热带海洋海绵微生物组分析和放线菌分离。

IF 4.1 Q3 MICROBIOLOGY
AIMS Microbiology Pub Date : 2025-03-03 eCollection Date: 2025-01-01 DOI:10.3934/microbiol.2025010
Trinset Weeraphan, Chollabuppha Chou, Naphatson Chanthathamrongsiri, Thanchanok Sirirak, Sumaitt Putchakarn, Supakarn Chamni, Wongsakorn Phongsopitanun
{"title":"热带海洋海绵微生物组分析和放线菌分离。","authors":"Trinset Weeraphan, Chollabuppha Chou, Naphatson Chanthathamrongsiri, Thanchanok Sirirak, Sumaitt Putchakarn, Supakarn Chamni, Wongsakorn Phongsopitanun","doi":"10.3934/microbiol.2025010","DOIUrl":null,"url":null,"abstract":"<p><p>Marine sponges are well-known for their production of bioactive compounds, many of which are synthesized by their associated symbiotic microorganisms. Among these, Actinomycetes are of particular interest due to their ability to produce secondary metabolites with antimicrobial and antitumor activities. We aimed to investigate the bacterial microbiome of tropical marine sponges, with an emphasis on the diversity and distribution of Actinomycetes, employing both culture-dependent and culture-independent approaches. Five sponge samples (PF01-PF05) were collected from Sichang Island, Chonburi Province, Thailand. The bacterial communities were analyzed using 16S rRNA gene sequencing and bioinformatics tools, revealing a significant microbial diversity dominated by Cyanobacteria, Actinomycetota, and Chloroflexi. Notably, PF01 (<i>Penares nux</i>) exhibited the highest microbial diversity, while PF05 (<i>Cacospongia</i> sp.) had the lowest. Actinomycetes, particularly the genus <i>Micromonospora</i>, were successfully isolated from all samples, with PF03 (<i>Ircinia mutans</i>) yielding the highest number of strains. Culture-independent analysis identified a greater proportion of unculturable Actinomycetes compared to those isolated through traditional methods, underscoring the limitations of culture-dependent techniques. This study enhances our understanding of sponge-associated microbial diversity and highlights the potential for isolating Actinomycetes from these sponges for novel drug discovery and other bioprospective applications.</p>","PeriodicalId":46108,"journal":{"name":"AIMS Microbiology","volume":"11 1","pages":"182-205"},"PeriodicalIF":4.1000,"publicationDate":"2025-03-03","publicationTypes":"Journal Article","fieldsOfStudy":null,"isOpenAccess":false,"openAccessPdf":"https://www.ncbi.nlm.nih.gov/pmc/articles/PMC11950688/pdf/","citationCount":"0","resultStr":"{\"title\":\"Microbiome profiling and Actinomycetes isolation from tropical marine sponges.\",\"authors\":\"Trinset Weeraphan, Chollabuppha Chou, Naphatson Chanthathamrongsiri, Thanchanok Sirirak, Sumaitt Putchakarn, Supakarn Chamni, Wongsakorn Phongsopitanun\",\"doi\":\"10.3934/microbiol.2025010\",\"DOIUrl\":null,\"url\":null,\"abstract\":\"<p><p>Marine sponges are well-known for their production of bioactive compounds, many of which are synthesized by their associated symbiotic microorganisms. Among these, Actinomycetes are of particular interest due to their ability to produce secondary metabolites with antimicrobial and antitumor activities. We aimed to investigate the bacterial microbiome of tropical marine sponges, with an emphasis on the diversity and distribution of Actinomycetes, employing both culture-dependent and culture-independent approaches. Five sponge samples (PF01-PF05) were collected from Sichang Island, Chonburi Province, Thailand. The bacterial communities were analyzed using 16S rRNA gene sequencing and bioinformatics tools, revealing a significant microbial diversity dominated by Cyanobacteria, Actinomycetota, and Chloroflexi. Notably, PF01 (<i>Penares nux</i>) exhibited the highest microbial diversity, while PF05 (<i>Cacospongia</i> sp.) had the lowest. Actinomycetes, particularly the genus <i>Micromonospora</i>, were successfully isolated from all samples, with PF03 (<i>Ircinia mutans</i>) yielding the highest number of strains. Culture-independent analysis identified a greater proportion of unculturable Actinomycetes compared to those isolated through traditional methods, underscoring the limitations of culture-dependent techniques. This study enhances our understanding of sponge-associated microbial diversity and highlights the potential for isolating Actinomycetes from these sponges for novel drug discovery and other bioprospective applications.</p>\",\"PeriodicalId\":46108,\"journal\":{\"name\":\"AIMS Microbiology\",\"volume\":\"11 1\",\"pages\":\"182-205\"},\"PeriodicalIF\":4.1000,\"publicationDate\":\"2025-03-03\",\"publicationTypes\":\"Journal Article\",\"fieldsOfStudy\":null,\"isOpenAccess\":false,\"openAccessPdf\":\"https://www.ncbi.nlm.nih.gov/pmc/articles/PMC11950688/pdf/\",\"citationCount\":\"0\",\"resultStr\":null,\"platform\":\"Semanticscholar\",\"paperid\":null,\"PeriodicalName\":\"AIMS Microbiology\",\"FirstCategoryId\":\"1085\",\"ListUrlMain\":\"https://doi.org/10.3934/microbiol.2025010\",\"RegionNum\":0,\"RegionCategory\":null,\"ArticlePicture\":[],\"TitleCN\":null,\"AbstractTextCN\":null,\"PMCID\":null,\"EPubDate\":\"2025/1/1 0:00:00\",\"PubModel\":\"eCollection\",\"JCR\":\"Q3\",\"JCRName\":\"MICROBIOLOGY\",\"Score\":null,\"Total\":0}","platform":"Semanticscholar","paperid":null,"PeriodicalName":"AIMS Microbiology","FirstCategoryId":"1085","ListUrlMain":"https://doi.org/10.3934/microbiol.2025010","RegionNum":0,"RegionCategory":null,"ArticlePicture":[],"TitleCN":null,"AbstractTextCN":null,"PMCID":null,"EPubDate":"2025/1/1 0:00:00","PubModel":"eCollection","JCR":"Q3","JCRName":"MICROBIOLOGY","Score":null,"Total":0}
引用次数: 0

摘要

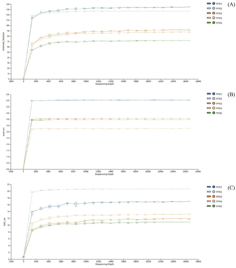
海洋海绵以其生产生物活性化合物而闻名,其中许多是由其相关的共生微生物合成的。其中,放线菌因其产生具有抗菌和抗肿瘤活性的次级代谢物的能力而受到特别关注。我们旨在研究热带海洋海绵的细菌微生物组,重点研究放线菌的多样性和分布,采用培养依赖和培养独立的方法。从泰国春武里省泗昌岛采集了5份海绵样品(PF01-PF05)。利用16S rRNA基因测序和生物信息学工具对细菌群落进行分析,发现微生物多样性显著,以蓝藻、放线菌和氯氟菌为主。其中,PF01 (Penares nux)的微生物多样性最高,PF05 (Cacospongia sp.)的微生物多样性最低。从所有样品中成功分离出放线菌,特别是小单孢子菌属,其中PF03(变形Ircinia mutans)产生的菌株数量最多。与通过传统方法分离的放线菌相比,培养独立分析确定了更大比例的不可培养放线菌,强调了培养依赖技术的局限性。这项研究增强了我们对海绵相关微生物多样性的理解,并强调了从这些海绵中分离放线菌的潜力,用于新药发现和其他生物前景应用。
本文章由计算机程序翻译,如有差异,请以英文原文为准。

Microbiome profiling and Actinomycetes isolation from tropical marine sponges.

Microbiome profiling and Actinomycetes isolation from tropical marine sponges.

Microbiome profiling and Actinomycetes isolation from tropical marine sponges.

Microbiome profiling and Actinomycetes isolation from tropical marine sponges.

Marine sponges are well-known for their production of bioactive compounds, many of which are synthesized by their associated symbiotic microorganisms. Among these, Actinomycetes are of particular interest due to their ability to produce secondary metabolites with antimicrobial and antitumor activities. We aimed to investigate the bacterial microbiome of tropical marine sponges, with an emphasis on the diversity and distribution of Actinomycetes, employing both culture-dependent and culture-independent approaches. Five sponge samples (PF01-PF05) were collected from Sichang Island, Chonburi Province, Thailand. The bacterial communities were analyzed using 16S rRNA gene sequencing and bioinformatics tools, revealing a significant microbial diversity dominated by Cyanobacteria, Actinomycetota, and Chloroflexi. Notably, PF01 (Penares nux) exhibited the highest microbial diversity, while PF05 (Cacospongia sp.) had the lowest. Actinomycetes, particularly the genus Micromonospora, were successfully isolated from all samples, with PF03 (Ircinia mutans) yielding the highest number of strains. Culture-independent analysis identified a greater proportion of unculturable Actinomycetes compared to those isolated through traditional methods, underscoring the limitations of culture-dependent techniques. This study enhances our understanding of sponge-associated microbial diversity and highlights the potential for isolating Actinomycetes from these sponges for novel drug discovery and other bioprospective applications.

求助全文
通过发布文献求助,成功后即可免费获取论文全文。 去求助
来源期刊
AIMS Microbiology
AIMS Microbiology MICROBIOLOGY-
CiteScore
7.00
自引率
2.10%
发文量
22
审稿时长
8 weeks
×
引用
GB/T 7714-2015
复制
MLA
复制
APA
复制
导出至
BibTeX EndNote RefMan NoteFirst NoteExpress
×
提示
您的信息不完整,为了账户安全,请先补充。
现在去补充
×
提示
您因"违规操作"
具体请查看互助需知
我知道了
×
提示
确定
请完成安全验证×
copy
已复制链接
快去分享给好友吧!
我知道了
右上角分享
点击右上角分享
0
联系我们:info@booksci.cn Book学术提供免费学术资源搜索服务,方便国内外学者检索中英文文献。致力于提供最便捷和优质的服务体验。 Copyright © 2023 布克学术 All rights reserved.
京ICP备2023020795号-1
ghs 京公网安备 11010802042870号
Book学术文献互助
Book学术文献互助群
群 号:604180095
Book学术官方微信