萌发温度对土生和入侵菟丝子的生态学意义。

Q3 Agricultural and Biological Sciences
Plant-environment interactions (Hoboken, N.J.) Pub Date : 2025-03-27 eCollection Date: 2025-04-01 DOI:10.1002/pei3.70045
Michaela Jungová, Martina Kadlecová, Vilém Pavlů, Leona Leišová-Svobodová, Pavel Svoboda, Zdenka Martinková
{"title":"萌发温度对土生和入侵菟丝子的生态学意义。","authors":"Michaela Jungová, Martina Kadlecová, Vilém Pavlů, Leona Leišová-Svobodová, Pavel Svoboda, Zdenka Martinková","doi":"10.1002/pei3.70045","DOIUrl":null,"url":null,"abstract":"<p><p><i>Rumex alpinus</i> L. (<i>R. alpinus</i>) is a non-native invasive plant in Czech mountain regions, altering ecosystem structure and function in protected areas. <i>Rumex obtusifolius</i> L. (<i>R. obtusifolius</i>) is a native species and a problematic weed in Czech meadows, while <i>Rumex longifolius</i> DC. (<i>R. longifolius</i>) is characteristic of Fennoscandia and widespread in northern and central Europe. This study explores temperature-driven germination patterns in <i>R. alpinus</i>, <i>R. obtusifolius</i>, and <i>R. longifolius</i> and also focuses on potential differences across populations of <i>R. alpinus</i>. The hypothesis suggests that <i>R. alpinus</i> is not established in lowland areas due to temperature limitations during germination. A second experiment evaluates the influence of native and non-native localities on <i>R. alpinus</i> seed germination. The primary experiment was conducted at 6°C, 12°C, 18°C, 24°C, 29°C, and 35°C in a climate chamber, while the second experiment was performed at 24°C for 14 days. Contrary to expectations, <i>R. alpinus</i> exhibited the highest germination rate across all temperatures. In the second experiment, germination rates varied significantly, with a positive correlation between germination success and transition from Alpine to Czech localities. The highest and fastest germination was observed in seeds from the Krkonoše Mountains, where <i>R. alpinus</i> is an invasive plant species.</p>","PeriodicalId":74457,"journal":{"name":"Plant-environment interactions (Hoboken, N.J.)","volume":"6 2","pages":"e70045"},"PeriodicalIF":0.0000,"publicationDate":"2025-03-27","publicationTypes":"Journal Article","fieldsOfStudy":null,"isOpenAccess":false,"openAccessPdf":"https://www.ncbi.nlm.nih.gov/pmc/articles/PMC11949848/pdf/","citationCount":"0","resultStr":"{\"title\":\"Ecological Implications of Germination Temperature on Native and Invasive <i>Rumex</i> Spp.\",\"authors\":\"Michaela Jungová, Martina Kadlecová, Vilém Pavlů, Leona Leišová-Svobodová, Pavel Svoboda, Zdenka Martinková\",\"doi\":\"10.1002/pei3.70045\",\"DOIUrl\":null,\"url\":null,\"abstract\":\"<p><p><i>Rumex alpinus</i> L. (<i>R. alpinus</i>) is a non-native invasive plant in Czech mountain regions, altering ecosystem structure and function in protected areas. <i>Rumex obtusifolius</i> L. (<i>R. obtusifolius</i>) is a native species and a problematic weed in Czech meadows, while <i>Rumex longifolius</i> DC. (<i>R. longifolius</i>) is characteristic of Fennoscandia and widespread in northern and central Europe. This study explores temperature-driven germination patterns in <i>R. alpinus</i>, <i>R. obtusifolius</i>, and <i>R. longifolius</i> and also focuses on potential differences across populations of <i>R. alpinus</i>. The hypothesis suggests that <i>R. alpinus</i> is not established in lowland areas due to temperature limitations during germination. A second experiment evaluates the influence of native and non-native localities on <i>R. alpinus</i> seed germination. The primary experiment was conducted at 6°C, 12°C, 18°C, 24°C, 29°C, and 35°C in a climate chamber, while the second experiment was performed at 24°C for 14 days. Contrary to expectations, <i>R. alpinus</i> exhibited the highest germination rate across all temperatures. In the second experiment, germination rates varied significantly, with a positive correlation between germination success and transition from Alpine to Czech localities. The highest and fastest germination was observed in seeds from the Krkonoše Mountains, where <i>R. alpinus</i> is an invasive plant species.</p>\",\"PeriodicalId\":74457,\"journal\":{\"name\":\"Plant-environment interactions (Hoboken, N.J.)\",\"volume\":\"6 2\",\"pages\":\"e70045\"},\"PeriodicalIF\":0.0000,\"publicationDate\":\"2025-03-27\",\"publicationTypes\":\"Journal Article\",\"fieldsOfStudy\":null,\"isOpenAccess\":false,\"openAccessPdf\":\"https://www.ncbi.nlm.nih.gov/pmc/articles/PMC11949848/pdf/\",\"citationCount\":\"0\",\"resultStr\":null,\"platform\":\"Semanticscholar\",\"paperid\":null,\"PeriodicalName\":\"Plant-environment interactions (Hoboken, N.J.)\",\"FirstCategoryId\":\"1085\",\"ListUrlMain\":\"https://doi.org/10.1002/pei3.70045\",\"RegionNum\":0,\"RegionCategory\":null,\"ArticlePicture\":[],\"TitleCN\":null,\"AbstractTextCN\":null,\"PMCID\":null,\"EPubDate\":\"2025/4/1 0:00:00\",\"PubModel\":\"eCollection\",\"JCR\":\"Q3\",\"JCRName\":\"Agricultural and Biological Sciences\",\"Score\":null,\"Total\":0}","platform":"Semanticscholar","paperid":null,"PeriodicalName":"Plant-environment interactions (Hoboken, N.J.)","FirstCategoryId":"1085","ListUrlMain":"https://doi.org/10.1002/pei3.70045","RegionNum":0,"RegionCategory":null,"ArticlePicture":[],"TitleCN":null,"AbstractTextCN":null,"PMCID":null,"EPubDate":"2025/4/1 0:00:00","PubModel":"eCollection","JCR":"Q3","JCRName":"Agricultural and Biological Sciences","Score":null,"Total":0}
引用次数: 0

摘要

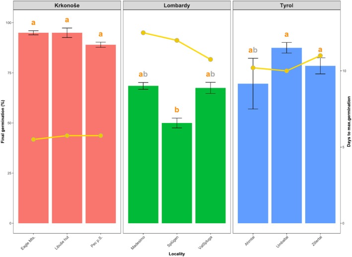
阿尔卑斯鲁梅克斯(R. alpinus L.)是捷克山区的一种非本地入侵植物,会改变保护区的生态系统结构和功能。Rumex obtusifolius L.(R. obtusifolius)是捷克草地上的本地物种和问题杂草,而 Rumex longifolius DC.(longifolius)是芬诺斯坎迪亚的特有物种,广泛分布于欧洲北部和中部。本研究探讨了 R.alpinus、R.obtusifolius 和 R. longifolius 受温度影响的发芽模式,并重点研究了 R. alpinus 不同种群之间的潜在差异。假设表明,由于发芽过程中的温度限制,R. alpinus 无法在低洼地区立足。第二个实验评估了本地和非本地对 R. alpinus 种子萌发的影响。第一项实验在 6°C、12°C、18°C、24°C、29°C 和 35°C 的气候箱中进行,第二项实验则在 24°C 下进行 14 天。与预期相反,在所有温度下,R. alpinus 的发芽率最高。在第二项实验中,发芽率差异显著,发芽成功率与从阿尔卑斯山到捷克地区的过渡呈正相关。来自 Krkonoše 山区的种子萌发率最高、速度最快,而 R. alpinus 在该地区属于入侵植物物种。
本文章由计算机程序翻译,如有差异,请以英文原文为准。

Ecological Implications of Germination Temperature on Native and Invasive <i>Rumex</i> Spp.

Ecological Implications of Germination Temperature on Native and Invasive <i>Rumex</i> Spp.

Ecological Implications of Germination Temperature on Native and Invasive <i>Rumex</i> Spp.

Ecological Implications of Germination Temperature on Native and Invasive Rumex Spp.

Rumex alpinus L. (R. alpinus) is a non-native invasive plant in Czech mountain regions, altering ecosystem structure and function in protected areas. Rumex obtusifolius L. (R. obtusifolius) is a native species and a problematic weed in Czech meadows, while Rumex longifolius DC. (R. longifolius) is characteristic of Fennoscandia and widespread in northern and central Europe. This study explores temperature-driven germination patterns in R. alpinus, R. obtusifolius, and R. longifolius and also focuses on potential differences across populations of R. alpinus. The hypothesis suggests that R. alpinus is not established in lowland areas due to temperature limitations during germination. A second experiment evaluates the influence of native and non-native localities on R. alpinus seed germination. The primary experiment was conducted at 6°C, 12°C, 18°C, 24°C, 29°C, and 35°C in a climate chamber, while the second experiment was performed at 24°C for 14 days. Contrary to expectations, R. alpinus exhibited the highest germination rate across all temperatures. In the second experiment, germination rates varied significantly, with a positive correlation between germination success and transition from Alpine to Czech localities. The highest and fastest germination was observed in seeds from the Krkonoše Mountains, where R. alpinus is an invasive plant species.

求助全文
通过发布文献求助,成功后即可免费获取论文全文。 去求助
来源期刊
CiteScore
2.70
自引率
0.00%
发文量
0
审稿时长
15 weeks
×
引用
GB/T 7714-2015
复制
MLA
复制
APA
复制
导出至
BibTeX EndNote RefMan NoteFirst NoteExpress
×
提示
您的信息不完整,为了账户安全,请先补充。
现在去补充
×
提示
您因"违规操作"
具体请查看互助需知
我知道了
×
提示
确定
请完成安全验证×
copy
已复制链接
快去分享给好友吧!
我知道了
右上角分享
点击右上角分享
0
联系我们:info@booksci.cn Book学术提供免费学术资源搜索服务,方便国内外学者检索中英文文献。致力于提供最便捷和优质的服务体验。 Copyright © 2023 布克学术 All rights reserved.
京ICP备2023020795号-1
ghs 京公网安备 11010802042870号
Book学术文献互助
Book学术文献互助群
群 号:604180095
Book学术官方微信