDT light delivery to a tumor with a 10-mm-diameter sphere.

Conclusions: Our analysis revealed the influence of the optical characteristics of the lung tissue on PDT light delivery. Integration of these results with the photosensitizer dose and the degree of necrosis changes will allow us to provide more clinically relevant insight in determining PDT dosimetry.

求助全文
通过发布文献求助,成功后即可免费获取论文全文。 去求助
来源期刊
CiteScore
6.40
自引率
5.70%
发文量
263
审稿时长
2 months
期刊介绍: The Journal of Biomedical Optics publishes peer-reviewed papers on the use of modern optical technology for improved health care and biomedical research.
×
引用
GB/T 7714-2015
复制
MLA
复制
APA
复制
导出至
BibTeX EndNote RefMan NoteFirst NoteExpress
×
提示
您的信息不完整,为了账户安全,请先补充。
现在去补充
×
提示
您因"违规操作"
具体请查看互助需知
我知道了
×
提示
确定
请完成安全验证×
copy
已复制链接
快去分享给好友吧!
我知道了
右上角分享
点击右上角分享
0
联系我们:info@booksci.cn Book学术提供免费学术资源搜索服务,方便国内外学者检索中英文文献。致力于提供最便捷和优质的服务体验。 Copyright © 2023 布克学术 All rights reserved.
京ICP备2023020795号-1
ghs 京公网安备 11010802042870号
Book学术文献互助
Book学术文献互助群
群 号:604180095
Book学术官方微信