纹状体结合率的下降与帕金森病精神病患者符号手指模态表现的加速下降有关,但与MoCA无关。

IF 4.9 0 PSYCHIATRY
Sara Pisani, Latha Velayudhan, Dag Aarsland, Kallol Ray Chaudhuri, Clive Ballard, Dominic Ffytche, Sagnik Bhattacharyya
{"title":"纹状体结合率的下降与帕金森病精神病患者符号手指模态表现的加速下降有关,但与MoCA无关。","authors":"Sara Pisani, Latha Velayudhan, Dag Aarsland, Kallol Ray Chaudhuri, Clive Ballard, Dominic Ffytche, Sagnik Bhattacharyya","doi":"10.1136/bmjment-2024-301430","DOIUrl":null,"url":null,"abstract":"<p><strong>Background: </strong>Cognitive deficits and reduced dopamine transporter (DAT) binding ratio have been reported in Parkinson's disease psychosis (PDP). However, it remains unclear whether DAT striatal binding ratio (SBR) may contribute to worsening cognitive performance in PDP.</p><p><strong>Objectives: </strong>We examined this using data from the Parkinson's Progression Markers Initiative.</p><p><strong>Methods: </strong>We analysed data from 392 PD patients, from baseline to year 4 follow-up, and classified patients into PD with psychosis (PDP) and without psychosis (PDnP). DAT SBR was available from <sup>123</sup>I-FP-CIT-SPECT [(123) I-2β-carbomethoxy-3β-(4-iodophenyl)-N-(3-fluoropropyl) nortropane single photon emission computed tomography] imaging. We examined all cognitive measures assessed at each time point; sociodemographic characteristics, neuropsychiatric and PD-specific symptoms were entered as covariates of interest.</p><p><strong>Findings: </strong>PDP patients had lower DAT SBR compared with PDnP patients (b=-0.092, p=0.035) over all time points, which remained significant after controlling for age, sex and ethnicity. PDP patients also reported worse trajectory of task performance on the Montreal Cognitive Assessment (MoCA) (b=-0.238, p=0.001) and symbol digit modality (b=-0.534, p=0.016) compared with PDnP patients. Declining performance in symbol digit modality (Group×Time×DAT SBR interaction, b=0.683, p=0.028) but not MoCA was differentially associated with the decline in DAT SBR over time. MoCA scores declined more in PDP compared with PDnP patients over all timepoints (Group×Time interaction, b=-0.284, p=0.016).</p><p><strong>Conclusions: </strong>Decline in striatal presynaptic dopamine function may specifically underlie longitudinal decline in performance in the symbol digit modality task that engages processing speed, associative learning and working memory in PD psychosis. Whether striatal presynaptic dopamine changes explain accelerated longitudinal decline in other cognitive domains in people with PDP remains to be tested.</p>","PeriodicalId":72434,"journal":{"name":"BMJ mental health","volume":"28 1","pages":""},"PeriodicalIF":4.9000,"publicationDate":"2025-03-31","publicationTypes":"Journal Article","fieldsOfStudy":null,"isOpenAccess":false,"openAccessPdf":"https://www.ncbi.nlm.nih.gov/pmc/articles/PMC11962800/pdf/","citationCount":"0","resultStr":"{\"title\":\"Decline in striatal binding ratio associated with accelerated decline in performance on symbol digit modality but not MoCA in Parkinson's Disease Psychosis.\",\"authors\":\"Sara Pisani, Latha Velayudhan, Dag Aarsland, Kallol Ray Chaudhuri, Clive Ballard, Dominic Ffytche, Sagnik Bhattacharyya\",\"doi\":\"10.1136/bmjment-2024-301430\",\"DOIUrl\":null,\"url\":null,\"abstract\":\"<p><strong>Background: </strong>Cognitive deficits and reduced dopamine transporter (DAT) binding ratio have been reported in Parkinson's disease psychosis (PDP). However, it remains unclear whether DAT striatal binding ratio (SBR) may contribute to worsening cognitive performance in PDP.</p><p><strong>Objectives: </strong>We examined this using data from the Parkinson's Progression Markers Initiative.</p><p><strong>Methods: </strong>We analysed data from 392 PD patients, from baseline to year 4 follow-up, and classified patients into PD with psychosis (PDP) and without psychosis (PDnP). DAT SBR was available from <sup>123</sup>I-FP-CIT-SPECT [(123) I-2β-carbomethoxy-3β-(4-iodophenyl)-N-(3-fluoropropyl) nortropane single photon emission computed tomography] imaging. We examined all cognitive measures assessed at each time point; sociodemographic characteristics, neuropsychiatric and PD-specific symptoms were entered as covariates of interest.</p><p><strong>Findings: </strong>PDP patients had lower DAT SBR compared with PDnP patients (b=-0.092, p=0.035) over all time points, which remained significant after controlling for age, sex and ethnicity. PDP patients also reported worse trajectory of task performance on the Montreal Cognitive Assessment (MoCA) (b=-0.238, p=0.001) and symbol digit modality (b=-0.534, p=0.016) compared with PDnP patients. Declining performance in symbol digit modality (Group×Time×DAT SBR interaction, b=0.683, p=0.028) but not MoCA was differentially associated with the decline in DAT SBR over time. MoCA scores declined more in PDP compared with PDnP patients over all timepoints (Group×Time interaction, b=-0.284, p=0.016).</p><p><strong>Conclusions: </strong>Decline in striatal presynaptic dopamine function may specifically underlie longitudinal decline in performance in the symbol digit modality task that engages processing speed, associative learning and working memory in PD psychosis. Whether striatal presynaptic dopamine changes explain accelerated longitudinal decline in other cognitive domains in people with PDP remains to be tested.</p>\",\"PeriodicalId\":72434,\"journal\":{\"name\":\"BMJ mental health\",\"volume\":\"28 1\",\"pages\":\"\"},\"PeriodicalIF\":4.9000,\"publicationDate\":\"2025-03-31\",\"publicationTypes\":\"Journal Article\",\"fieldsOfStudy\":null,\"isOpenAccess\":false,\"openAccessPdf\":\"https://www.ncbi.nlm.nih.gov/pmc/articles/PMC11962800/pdf/\",\"citationCount\":\"0\",\"resultStr\":null,\"platform\":\"Semanticscholar\",\"paperid\":null,\"PeriodicalName\":\"BMJ mental health\",\"FirstCategoryId\":\"1085\",\"ListUrlMain\":\"https://doi.org/10.1136/bmjment-2024-301430\",\"RegionNum\":0,\"RegionCategory\":null,\"ArticlePicture\":[],\"TitleCN\":null,\"AbstractTextCN\":null,\"PMCID\":null,\"EPubDate\":\"\",\"PubModel\":\"\",\"JCR\":\"0\",\"JCRName\":\"PSYCHIATRY\",\"Score\":null,\"Total\":0}","platform":"Semanticscholar","paperid":null,"PeriodicalName":"BMJ mental health","FirstCategoryId":"1085","ListUrlMain":"https://doi.org/10.1136/bmjment-2024-301430","RegionNum":0,"RegionCategory":null,"ArticlePicture":[],"TitleCN":null,"AbstractTextCN":null,"PMCID":null,"EPubDate":"","PubModel":"","JCR":"0","JCRName":"PSYCHIATRY","Score":null,"Total":0}
引用次数: 0

摘要

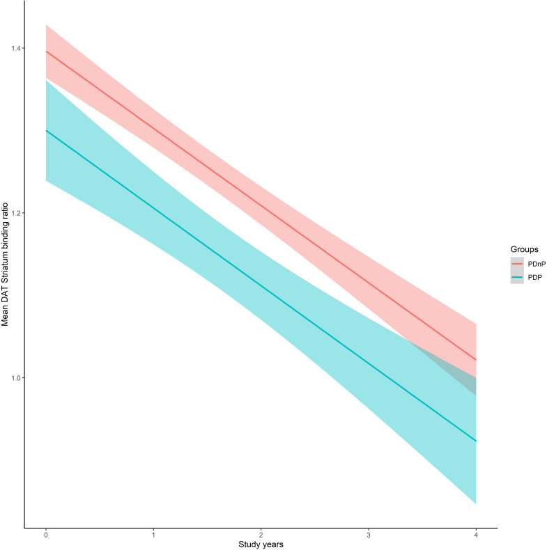
背景:帕金森病精神病(PDP)中存在认知障碍和多巴胺转运体(DAT)结合率降低的现象。然而,DAT纹状体结合率(SBR)是否会导致帕金森病患者认知能力的恶化,目前仍不清楚:我们利用帕金森病进展标志物倡议(Parkinson's Progression Markers Initiative)的数据对此进行了研究:我们分析了 392 名帕金森病患者从基线到第 4 年随访期间的数据,并将患者分为伴有精神病的帕金森病患者(PDP)和不伴有精神病的帕金森病患者(PDnP)。123I-FP-CIT-SPECT[(123) I-2β-carbomethoxy-3β-(4-iodophenyl)-N-(3-fluoropropyl) nortropane single photon emission computed tomography]成像可提供 DAT SBR。我们检查了在每个时间点评估的所有认知测量指标;社会人口学特征、神经精神症状和帕金森病特异性症状被列为相关协变量:在所有时间点上,PDP 患者的 DAT SBR 均低于 PDnP 患者(b=-0.092,p=0.035),在控制了年龄、性别和种族因素后,差异仍然显著。与帕金森病患者相比,帕金森病患者在蒙特利尔认知评估(MoCA)(b=-0.238,p=0.001)和符号数字模型(b=-0.534,p=0.016)上的任务表现轨迹也较差。随着时间的推移,符号数字模式(组别×时间×DAT SBR交互作用,b=0.683,p=0.028)而非MoCA成绩的下降与DAT SBR的下降有不同程度的关联。在所有时间点上,PDP患者的MoCA评分下降幅度均大于PDnP患者(组别×时间交互作用,b=-0.284,p=0.016):纹状体突触前多巴胺功能的下降可能是导致帕金森氏症精神病患者在涉及处理速度、联想学习和工作记忆的符号数字模式任务中表现纵向下降的特殊原因。纹状体突触前多巴胺的变化是否能解释 PDP 患者在其他认知领域的纵向加速下降,还有待进一步检验。
本文章由计算机程序翻译,如有差异,请以英文原文为准。

Decline in striatal binding ratio associated with accelerated decline in performance on symbol digit modality but not MoCA in Parkinson's Disease Psychosis.

Decline in striatal binding ratio associated with accelerated decline in performance on symbol digit modality but not MoCA in Parkinson's Disease Psychosis.

Decline in striatal binding ratio associated with accelerated decline in performance on symbol digit modality but not MoCA in Parkinson's Disease Psychosis.

Background: Cognitive deficits and reduced dopamine transporter (DAT) binding ratio have been reported in Parkinson's disease psychosis (PDP). However, it remains unclear whether DAT striatal binding ratio (SBR) may contribute to worsening cognitive performance in PDP.

Objectives: We examined this using data from the Parkinson's Progression Markers Initiative.

Methods: We analysed data from 392 PD patients, from baseline to year 4 follow-up, and classified patients into PD with psychosis (PDP) and without psychosis (PDnP). DAT SBR was available from 123I-FP-CIT-SPECT [(123) I-2β-carbomethoxy-3β-(4-iodophenyl)-N-(3-fluoropropyl) nortropane single photon emission computed tomography] imaging. We examined all cognitive measures assessed at each time point; sociodemographic characteristics, neuropsychiatric and PD-specific symptoms were entered as covariates of interest.

Findings: PDP patients had lower DAT SBR compared with PDnP patients (b=-0.092, p=0.035) over all time points, which remained significant after controlling for age, sex and ethnicity. PDP patients also reported worse trajectory of task performance on the Montreal Cognitive Assessment (MoCA) (b=-0.238, p=0.001) and symbol digit modality (b=-0.534, p=0.016) compared with PDnP patients. Declining performance in symbol digit modality (Group×Time×DAT SBR interaction, b=0.683, p=0.028) but not MoCA was differentially associated with the decline in DAT SBR over time. MoCA scores declined more in PDP compared with PDnP patients over all timepoints (Group×Time interaction, b=-0.284, p=0.016).

Conclusions: Decline in striatal presynaptic dopamine function may specifically underlie longitudinal decline in performance in the symbol digit modality task that engages processing speed, associative learning and working memory in PD psychosis. Whether striatal presynaptic dopamine changes explain accelerated longitudinal decline in other cognitive domains in people with PDP remains to be tested.

求助全文
通过发布文献求助,成功后即可免费获取论文全文。 去求助
来源期刊
CiteScore
6.80
自引率
0.00%
发文量
0
×
引用
GB/T 7714-2015
复制
MLA
复制
APA
复制
导出至
BibTeX EndNote RefMan NoteFirst NoteExpress
×
提示
您的信息不完整,为了账户安全,请先补充。
现在去补充
×
提示
您因"违规操作"
具体请查看互助需知
我知道了
×
提示
确定
请完成安全验证×
copy
已复制链接
快去分享给好友吧!
我知道了
右上角分享
点击右上角分享
0
联系我们:info@booksci.cn Book学术提供免费学术资源搜索服务,方便国内外学者检索中英文文献。致力于提供最便捷和优质的服务体验。 Copyright © 2023 布克学术 All rights reserved.
京ICP备2023020795号-1
ghs 京公网安备 11010802042870号
Book学术文献互助
Book学术文献互助群
群 号:604180095
Book学术官方微信