第一代反式-2-己烯醛臭氧分解产物:机理的新探讨。

IF 2.8 2区 化学 Q3 CHEMISTRY, PHYSICAL
The Journal of Physical Chemistry A Pub Date : 2025-04-10 Epub Date: 2025-04-02 DOI:10.1021/acs.jpca.4c07608
Najoua Derbel, Alexander Alijah, Struan H Robertson, Thomas Lauvaux, Lilian Joly
{"title":"第一代反式-2-己烯醛臭氧分解产物:机理的新探讨。","authors":"Najoua Derbel, Alexander Alijah, Struan H Robertson, Thomas Lauvaux, Lilian Joly","doi":"10.1021/acs.jpca.4c07608","DOIUrl":null,"url":null,"abstract":"<p><p>The ozonolysis reaction of <i>trans</i>-2-hexenal was studied theoretically on the basis of highly accurate CCSD(T)-F12b/AVTZ energy values obtained in M06-2X/AVTZ preoptimized nuclear configurations. The kinetics was modeled with the help of the master equation solver MESMER. Apart from the expected stable oxidation products 1-butanal (17%) and glyoxal (35%), a secondary ozonide is formed on the glyoxal channel, which is the principal first-generation product (49%). It is further shown that glyoxal is created on two competing pathways, one of which leads to simultaneous production of the ester propylformate (18%). The inclusion of all of these mechanisms explains the experimental findings and identifies for the first time the origin of the experimental carbon deficit.</p>","PeriodicalId":59,"journal":{"name":"The Journal of Physical Chemistry A","volume":" ","pages":"3272-3279"},"PeriodicalIF":2.8000,"publicationDate":"2025-04-10","publicationTypes":"Journal Article","fieldsOfStudy":null,"isOpenAccess":false,"openAccessPdf":"https://www.ncbi.nlm.nih.gov/pmc/articles/PMC11995380/pdf/","citationCount":"0","resultStr":"{\"title\":\"First-Generation Products of <i>Trans</i>-2-Hexenal Ozonolyis: A New Look at the Mechanism.\",\"authors\":\"Najoua Derbel, Alexander Alijah, Struan H Robertson, Thomas Lauvaux, Lilian Joly\",\"doi\":\"10.1021/acs.jpca.4c07608\",\"DOIUrl\":null,\"url\":null,\"abstract\":\"<p><p>The ozonolysis reaction of <i>trans</i>-2-hexenal was studied theoretically on the basis of highly accurate CCSD(T)-F12b/AVTZ energy values obtained in M06-2X/AVTZ preoptimized nuclear configurations. The kinetics was modeled with the help of the master equation solver MESMER. Apart from the expected stable oxidation products 1-butanal (17%) and glyoxal (35%), a secondary ozonide is formed on the glyoxal channel, which is the principal first-generation product (49%). It is further shown that glyoxal is created on two competing pathways, one of which leads to simultaneous production of the ester propylformate (18%). The inclusion of all of these mechanisms explains the experimental findings and identifies for the first time the origin of the experimental carbon deficit.</p>\",\"PeriodicalId\":59,\"journal\":{\"name\":\"The Journal of Physical Chemistry A\",\"volume\":\" \",\"pages\":\"3272-3279\"},\"PeriodicalIF\":2.8000,\"publicationDate\":\"2025-04-10\",\"publicationTypes\":\"Journal Article\",\"fieldsOfStudy\":null,\"isOpenAccess\":false,\"openAccessPdf\":\"https://www.ncbi.nlm.nih.gov/pmc/articles/PMC11995380/pdf/\",\"citationCount\":\"0\",\"resultStr\":null,\"platform\":\"Semanticscholar\",\"paperid\":null,\"PeriodicalName\":\"The Journal of Physical Chemistry A\",\"FirstCategoryId\":\"1\",\"ListUrlMain\":\"https://doi.org/10.1021/acs.jpca.4c07608\",\"RegionNum\":2,\"RegionCategory\":\"化学\",\"ArticlePicture\":[],\"TitleCN\":null,\"AbstractTextCN\":null,\"PMCID\":null,\"EPubDate\":\"2025/4/2 0:00:00\",\"PubModel\":\"Epub\",\"JCR\":\"Q3\",\"JCRName\":\"CHEMISTRY, PHYSICAL\",\"Score\":null,\"Total\":0}","platform":"Semanticscholar","paperid":null,"PeriodicalName":"The Journal of Physical Chemistry A","FirstCategoryId":"1","ListUrlMain":"https://doi.org/10.1021/acs.jpca.4c07608","RegionNum":2,"RegionCategory":"化学","ArticlePicture":[],"TitleCN":null,"AbstractTextCN":null,"PMCID":null,"EPubDate":"2025/4/2 0:00:00","PubModel":"Epub","JCR":"Q3","JCRName":"CHEMISTRY, PHYSICAL","Score":null,"Total":0}
引用次数: 0

摘要

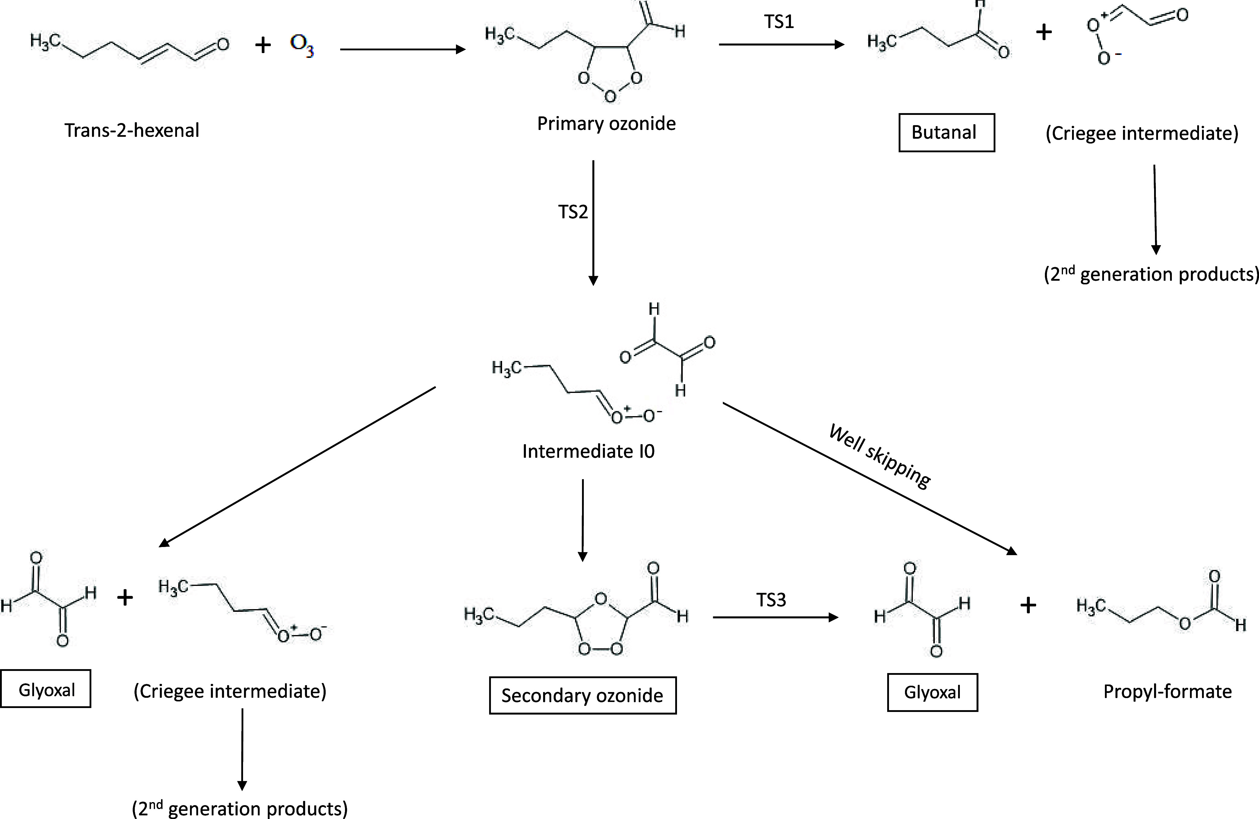
根据在 M06-2X/AVTZ 预优化核配置中获得的高精度 CCSD(T)-F12b/AVTZ 能量值,对反式-2-己烯醛的臭氧分解反应进行了理论研究。动力学模型是在主方程求解器 MESMER 的帮助下建立的。除了预期的稳定氧化产物 1-丁醛(17%)和乙二醛(35%)外,乙二醛通道上还形成了二级臭氧,这是主要的第一代产物(49%)。研究进一步表明,乙二醛是通过两条相互竞争的途径产生的,其中一条途径会同时产生丙基甲酸酯(18%)。所有这些机制都解释了实验结果,并首次确定了实验性碳赤字的来源。
本文章由计算机程序翻译,如有差异,请以英文原文为准。

First-Generation Products of <i>Trans</i>-2-Hexenal Ozonolyis: A New Look at the Mechanism.

First-Generation Products of <i>Trans</i>-2-Hexenal Ozonolyis: A New Look at the Mechanism.

First-Generation Products of <i>Trans</i>-2-Hexenal Ozonolyis: A New Look at the Mechanism.

First-Generation Products of Trans-2-Hexenal Ozonolyis: A New Look at the Mechanism.

The ozonolysis reaction of trans-2-hexenal was studied theoretically on the basis of highly accurate CCSD(T)-F12b/AVTZ energy values obtained in M06-2X/AVTZ preoptimized nuclear configurations. The kinetics was modeled with the help of the master equation solver MESMER. Apart from the expected stable oxidation products 1-butanal (17%) and glyoxal (35%), a secondary ozonide is formed on the glyoxal channel, which is the principal first-generation product (49%). It is further shown that glyoxal is created on two competing pathways, one of which leads to simultaneous production of the ester propylformate (18%). The inclusion of all of these mechanisms explains the experimental findings and identifies for the first time the origin of the experimental carbon deficit.

求助全文
通过发布文献求助,成功后即可免费获取论文全文。 去求助
来源期刊
The Journal of Physical Chemistry A
The Journal of Physical Chemistry A 化学-物理:原子、分子和化学物理
CiteScore
5.20
自引率
10.30%
发文量
922
审稿时长
1.3 months
期刊介绍: The Journal of Physical Chemistry A is devoted to reporting new and original experimental and theoretical basic research of interest to physical chemists, biophysical chemists, and chemical physicists.
×
引用
GB/T 7714-2015
复制
MLA
复制
APA
复制
导出至
BibTeX EndNote RefMan NoteFirst NoteExpress
×
提示
您的信息不完整,为了账户安全,请先补充。
现在去补充
×
提示
您因"违规操作"
具体请查看互助需知
我知道了
×
提示
确定
请完成安全验证×
copy
已复制链接
快去分享给好友吧!
我知道了
右上角分享
点击右上角分享
0
联系我们:info@booksci.cn Book学术提供免费学术资源搜索服务,方便国内外学者检索中英文文献。致力于提供最便捷和优质的服务体验。 Copyright © 2023 布克学术 All rights reserved.
京ICP备2023020795号-1
ghs 京公网安备 11010802042870号
Book学术文献互助
Book学术文献互助群
群 号:604180095
Book学术官方微信