中东和北非地区医生对高危人群流感疫苗接种的知识、态度、做法和障碍:一项横断面研究

IF 2.2 Q3 INFECTIOUS DISEASES
Saadi M Saleh, Alaa Aljamala, Dina Hafez, Mosab Abu Shqeer, Islam Abukandil, Weam Aldiban, Azza Baraka
{"title":"中东和北非地区医生对高危人群流感疫苗接种的知识、态度、做法和障碍:一项横断面研究","authors":"Saadi M Saleh, Alaa Aljamala, Dina Hafez, Mosab Abu Shqeer, Islam Abukandil, Weam Aldiban, Azza Baraka","doi":"10.1186/s40794-024-00241-0","DOIUrl":null,"url":null,"abstract":"<p><strong>Background: </strong>The influenza vaccine is a cost-effective measure to reduce morbidity and mortality, especially for high-risk patients. Healthcare providers have an essential role in patients' education about vaccines. This study aims to examine physicians' understanding, perceptions, and practices regarding influenza vaccination in the Middle East and North Africa (MENA) region for high-risk patients.</p><p><strong>Methods: </strong>We conducted a multinational cross-sectional study in 21 countries in MENA region from July 10th to September 10th, 2023. Data were collected using an online self-administered survey distributed through different social media platforms. We used a valid questionnaire designed to determine the knowledge, attitude, and practice of physicians toward influenza vaccination. A multivariable binomial logistic regression analysis was conducted to identify significant predictors for offering the influenza vaccine.</p><p><strong>Results: </strong>In this study, which involved 2017 physicians (the mean (SD) age was 29 (± 6.2); 52% were males), the majority expressed a low to medium level of knowledge about influenza vaccination, with only 4% displaying a high level of knowledge. Regarding attitude, the majority (n = 1511, 74.9%) were quite concerned. However, only (n = 509, 25.4%) offered the vaccine to patients. The main predictors for offering the vaccine were age (adjusted odd ratio (AOR) = 1.036, 95%CI = 1.003-1.07, p = 0.031), male sex (AOR = 1.39, 95%CI = 1.09-1.77, p = 0.007), living in upper-middle-income countries (AOR = 3.14, 95%CI = 2.1-4.7, p < 0.001), having PhD degree (AOR = 3.15, 95%CI = 1.47-6.71, p = 0.003), being a senior resident (AOR = 2.005, 95%CI = 1.147-3.5, p = 0.015), working two to five shifts per week (AOR = 1.55, 95%CI = 1.02-2.35, p = 0.04), working more than five shifts per week (AOR = 1.75, 95%CI = 1.06- 2.88, p = 0.027), attitude (AOR = 1.33, 95%CI = 1.243- 1.44, p < 0.001), following these practices regarding influenz vaccination with the other office staff: Encourage and offer (AOR = 5.73, 95%CI = 4.11- 8.007, p < 0.001), require but do not offer (AOR = 3.73, 95%CI = 2.59- 5.38, p < 0.001), and require and offer the influenza vaccine (AOR = 6.79, 95%CI = 4.88- 9.45, p < 0.001) to the office staff. The main barriers to influenza vaccination were unawareness of vaccine availability (32%), cost (25%), and forgetfulness (23.4%).</p><p><strong>Conclusions: </strong>Approximately half of the physicians were knowledgeable about the flu vaccine, but practice was deficient and impeded by barriers like unawareness and forgetfulness.</p>","PeriodicalId":23303,"journal":{"name":"Tropical Diseases, Travel Medicine and Vaccines","volume":"11 1","pages":"6"},"PeriodicalIF":2.2000,"publicationDate":"2025-04-01","publicationTypes":"Journal Article","fieldsOfStudy":null,"isOpenAccess":false,"openAccessPdf":"https://www.ncbi.nlm.nih.gov/pmc/articles/PMC11959996/pdf/","citationCount":"0","resultStr":"{\"title\":\"Knowledge, attitude, practice, and barriers among physicians in the Middle East and North Africa region toward influenza vaccination for the high-risk group of patients: a cross-sectional study.\",\"authors\":\"Saadi M Saleh, Alaa Aljamala, Dina Hafez, Mosab Abu Shqeer, Islam Abukandil, Weam Aldiban, Azza Baraka\",\"doi\":\"10.1186/s40794-024-00241-0\",\"DOIUrl\":null,\"url\":null,\"abstract\":\"<p><strong>Background: </strong>The influenza vaccine is a cost-effective measure to reduce morbidity and mortality, especially for high-risk patients. Healthcare providers have an essential role in patients' education about vaccines. This study aims to examine physicians' understanding, perceptions, and practices regarding influenza vaccination in the Middle East and North Africa (MENA) region for high-risk patients.</p><p><strong>Methods: </strong>We conducted a multinational cross-sectional study in 21 countries in MENA region from July 10th to September 10th, 2023. Data were collected using an online self-administered survey distributed through different social media platforms. We used a valid questionnaire designed to determine the knowledge, attitude, and practice of physicians toward influenza vaccination. A multivariable binomial logistic regression analysis was conducted to identify significant predictors for offering the influenza vaccine.</p><p><strong>Results: </strong>In this study, which involved 2017 physicians (the mean (SD) age was 29 (± 6.2); 52% were males), the majority expressed a low to medium level of knowledge about influenza vaccination, with only 4% displaying a high level of knowledge. Regarding attitude, the majority (n = 1511, 74.9%) were quite concerned. However, only (n = 509, 25.4%) offered the vaccine to patients. The main predictors for offering the vaccine were age (adjusted odd ratio (AOR) = 1.036, 95%CI = 1.003-1.07, p = 0.031), male sex (AOR = 1.39, 95%CI = 1.09-1.77, p = 0.007), living in upper-middle-income countries (AOR = 3.14, 95%CI = 2.1-4.7, p < 0.001), having PhD degree (AOR = 3.15, 95%CI = 1.47-6.71, p = 0.003), being a senior resident (AOR = 2.005, 95%CI = 1.147-3.5, p = 0.015), working two to five shifts per week (AOR = 1.55, 95%CI = 1.02-2.35, p = 0.04), working more than five shifts per week (AOR = 1.75, 95%CI = 1.06- 2.88, p = 0.027), attitude (AOR = 1.33, 95%CI = 1.243- 1.44, p < 0.001), following these practices regarding influenz vaccination with the other office staff: Encourage and offer (AOR = 5.73, 95%CI = 4.11- 8.007, p < 0.001), require but do not offer (AOR = 3.73, 95%CI = 2.59- 5.38, p < 0.001), and require and offer the influenza vaccine (AOR = 6.79, 95%CI = 4.88- 9.45, p < 0.001) to the office staff. The main barriers to influenza vaccination were unawareness of vaccine availability (32%), cost (25%), and forgetfulness (23.4%).</p><p><strong>Conclusions: </strong>Approximately half of the physicians were knowledgeable about the flu vaccine, but practice was deficient and impeded by barriers like unawareness and forgetfulness.</p>\",\"PeriodicalId\":23303,\"journal\":{\"name\":\"Tropical Diseases, Travel Medicine and Vaccines\",\"volume\":\"11 1\",\"pages\":\"6\"},\"PeriodicalIF\":2.2000,\"publicationDate\":\"2025-04-01\",\"publicationTypes\":\"Journal Article\",\"fieldsOfStudy\":null,\"isOpenAccess\":false,\"openAccessPdf\":\"https://www.ncbi.nlm.nih.gov/pmc/articles/PMC11959996/pdf/\",\"citationCount\":\"0\",\"resultStr\":null,\"platform\":\"Semanticscholar\",\"paperid\":null,\"PeriodicalName\":\"Tropical Diseases, Travel Medicine and Vaccines\",\"FirstCategoryId\":\"1085\",\"ListUrlMain\":\"https://doi.org/10.1186/s40794-024-00241-0\",\"RegionNum\":0,\"RegionCategory\":null,\"ArticlePicture\":[],\"TitleCN\":null,\"AbstractTextCN\":null,\"PMCID\":null,\"EPubDate\":\"\",\"PubModel\":\"\",\"JCR\":\"Q3\",\"JCRName\":\"INFECTIOUS DISEASES\",\"Score\":null,\"Total\":0}","platform":"Semanticscholar","paperid":null,"PeriodicalName":"Tropical Diseases, Travel Medicine and Vaccines","FirstCategoryId":"1085","ListUrlMain":"https://doi.org/10.1186/s40794-024-00241-0","RegionNum":0,"RegionCategory":null,"ArticlePicture":[],"TitleCN":null,"AbstractTextCN":null,"PMCID":null,"EPubDate":"","PubModel":"","JCR":"Q3","JCRName":"INFECTIOUS DISEASES","Score":null,"Total":0}
引用次数: 0

摘要

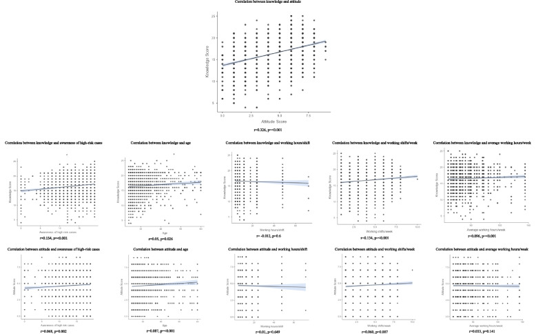
背景:流感疫苗是降低发病率和死亡率的成本效益措施,特别是对高危患者。医疗保健提供者在对患者进行疫苗教育方面发挥着至关重要的作用。本研究旨在调查医生对中东和北非(MENA)地区高危患者接种流感疫苗的理解、看法和做法。方法:我们于2023年7月10日至9月10日在中东和北非地区的21个国家进行了一项跨国横断面研究。数据是通过不同的社交媒体平台进行的在线自我管理调查收集的。我们使用了一份有效的问卷来确定医生对流感疫苗接种的知识、态度和实践。进行多变量二项logistic回归分析,以确定提供流感疫苗的重要预测因素。结果:本研究纳入2017名医生(平均(SD)年龄29(±6.2);52%为男性),大多数人表示对流感疫苗接种的知识水平为中低水平,只有4%的人表示对流感疫苗接种的知识水平较高。在态度方面,大多数人(n = 1511, 74.9%)表示“非常关心”。然而,只有509家(25.4%)向患者提供疫苗。提供疫苗的主要预测因素是年龄(调整奇数比(AOR) = 1.036, 95%CI = 1.003-1.07, p = 0.031)、男性(AOR = 1.39, 95%CI = 1.09-1.77, p = 0.007)、生活在中高收入国家(AOR = 3.14, 95%CI = 2.1-4.7, p)。结论:大约一半的医生了解流感疫苗,但实践不足,并受到不了解和遗忘等障碍的阻碍。
本文章由计算机程序翻译,如有差异,请以英文原文为准。

Knowledge, attitude, practice, and barriers among physicians in the Middle East and North Africa region toward influenza vaccination for the high-risk group of patients: a cross-sectional study.

Knowledge, attitude, practice, and barriers among physicians in the Middle East and North Africa region toward influenza vaccination for the high-risk group of patients: a cross-sectional study.

Knowledge, attitude, practice, and barriers among physicians in the Middle East and North Africa region toward influenza vaccination for the high-risk group of patients: a cross-sectional study.

Knowledge, attitude, practice, and barriers among physicians in the Middle East and North Africa region toward influenza vaccination for the high-risk group of patients: a cross-sectional study.

Background: The influenza vaccine is a cost-effective measure to reduce morbidity and mortality, especially for high-risk patients. Healthcare providers have an essential role in patients' education about vaccines. This study aims to examine physicians' understanding, perceptions, and practices regarding influenza vaccination in the Middle East and North Africa (MENA) region for high-risk patients.

Methods: We conducted a multinational cross-sectional study in 21 countries in MENA region from July 10th to September 10th, 2023. Data were collected using an online self-administered survey distributed through different social media platforms. We used a valid questionnaire designed to determine the knowledge, attitude, and practice of physicians toward influenza vaccination. A multivariable binomial logistic regression analysis was conducted to identify significant predictors for offering the influenza vaccine.

Results: In this study, which involved 2017 physicians (the mean (SD) age was 29 (± 6.2); 52% were males), the majority expressed a low to medium level of knowledge about influenza vaccination, with only 4% displaying a high level of knowledge. Regarding attitude, the majority (n = 1511, 74.9%) were quite concerned. However, only (n = 509, 25.4%) offered the vaccine to patients. The main predictors for offering the vaccine were age (adjusted odd ratio (AOR) = 1.036, 95%CI = 1.003-1.07, p = 0.031), male sex (AOR = 1.39, 95%CI = 1.09-1.77, p = 0.007), living in upper-middle-income countries (AOR = 3.14, 95%CI = 2.1-4.7, p < 0.001), having PhD degree (AOR = 3.15, 95%CI = 1.47-6.71, p = 0.003), being a senior resident (AOR = 2.005, 95%CI = 1.147-3.5, p = 0.015), working two to five shifts per week (AOR = 1.55, 95%CI = 1.02-2.35, p = 0.04), working more than five shifts per week (AOR = 1.75, 95%CI = 1.06- 2.88, p = 0.027), attitude (AOR = 1.33, 95%CI = 1.243- 1.44, p < 0.001), following these practices regarding influenz vaccination with the other office staff: Encourage and offer (AOR = 5.73, 95%CI = 4.11- 8.007, p < 0.001), require but do not offer (AOR = 3.73, 95%CI = 2.59- 5.38, p < 0.001), and require and offer the influenza vaccine (AOR = 6.79, 95%CI = 4.88- 9.45, p < 0.001) to the office staff. The main barriers to influenza vaccination were unawareness of vaccine availability (32%), cost (25%), and forgetfulness (23.4%).

Conclusions: Approximately half of the physicians were knowledgeable about the flu vaccine, but practice was deficient and impeded by barriers like unawareness and forgetfulness.

求助全文
通过发布文献求助,成功后即可免费获取论文全文。 去求助
来源期刊
CiteScore
5.20
自引率
0.00%
发文量
25
审稿时长
17 weeks
期刊介绍: Tropical Diseases, Travel Medicine and Vaccines is an open access journal that considers basic, translational and applied research, as well as reviews and commentary, related to the prevention and management of healthcare and diseases in international travelers. Given the changes in demographic trends of travelers globally, as well as the epidemiological transitions which many countries are experiencing, the journal considers non-infectious problems including chronic disease among target populations of interest as well as infectious diseases.
×
引用
GB/T 7714-2015
复制
MLA
复制
APA
复制
导出至
BibTeX EndNote RefMan NoteFirst NoteExpress
×
提示
您的信息不完整,为了账户安全,请先补充。
现在去补充
×
提示
您因"违规操作"
具体请查看互助需知
我知道了
×
提示
确定
请完成安全验证×
copy
已复制链接
快去分享给好友吧!
我知道了
右上角分享
点击右上角分享
0
联系我们:info@booksci.cn Book学术提供免费学术资源搜索服务,方便国内外学者检索中英文文献。致力于提供最便捷和优质的服务体验。 Copyright © 2023 布克学术 All rights reserved.
京ICP备2023020795号-1
ghs 京公网安备 11010802042870号
Book学术文献互助
Book学术文献互助群
群 号:604180095
Book学术官方微信