常规非门控胸部CT对主动脉瓣钙化的视觉分级预测预后并改变处理方法。

IF 4.7 2区 医学 Q1 RADIOLOGY, NUCLEAR MEDICINE & MEDICAL IMAGING
European Radiology Pub Date : 2025-10-01 Epub Date: 2025-04-02 DOI:10.1007/s00330-025-11553-w
Samuel G S Gunning, John Graby, Yashesh Mody, Pia F P Charters, Tim A Burnett, David Murphy, Ali Khavandi, Jonathan C L Rodrigues
{"title":"常规非门控胸部CT对主动脉瓣钙化的视觉分级预测预后并改变处理方法。","authors":"Samuel G S Gunning, John Graby, Yashesh Mody, Pia F P Charters, Tim A Burnett, David Murphy, Ali Khavandi, Jonathan C L Rodrigues","doi":"10.1007/s00330-025-11553-w","DOIUrl":null,"url":null,"abstract":"<p><strong>Objective: </strong>BSCI/BSTI guidelines recommend reporting aortic valve calcification (AVC) on all chest CTs regardless of indication. We assessed AVC frequency, severity, and association with aortic stenosis (AS) on echocardiography and its prognostic implications.</p><p><strong>Methods: </strong>Retrospective, single-centre analysis of consecutive chest CTs (January-December 2015) for 200 patients per age group (< 40, 40-49, 50-59, 60-69, 70-79, 80-89, ≥ 90) performed for medical, surgical, and oncological indications. CTs were re-reviewed for the presence and graded severity of AVC and coronary artery calcification (CAC). Corresponding echocardiography reports (within 5 years) reviewed for AS. Comorbidities and clinical outcomes were recorded.</p><p><strong>Results: </strong>One thousand three hundred seventy-seven patients were included (mean age 64 ± 20 years, 55% female). AVC was present in 25% (350/1377) and was more prevalent in males (p < 0.001). Frequency and severity increased with age (p < 0.001). 38% (524/1377) had an echocardiogram (median inter-test interval 4.3 months [IQR 0.4-17.5]). Sixteen per cent (29/178) with AVC had AS of any severity (8% [15/178] mild; 8% [14/178] moderate; 0% [0/178] severe). Sensitivity and specificity for AVC predicting AS were 91% and 70%, respectively. Extrapolating findings, 8% of individuals with AVC and without an echocardiogram may have undiagnosed AS. All-cause mortality occurred in 53% (734/1377), which AVC predicted independently of CAC and age (p < 0.001). Adjusting for confounders, severe AVC predicted all-cause mortality (HR 1.56 [1.10-2.22], p = 0.013).</p><p><strong>Conclusions: </strong>AVC identified AS in 16% of patients. Additionally, severe AVC is an independent predictor of all-cause mortality in multivariable analysis. Validation in a prospective cohort is required to inform clinical practice guidelines.</p><p><strong>Key points: </strong>Question New guidelines recommend reporting AVC on all non-gated chest CTs, the prognostic and clinical relevance of which is uncertain. Findings There are associations between visually quantified AVC, AS on echocardiography, and all-cause mortality in an unselected population referred for routine chest CT. Clinical relevance These results support the reporting of all severities of AVC, especially severe AVC, as a prognostic marker in all age groups. The clinical implications require further clarification in a prospective cohort.</p>","PeriodicalId":12076,"journal":{"name":"European Radiology","volume":" ","pages":"6291-6301"},"PeriodicalIF":4.7000,"publicationDate":"2025-10-01","publicationTypes":"Journal Article","fieldsOfStudy":null,"isOpenAccess":false,"openAccessPdf":"https://www.ncbi.nlm.nih.gov/pmc/articles/PMC12417276/pdf/","citationCount":"0","resultStr":"{\"title\":\"Visual ordinal grading of aortic valve calcification on routine non-gated chest CT predicts prognosis and alters management.\",\"authors\":\"Samuel G S Gunning, John Graby, Yashesh Mody, Pia F P Charters, Tim A Burnett, David Murphy, Ali Khavandi, Jonathan C L Rodrigues\",\"doi\":\"10.1007/s00330-025-11553-w\",\"DOIUrl\":null,\"url\":null,\"abstract\":\"<p><strong>Objective: </strong>BSCI/BSTI guidelines recommend reporting aortic valve calcification (AVC) on all chest CTs regardless of indication. We assessed AVC frequency, severity, and association with aortic stenosis (AS) on echocardiography and its prognostic implications.</p><p><strong>Methods: </strong>Retrospective, single-centre analysis of consecutive chest CTs (January-December 2015) for 200 patients per age group (< 40, 40-49, 50-59, 60-69, 70-79, 80-89, ≥ 90) performed for medical, surgical, and oncological indications. CTs were re-reviewed for the presence and graded severity of AVC and coronary artery calcification (CAC). Corresponding echocardiography reports (within 5 years) reviewed for AS. Comorbidities and clinical outcomes were recorded.</p><p><strong>Results: </strong>One thousand three hundred seventy-seven patients were included (mean age 64 ± 20 years, 55% female). AVC was present in 25% (350/1377) and was more prevalent in males (p < 0.001). Frequency and severity increased with age (p < 0.001). 38% (524/1377) had an echocardiogram (median inter-test interval 4.3 months [IQR 0.4-17.5]). Sixteen per cent (29/178) with AVC had AS of any severity (8% [15/178] mild; 8% [14/178] moderate; 0% [0/178] severe). Sensitivity and specificity for AVC predicting AS were 91% and 70%, respectively. Extrapolating findings, 8% of individuals with AVC and without an echocardiogram may have undiagnosed AS. All-cause mortality occurred in 53% (734/1377), which AVC predicted independently of CAC and age (p < 0.001). Adjusting for confounders, severe AVC predicted all-cause mortality (HR 1.56 [1.10-2.22], p = 0.013).</p><p><strong>Conclusions: </strong>AVC identified AS in 16% of patients. Additionally, severe AVC is an independent predictor of all-cause mortality in multivariable analysis. Validation in a prospective cohort is required to inform clinical practice guidelines.</p><p><strong>Key points: </strong>Question New guidelines recommend reporting AVC on all non-gated chest CTs, the prognostic and clinical relevance of which is uncertain. Findings There are associations between visually quantified AVC, AS on echocardiography, and all-cause mortality in an unselected population referred for routine chest CT. Clinical relevance These results support the reporting of all severities of AVC, especially severe AVC, as a prognostic marker in all age groups. The clinical implications require further clarification in a prospective cohort.</p>\",\"PeriodicalId\":12076,\"journal\":{\"name\":\"European Radiology\",\"volume\":\" \",\"pages\":\"6291-6301\"},\"PeriodicalIF\":4.7000,\"publicationDate\":\"2025-10-01\",\"publicationTypes\":\"Journal Article\",\"fieldsOfStudy\":null,\"isOpenAccess\":false,\"openAccessPdf\":\"https://www.ncbi.nlm.nih.gov/pmc/articles/PMC12417276/pdf/\",\"citationCount\":\"0\",\"resultStr\":null,\"platform\":\"Semanticscholar\",\"paperid\":null,\"PeriodicalName\":\"European Radiology\",\"FirstCategoryId\":\"3\",\"ListUrlMain\":\"https://doi.org/10.1007/s00330-025-11553-w\",\"RegionNum\":2,\"RegionCategory\":\"医学\",\"ArticlePicture\":[],\"TitleCN\":null,\"AbstractTextCN\":null,\"PMCID\":null,\"EPubDate\":\"2025/4/2 0:00:00\",\"PubModel\":\"Epub\",\"JCR\":\"Q1\",\"JCRName\":\"RADIOLOGY, NUCLEAR MEDICINE & MEDICAL IMAGING\",\"Score\":null,\"Total\":0}","platform":"Semanticscholar","paperid":null,"PeriodicalName":"European Radiology","FirstCategoryId":"3","ListUrlMain":"https://doi.org/10.1007/s00330-025-11553-w","RegionNum":2,"RegionCategory":"医学","ArticlePicture":[],"TitleCN":null,"AbstractTextCN":null,"PMCID":null,"EPubDate":"2025/4/2 0:00:00","PubModel":"Epub","JCR":"Q1","JCRName":"RADIOLOGY, NUCLEAR MEDICINE & MEDICAL IMAGING","Score":null,"Total":0}
引用次数: 0

摘要

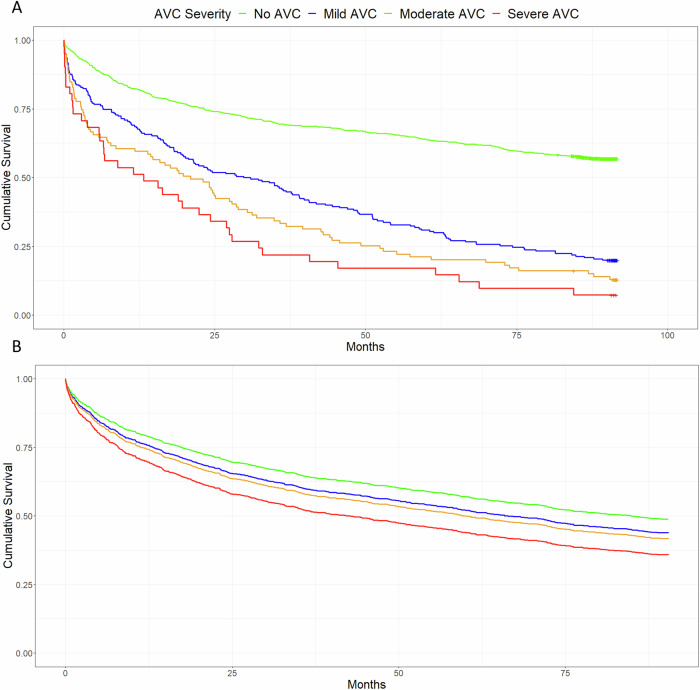
目的:BSCI/BSTI指南建议在所有胸部ct上报告主动脉瓣钙化(AVC),无论有无指征。我们通过超声心动图评估AVC的频率、严重程度以及与主动脉瓣狭窄(AS)的相关性及其预后意义。方法:回顾性、单中心分析每个年龄组200例患者的连续胸部ct(2015年1月至12月)(结果:纳入1377例患者(平均年龄64±20岁,55%为女性)。AVC在25%(350/1377)中存在,在男性中更为普遍(p结论:AVC在16%的患者中被确定为AS。此外,在多变量分析中,严重AVC是全因死亡率的独立预测因子。需要在前瞻性队列中进行验证,以告知临床实践指南。新指南建议报告所有非门控胸部ct的AVC,其预后和临床相关性尚不确定。结果:在未选择的人群中,视觉量化的AVC、超声心动图上的AS与常规胸部CT检查的全因死亡率之间存在关联。这些结果支持所有严重程度的AVC,特别是重度AVC作为所有年龄组预后指标的报道。临床意义需要在前瞻性队列中进一步澄清。
本文章由计算机程序翻译,如有差异,请以英文原文为准。

Visual ordinal grading of aortic valve calcification on routine non-gated chest CT predicts prognosis and alters management.

Visual ordinal grading of aortic valve calcification on routine non-gated chest CT predicts prognosis and alters management.

Visual ordinal grading of aortic valve calcification on routine non-gated chest CT predicts prognosis and alters management.

Visual ordinal grading of aortic valve calcification on routine non-gated chest CT predicts prognosis and alters management.

Objective: BSCI/BSTI guidelines recommend reporting aortic valve calcification (AVC) on all chest CTs regardless of indication. We assessed AVC frequency, severity, and association with aortic stenosis (AS) on echocardiography and its prognostic implications.

Methods: Retrospective, single-centre analysis of consecutive chest CTs (January-December 2015) for 200 patients per age group (< 40, 40-49, 50-59, 60-69, 70-79, 80-89, ≥ 90) performed for medical, surgical, and oncological indications. CTs were re-reviewed for the presence and graded severity of AVC and coronary artery calcification (CAC). Corresponding echocardiography reports (within 5 years) reviewed for AS. Comorbidities and clinical outcomes were recorded.

Results: One thousand three hundred seventy-seven patients were included (mean age 64 ± 20 years, 55% female). AVC was present in 25% (350/1377) and was more prevalent in males (p < 0.001). Frequency and severity increased with age (p < 0.001). 38% (524/1377) had an echocardiogram (median inter-test interval 4.3 months [IQR 0.4-17.5]). Sixteen per cent (29/178) with AVC had AS of any severity (8% [15/178] mild; 8% [14/178] moderate; 0% [0/178] severe). Sensitivity and specificity for AVC predicting AS were 91% and 70%, respectively. Extrapolating findings, 8% of individuals with AVC and without an echocardiogram may have undiagnosed AS. All-cause mortality occurred in 53% (734/1377), which AVC predicted independently of CAC and age (p < 0.001). Adjusting for confounders, severe AVC predicted all-cause mortality (HR 1.56 [1.10-2.22], p = 0.013).

Conclusions: AVC identified AS in 16% of patients. Additionally, severe AVC is an independent predictor of all-cause mortality in multivariable analysis. Validation in a prospective cohort is required to inform clinical practice guidelines.

Key points: Question New guidelines recommend reporting AVC on all non-gated chest CTs, the prognostic and clinical relevance of which is uncertain. Findings There are associations between visually quantified AVC, AS on echocardiography, and all-cause mortality in an unselected population referred for routine chest CT. Clinical relevance These results support the reporting of all severities of AVC, especially severe AVC, as a prognostic marker in all age groups. The clinical implications require further clarification in a prospective cohort.

求助全文
通过发布文献求助,成功后即可免费获取论文全文。 去求助
来源期刊
European Radiology
European Radiology 医学-核医学
CiteScore
11.60
自引率
8.50%
发文量
874
审稿时长
2-4 weeks
期刊介绍: European Radiology (ER) continuously updates scientific knowledge in radiology by publication of strong original articles and state-of-the-art reviews written by leading radiologists. A well balanced combination of review articles, original papers, short communications from European radiological congresses and information on society matters makes ER an indispensable source for current information in this field. This is the Journal of the European Society of Radiology, and the official journal of a number of societies. From 2004-2008 supplements to European Radiology were published under its companion, European Radiology Supplements, ISSN 1613-3749.
×
引用
GB/T 7714-2015
复制
MLA
复制
APA
复制
导出至
BibTeX EndNote RefMan NoteFirst NoteExpress
×
提示
您的信息不完整,为了账户安全,请先补充。
现在去补充
×
提示
您因"违规操作"
具体请查看互助需知
我知道了
×
提示
确定
请完成安全验证×
copy
已复制链接
快去分享给好友吧!
我知道了
右上角分享
点击右上角分享
0
联系我们:info@booksci.cn Book学术提供免费学术资源搜索服务,方便国内外学者检索中英文文献。致力于提供最便捷和优质的服务体验。 Copyright © 2023 布克学术 All rights reserved.
京ICP备2023020795号-1
ghs 京公网安备 11010802042870号
Book学术文献互助
Book学术文献互助群
群 号:604180095
Book学术官方微信