基于123I-MIBG SPECT/CT半定量代谢参数及肿瘤代谢活性对神经母细胞瘤预处理患者预后的意义

IF 3.5 2区 医学 Q2 ONCOLOGY
Ziang Zhou, Xu Yang, Guanyun Wang, Xiaoya Wang, Jun Liu, Yanfeng Xu, Kan Ying, Wei Wang, Jigang Yang
{"title":"基于123I-MIBG SPECT/CT半定量代谢参数及肿瘤代谢活性对神经母细胞瘤预处理患者预后的意义","authors":"Ziang Zhou, Xu Yang, Guanyun Wang, Xiaoya Wang, Jun Liu, Yanfeng Xu, Kan Ying, Wei Wang, Jigang Yang","doi":"10.1186/s40644-025-00858-0","DOIUrl":null,"url":null,"abstract":"<p><strong>Purpose: </strong>To assess the prognosis predictive value of semi-quantitative metabolic parameters and tumoral metabolic activity based on <sup>123</sup>I-meta-iodobenzylguanidine (MIBG) SPECT/CT in pretreatment neuroblastoma (NB) patients.</p><p><strong>Methods: </strong>A total of 50 children (25 girls, 25 boys, median age 37 months, range 1-102 months) with newly diagnosed NB, consecutively examined with pretherapeutic <sup>123</sup>I-MIBG SPECT/CT between 2018 and 2024, were included in this retrospective study. The semi-quantitative metabolic parameters and activity of primary tumor were measured, including Tmax/Lmax, Tmean/Lmean, Tmax/Lmean, Tmax/Mmax, Tmean/Mmean and asphericity (ASP). The ratio was maximum or mean count of primary tumor, liver and muscle. Clinical data and image-related factors was recorded as well. The outcome endpoint was event-free survival (EFS). Independent predictors were identified through univariate and multivariate logistic regression analyses. Receiver operating characteristic (ROC) and Kaplan Meier analysis with log-rank test for EFS were performed.</p><p><strong>Results: </strong>Median follow-up was 42 months (range 2.5-74 months; 4 patients showed disease progression/relapse, 7 patients died). The univariate and multivariate Cox regression analysis demonstrated that bone/bone marrow metastasis [95% confidence interval (CI): 1.051, 18.570, p = 0.043], Tmax/Lmax (95% CI: 1.074, 1.459, p = 0.004) and ASP (95% CI: 2.618, 273.477, p = 0.006) were independent predictors of EFS. The Kaplan Meier survival analyses demonstrated that Tmax/Lmax undefined[Formula: see text]]]>6 and ASP [Formula: see text]undefined]]>34% and with bone/bone marrow metastasis had worse outcomes.</p><p><strong>Conclusion: </strong>In this exploratory study, pretherapeutic <sup>123</sup>I-MIBG image-derived semi-quantitative metabolic parameters and tumor asphericity provided prognostic value for EFS in NB patients. Tmax/Lmax [Formula: see text]undefined]]>6 and ASP [Formula: see text]undefined]]>34%, along with the presence of bone/bone marrow metastasis, could be considered as supplementary factors alongside existing ones.</p>","PeriodicalId":9548,"journal":{"name":"Cancer Imaging","volume":"25 1","pages":"45"},"PeriodicalIF":3.5000,"publicationDate":"2025-03-31","publicationTypes":"Journal Article","fieldsOfStudy":null,"isOpenAccess":false,"openAccessPdf":"https://www.ncbi.nlm.nih.gov/pmc/articles/PMC11956495/pdf/","citationCount":"0","resultStr":"{\"title\":\"The prognostic significance of semi-quantitative metabolic parameters and tumoral metabolic activity based on <sup>123</sup>I-MIBG SPECT/CT in pretreatment neuroblastoma patients.\",\"authors\":\"Ziang Zhou, Xu Yang, Guanyun Wang, Xiaoya Wang, Jun Liu, Yanfeng Xu, Kan Ying, Wei Wang, Jigang Yang\",\"doi\":\"10.1186/s40644-025-00858-0\",\"DOIUrl\":null,\"url\":null,\"abstract\":\"<p><strong>Purpose: </strong>To assess the prognosis predictive value of semi-quantitative metabolic parameters and tumoral metabolic activity based on <sup>123</sup>I-meta-iodobenzylguanidine (MIBG) SPECT/CT in pretreatment neuroblastoma (NB) patients.</p><p><strong>Methods: </strong>A total of 50 children (25 girls, 25 boys, median age 37 months, range 1-102 months) with newly diagnosed NB, consecutively examined with pretherapeutic <sup>123</sup>I-MIBG SPECT/CT between 2018 and 2024, were included in this retrospective study. The semi-quantitative metabolic parameters and activity of primary tumor were measured, including Tmax/Lmax, Tmean/Lmean, Tmax/Lmean, Tmax/Mmax, Tmean/Mmean and asphericity (ASP). The ratio was maximum or mean count of primary tumor, liver and muscle. Clinical data and image-related factors was recorded as well. The outcome endpoint was event-free survival (EFS). Independent predictors were identified through univariate and multivariate logistic regression analyses. Receiver operating characteristic (ROC) and Kaplan Meier analysis with log-rank test for EFS were performed.</p><p><strong>Results: </strong>Median follow-up was 42 months (range 2.5-74 months; 4 patients showed disease progression/relapse, 7 patients died). The univariate and multivariate Cox regression analysis demonstrated that bone/bone marrow metastasis [95% confidence interval (CI): 1.051, 18.570, p = 0.043], Tmax/Lmax (95% CI: 1.074, 1.459, p = 0.004) and ASP (95% CI: 2.618, 273.477, p = 0.006) were independent predictors of EFS. The Kaplan Meier survival analyses demonstrated that Tmax/Lmax undefined[Formula: see text]]]>6 and ASP [Formula: see text]undefined]]>34% and with bone/bone marrow metastasis had worse outcomes.</p><p><strong>Conclusion: </strong>In this exploratory study, pretherapeutic <sup>123</sup>I-MIBG image-derived semi-quantitative metabolic parameters and tumor asphericity provided prognostic value for EFS in NB patients. Tmax/Lmax [Formula: see text]undefined]]>6 and ASP [Formula: see text]undefined]]>34%, along with the presence of bone/bone marrow metastasis, could be considered as supplementary factors alongside existing ones.</p>\",\"PeriodicalId\":9548,\"journal\":{\"name\":\"Cancer Imaging\",\"volume\":\"25 1\",\"pages\":\"45\"},\"PeriodicalIF\":3.5000,\"publicationDate\":\"2025-03-31\",\"publicationTypes\":\"Journal Article\",\"fieldsOfStudy\":null,\"isOpenAccess\":false,\"openAccessPdf\":\"https://www.ncbi.nlm.nih.gov/pmc/articles/PMC11956495/pdf/\",\"citationCount\":\"0\",\"resultStr\":null,\"platform\":\"Semanticscholar\",\"paperid\":null,\"PeriodicalName\":\"Cancer Imaging\",\"FirstCategoryId\":\"3\",\"ListUrlMain\":\"https://doi.org/10.1186/s40644-025-00858-0\",\"RegionNum\":2,\"RegionCategory\":\"医学\",\"ArticlePicture\":[],\"TitleCN\":null,\"AbstractTextCN\":null,\"PMCID\":null,\"EPubDate\":\"\",\"PubModel\":\"\",\"JCR\":\"Q2\",\"JCRName\":\"ONCOLOGY\",\"Score\":null,\"Total\":0}","platform":"Semanticscholar","paperid":null,"PeriodicalName":"Cancer Imaging","FirstCategoryId":"3","ListUrlMain":"https://doi.org/10.1186/s40644-025-00858-0","RegionNum":2,"RegionCategory":"医学","ArticlePicture":[],"TitleCN":null,"AbstractTextCN":null,"PMCID":null,"EPubDate":"","PubModel":"","JCR":"Q2","JCRName":"ONCOLOGY","Score":null,"Total":0}
引用次数: 0

摘要

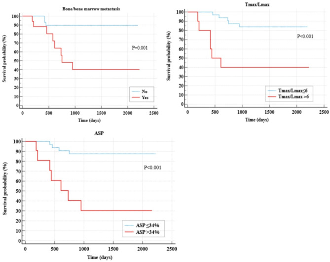
目的:评价基于123i -间碘苄基胍(MIBG) SPECT/CT半定量代谢参数及肿瘤代谢活性对预处理神经母细胞瘤(NB)患者预后的预测价值。方法:回顾性研究2018 - 2024年间50例新诊断为NB的患儿(女孩25例,男孩25例,中位年龄37个月,范围1-102个月),连续接受123I-MIBG治疗前SPECT/CT检查。测定原发肿瘤的半定量代谢参数和活性,包括Tmax/Lmax、Tmean/Lmean、Tmax/Lmean、Tmax/Mmax、Tmean/Mmean和非球形度(ASP)。该比值为原发肿瘤、肝脏和肌肉的最大计数或平均计数。同时记录临床资料及影像相关因素。结局终点为无事件生存期(EFS)。通过单变量和多变量逻辑回归分析确定独立预测因子。受试者工作特征(ROC)、Kaplan Meier分析及对数秩检验。结果:中位随访时间为42个月(2.5-74个月;病情进展/复发4例,死亡7例)。单因素和多因素Cox回归分析显示,骨/骨髓转移[95%可信区间(CI): 1.051, 18.570, p = 0.043]、Tmax/Lmax (95% CI: 1.074, 1.459, p = 0.004)和ASP (95% CI: 2.618, 273.477, p = 0.006)是EFS的独立预测因子。Kaplan Meier生存分析显示Tmax/Lmax未定义[公式:见文]]>6和ASP[公式:见文]未定义]]>34%且伴有骨/骨髓转移的患者预后较差。结论:在这项探索性研究中,治疗前123I-MIBG图像衍生的半定量代谢参数和肿瘤非球形度为NB患者EFS提供了预后价值。Tmax/Lmax[公式:见文]未定义]]>6和ASP[公式:见文]未定义]]>34%,与骨/骨髓转移的存在一起,可被认为是与现有因素互补的因素。
本文章由计算机程序翻译,如有差异,请以英文原文为准。

The prognostic significance of semi-quantitative metabolic parameters and tumoral metabolic activity based on <sup>123</sup>I-MIBG SPECT/CT in pretreatment neuroblastoma patients.

The prognostic significance of semi-quantitative metabolic parameters and tumoral metabolic activity based on <sup>123</sup>I-MIBG SPECT/CT in pretreatment neuroblastoma patients.

The prognostic significance of semi-quantitative metabolic parameters and tumoral metabolic activity based on <sup>123</sup>I-MIBG SPECT/CT in pretreatment neuroblastoma patients.

The prognostic significance of semi-quantitative metabolic parameters and tumoral metabolic activity based on 123I-MIBG SPECT/CT in pretreatment neuroblastoma patients.

Purpose: To assess the prognosis predictive value of semi-quantitative metabolic parameters and tumoral metabolic activity based on 123I-meta-iodobenzylguanidine (MIBG) SPECT/CT in pretreatment neuroblastoma (NB) patients.

Methods: A total of 50 children (25 girls, 25 boys, median age 37 months, range 1-102 months) with newly diagnosed NB, consecutively examined with pretherapeutic 123I-MIBG SPECT/CT between 2018 and 2024, were included in this retrospective study. The semi-quantitative metabolic parameters and activity of primary tumor were measured, including Tmax/Lmax, Tmean/Lmean, Tmax/Lmean, Tmax/Mmax, Tmean/Mmean and asphericity (ASP). The ratio was maximum or mean count of primary tumor, liver and muscle. Clinical data and image-related factors was recorded as well. The outcome endpoint was event-free survival (EFS). Independent predictors were identified through univariate and multivariate logistic regression analyses. Receiver operating characteristic (ROC) and Kaplan Meier analysis with log-rank test for EFS were performed.

Results: Median follow-up was 42 months (range 2.5-74 months; 4 patients showed disease progression/relapse, 7 patients died). The univariate and multivariate Cox regression analysis demonstrated that bone/bone marrow metastasis [95% confidence interval (CI): 1.051, 18.570, p = 0.043], Tmax/Lmax (95% CI: 1.074, 1.459, p = 0.004) and ASP (95% CI: 2.618, 273.477, p = 0.006) were independent predictors of EFS. The Kaplan Meier survival analyses demonstrated that Tmax/Lmax undefined[Formula: see text]]]>6 and ASP [Formula: see text]undefined]]>34% and with bone/bone marrow metastasis had worse outcomes.

Conclusion: In this exploratory study, pretherapeutic 123I-MIBG image-derived semi-quantitative metabolic parameters and tumor asphericity provided prognostic value for EFS in NB patients. Tmax/Lmax [Formula: see text]undefined]]>6 and ASP [Formula: see text]undefined]]>34%, along with the presence of bone/bone marrow metastasis, could be considered as supplementary factors alongside existing ones.

求助全文
通过发布文献求助,成功后即可免费获取论文全文。 去求助
来源期刊
Cancer Imaging
Cancer Imaging ONCOLOGY-RADIOLOGY, NUCLEAR MEDICINE & MEDICAL IMAGING
CiteScore
7.00
自引率
0.00%
发文量
66
审稿时长
>12 weeks
期刊介绍: Cancer Imaging is an open access, peer-reviewed journal publishing original articles, reviews and editorials written by expert international radiologists working in oncology. The journal encompasses CT, MR, PET, ultrasound, radionuclide and multimodal imaging in all kinds of malignant tumours, plus new developments, techniques and innovations. Topics of interest include: Breast Imaging Chest Complications of treatment Ear, Nose & Throat Gastrointestinal Hepatobiliary & Pancreatic Imaging biomarkers Interventional Lymphoma Measurement of tumour response Molecular functional imaging Musculoskeletal Neuro oncology Nuclear Medicine Paediatric.
×
引用
GB/T 7714-2015
复制
MLA
复制
APA
复制
导出至
BibTeX EndNote RefMan NoteFirst NoteExpress
×
提示
您的信息不完整,为了账户安全,请先补充。
现在去补充
×
提示
您因"违规操作"
具体请查看互助需知
我知道了
×
提示
确定
请完成安全验证×
copy
已复制链接
快去分享给好友吧!
我知道了
右上角分享
点击右上角分享
0
联系我们:info@booksci.cn Book学术提供免费学术资源搜索服务,方便国内外学者检索中英文文献。致力于提供最便捷和优质的服务体验。 Copyright © 2023 布克学术 All rights reserved.
京ICP备2023020795号-1
ghs 京公网安备 11010802042870号
Book学术文献互助
Book学术文献互助群
群 号:604180095
Book学术官方微信