来自欧登塞儿童队列的孕妇尿双酚A浓度和出生尺寸。

IF 5.3 2区 环境科学与生态学 Q1 ENVIRONMENTAL SCIENCES
Astrid L Beck, Elvira V Bräuner, Cecilie S Uldbjerg, Youn-Hee Lim, Henriette Boye, Hanne Frederiksen, Anna-Maria Andersson, Tina Kold Jensen
{"title":"来自欧登塞儿童队列的孕妇尿双酚A浓度和出生尺寸。","authors":"Astrid L Beck, Elvira V Bräuner, Cecilie S Uldbjerg, Youn-Hee Lim, Henriette Boye, Hanne Frederiksen, Anna-Maria Andersson, Tina Kold Jensen","doi":"10.1186/s12940-025-01169-4","DOIUrl":null,"url":null,"abstract":"<p><strong>Background: </strong>Bisphenol A (BPA) is widely used in the manufacturing of plastics. BPA can pass the placental barrier and influence fetal development. Due to its estrogenic and anti-androgenic properties, BPA may contribute sex-specific differences in developmental effects. We examined associations between maternal urinary concentrations of BPA and birth size.</p><p><strong>Methods: </strong>In this cohort study of 832 mother-child pairs from the Odense Child Cohort, pregnant women provided spot urine samples at gestational week 28, which were analyzed for BPA by isotope diluted LC-MS/MS. Osmolality adjusted urinary BPA concentrations were categorized into quartiles. Mother-child characteristics were obtained from hospital records and questionnaires. Linear regression analyses examining the association between BPA concentrations and offspring birth size (weight, length, head, and abdominal circumference) were performed for the full cohort and stratified by offspring sex.</p><p><strong>Results: </strong>BPA was detected above the limit of detection in 85% of the urine samples with a median concentration of 1.33 ng/ml. In the full cohort, birth weight decreased significantly across increasing quartiles of maternal urinary BPA concentration, with the exception of the third quartile, which showed no significant association. In sex-stratified analyses, statistically significant decreases in birth weight were observed among male offspring in the highest quartile of maternal urinary BPA concentrations (β: -115 g, 95% CI: - 225, -4, p = 0.04) compared to male offspring of the lowest quartile and a possible dose-response association was suggested (p-trend = 0.06). No statistically significant associations were observed for birth weight amongst female offspring.</p><p><strong>Conclusions: </strong>Our findings suggest a negative association between maternal urinary BPA exposure and birth weight, driven by a lower birth weight in male offspring. Further research is required to explore the underlying mechanisms of BPA's possible sex-specific associations.</p>","PeriodicalId":11686,"journal":{"name":"Environmental Health","volume":"24 1","pages":"15"},"PeriodicalIF":5.3000,"publicationDate":"2025-04-01","publicationTypes":"Journal Article","fieldsOfStudy":null,"isOpenAccess":false,"openAccessPdf":"https://www.ncbi.nlm.nih.gov/pmc/articles/PMC11960018/pdf/","citationCount":"0","resultStr":"{\"title\":\"Maternal urinary concentrations of bisphenol A during pregnancy and birth size in children from the Odense Child Cohort.\",\"authors\":\"Astrid L Beck, Elvira V Bräuner, Cecilie S Uldbjerg, Youn-Hee Lim, Henriette Boye, Hanne Frederiksen, Anna-Maria Andersson, Tina Kold Jensen\",\"doi\":\"10.1186/s12940-025-01169-4\",\"DOIUrl\":null,\"url\":null,\"abstract\":\"<p><strong>Background: </strong>Bisphenol A (BPA) is widely used in the manufacturing of plastics. BPA can pass the placental barrier and influence fetal development. Due to its estrogenic and anti-androgenic properties, BPA may contribute sex-specific differences in developmental effects. We examined associations between maternal urinary concentrations of BPA and birth size.</p><p><strong>Methods: </strong>In this cohort study of 832 mother-child pairs from the Odense Child Cohort, pregnant women provided spot urine samples at gestational week 28, which were analyzed for BPA by isotope diluted LC-MS/MS. Osmolality adjusted urinary BPA concentrations were categorized into quartiles. Mother-child characteristics were obtained from hospital records and questionnaires. Linear regression analyses examining the association between BPA concentrations and offspring birth size (weight, length, head, and abdominal circumference) were performed for the full cohort and stratified by offspring sex.</p><p><strong>Results: </strong>BPA was detected above the limit of detection in 85% of the urine samples with a median concentration of 1.33 ng/ml. In the full cohort, birth weight decreased significantly across increasing quartiles of maternal urinary BPA concentration, with the exception of the third quartile, which showed no significant association. In sex-stratified analyses, statistically significant decreases in birth weight were observed among male offspring in the highest quartile of maternal urinary BPA concentrations (β: -115 g, 95% CI: - 225, -4, p = 0.04) compared to male offspring of the lowest quartile and a possible dose-response association was suggested (p-trend = 0.06). No statistically significant associations were observed for birth weight amongst female offspring.</p><p><strong>Conclusions: </strong>Our findings suggest a negative association between maternal urinary BPA exposure and birth weight, driven by a lower birth weight in male offspring. Further research is required to explore the underlying mechanisms of BPA's possible sex-specific associations.</p>\",\"PeriodicalId\":11686,\"journal\":{\"name\":\"Environmental Health\",\"volume\":\"24 1\",\"pages\":\"15\"},\"PeriodicalIF\":5.3000,\"publicationDate\":\"2025-04-01\",\"publicationTypes\":\"Journal Article\",\"fieldsOfStudy\":null,\"isOpenAccess\":false,\"openAccessPdf\":\"https://www.ncbi.nlm.nih.gov/pmc/articles/PMC11960018/pdf/\",\"citationCount\":\"0\",\"resultStr\":null,\"platform\":\"Semanticscholar\",\"paperid\":null,\"PeriodicalName\":\"Environmental Health\",\"FirstCategoryId\":\"93\",\"ListUrlMain\":\"https://doi.org/10.1186/s12940-025-01169-4\",\"RegionNum\":2,\"RegionCategory\":\"环境科学与生态学\",\"ArticlePicture\":[],\"TitleCN\":null,\"AbstractTextCN\":null,\"PMCID\":null,\"EPubDate\":\"\",\"PubModel\":\"\",\"JCR\":\"Q1\",\"JCRName\":\"ENVIRONMENTAL SCIENCES\",\"Score\":null,\"Total\":0}","platform":"Semanticscholar","paperid":null,"PeriodicalName":"Environmental Health","FirstCategoryId":"93","ListUrlMain":"https://doi.org/10.1186/s12940-025-01169-4","RegionNum":2,"RegionCategory":"环境科学与生态学","ArticlePicture":[],"TitleCN":null,"AbstractTextCN":null,"PMCID":null,"EPubDate":"","PubModel":"","JCR":"Q1","JCRName":"ENVIRONMENTAL SCIENCES","Score":null,"Total":0}
引用次数: 0

摘要

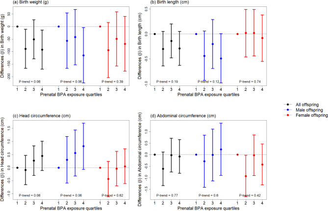
背景:双酚A (BPA)广泛用于塑料制造。BPA可通过胎盘屏障,影响胎儿发育。由于其雌激素和抗雄激素的特性,双酚a可能在发育影响方面造成性别特异性差异。我们研究了母体尿液中BPA浓度与出生尺寸之间的关系。方法:对来自欧登塞儿童队列(Odense Child cohort)的832对母婴进行队列研究,孕妇在妊娠28周提供尿样,采用同位素稀释LC-MS/MS分析尿样中BPA的含量。渗透压调整尿液BPA浓度分为四分位数。从医院记录和问卷调查中获得母婴特征。对整个队列进行线性回归分析,检验BPA浓度与后代出生尺寸(体重、身长、头和腹围)之间的关系,并按后代性别分层。结果:85%的尿样中BPA含量高于检测限,中位浓度为1.33 ng/ml。在整个队列中,随着母亲尿液BPA浓度的增加,出生体重显著下降,但第三个四分位数除外,没有显着关联。在性别分层分析中,与最低四分位数的雄性后代相比,母体尿液BPA浓度最高四分位数的雄性后代的出生体重(β: -115 g, 95% CI: - 225, -4, p = 0.04)有统计学意义上的显著下降,并提示可能存在剂量-反应关联(p趋势= 0.06)。雌性后代的出生体重没有统计学上的显著关联。结论:我们的研究结果表明,由于男性后代的出生体重较低,母体尿液BPA暴露与出生体重之间存在负相关。需要进一步的研究来探索BPA可能的性别特异性关联的潜在机制。
本文章由计算机程序翻译,如有差异,请以英文原文为准。

Maternal urinary concentrations of bisphenol A during pregnancy and birth size in children from the Odense Child Cohort.

Maternal urinary concentrations of bisphenol A during pregnancy and birth size in children from the Odense Child Cohort.

Background: Bisphenol A (BPA) is widely used in the manufacturing of plastics. BPA can pass the placental barrier and influence fetal development. Due to its estrogenic and anti-androgenic properties, BPA may contribute sex-specific differences in developmental effects. We examined associations between maternal urinary concentrations of BPA and birth size.

Methods: In this cohort study of 832 mother-child pairs from the Odense Child Cohort, pregnant women provided spot urine samples at gestational week 28, which were analyzed for BPA by isotope diluted LC-MS/MS. Osmolality adjusted urinary BPA concentrations were categorized into quartiles. Mother-child characteristics were obtained from hospital records and questionnaires. Linear regression analyses examining the association between BPA concentrations and offspring birth size (weight, length, head, and abdominal circumference) were performed for the full cohort and stratified by offspring sex.

Results: BPA was detected above the limit of detection in 85% of the urine samples with a median concentration of 1.33 ng/ml. In the full cohort, birth weight decreased significantly across increasing quartiles of maternal urinary BPA concentration, with the exception of the third quartile, which showed no significant association. In sex-stratified analyses, statistically significant decreases in birth weight were observed among male offspring in the highest quartile of maternal urinary BPA concentrations (β: -115 g, 95% CI: - 225, -4, p = 0.04) compared to male offspring of the lowest quartile and a possible dose-response association was suggested (p-trend = 0.06). No statistically significant associations were observed for birth weight amongst female offspring.

Conclusions: Our findings suggest a negative association between maternal urinary BPA exposure and birth weight, driven by a lower birth weight in male offspring. Further research is required to explore the underlying mechanisms of BPA's possible sex-specific associations.

求助全文
通过发布文献求助,成功后即可免费获取论文全文。 去求助
来源期刊
Environmental Health
Environmental Health 环境科学-公共卫生、环境卫生与职业卫生
CiteScore
10.10
自引率
1.70%
发文量
115
审稿时长
3.0 months
期刊介绍: Environmental Health publishes manuscripts on all aspects of environmental and occupational medicine and related studies in toxicology and epidemiology. Environmental Health is aimed at scientists and practitioners in all areas of environmental science where human health and well-being are involved, either directly or indirectly. Environmental Health is a public health journal serving the public health community and scientists working on matters of public health interest and importance pertaining to the environment.
×
引用
GB/T 7714-2015
复制
MLA
复制
APA
复制
导出至
BibTeX EndNote RefMan NoteFirst NoteExpress
×
提示
您的信息不完整,为了账户安全,请先补充。
现在去补充
×
提示
您因"违规操作"
具体请查看互助需知
我知道了
×
提示
确定
请完成安全验证×
copy
已复制链接
快去分享给好友吧!
我知道了
右上角分享
点击右上角分享
0
联系我们:info@booksci.cn Book学术提供免费学术资源搜索服务,方便国内外学者检索中英文文献。致力于提供最便捷和优质的服务体验。 Copyright © 2023 布克学术 All rights reserved.
京ICP备2023020795号-1
ghs 京公网安备 11010802042870号
Book学术文献互助
Book学术文献互助群
群 号:604180095
Book学术官方微信