波兰青少年特发性关节炎的流行病学和合并症-一项全国性研究。

IF 2.3 3区 医学 Q1 PEDIATRICS
Zbigniew Żuber, Krzysztof Podwójcic, Mateusz Szeląg, Magdalena Krajewska-Włodarczyk, Krzysztof Batko, Michał Orleański, Jakub Sowiński, Maria Świderek, Agata Śmiglewska, Michał Maluchnik, Marek Brzosko, Brygida Kwiatkowska, Marcin Stajszczyk, Bogdan Batko
{"title":"波兰青少年特发性关节炎的流行病学和合并症-一项全国性研究。","authors":"Zbigniew Żuber, Krzysztof Podwójcic, Mateusz Szeląg, Magdalena Krajewska-Włodarczyk, Krzysztof Batko, Michał Orleański, Jakub Sowiński, Maria Świderek, Agata Śmiglewska, Michał Maluchnik, Marek Brzosko, Brygida Kwiatkowska, Marcin Stajszczyk, Bogdan Batko","doi":"10.1186/s12969-025-01065-8","DOIUrl":null,"url":null,"abstract":"<p><strong>Background: </strong>Diagnostic pathways for patients with juvenile idiopathic arthritis (JIA) have gradually improved over time. Provider practice has also shifted towards goal-oriented treatment with disease-modifying drugs (DMARDs) that together may have changed the epidemiologic landscape of JIA.</p><p><strong>Methods: </strong>Public healthcare utilization records from the National Health Fund (NHF) were screened between 2010 and 2022. For individuals aged < 16 years, we utilized a narrow JIA case definition combining repeat ICD-10 encoding with DMARDs prescription based on ATC codes.</p><p><strong>Results: </strong>In 2022, we identified 1,625 incident and 29,758 prevalent JIA cases (< 16 years), which corresponds to incidence (IRs) and prevalence rates of 4.30 and 78.80 per 100,000 persons of the general population. For the pediatric population, annual IRs for JIA (< 16 years) ranged between 24.0 (95% CI 22.8, 25.2) and 38.7 (95% CI 37.2-40.3) per 100,000. Greater susceptibility among females was also consistently observed with the annual IR ratio ranging between 1.16 and 1.53. The most common concurrent disorders based on medical care services were allergic rhinitis (N = 5,200, 17.5%), bronchial asthma (N = 3,661, 12.3%) and chronic tonsillitis/pharyngitis (N = 3641, 12.2%). Analysis of 214,285 outpatient care visits revealed a median (IQR, range) annual healthcare cost of 37.8€ (35.8-47.4€, 30.3-86.1€) per JIA patient.</p><p><strong>Conclusions: </strong>This comprehensive, nationwide study provides a contemporary estimate of JIA burden in Poland. Our findings indicate that both the occurrence of new cases and overall burden of JIA in the past ten years align with the lower end of projected figures for our geographical area, especially when compared with Scandinavian nations.</p>","PeriodicalId":54630,"journal":{"name":"Pediatric Rheumatology","volume":"23 1","pages":"33"},"PeriodicalIF":2.3000,"publicationDate":"2025-03-28","publicationTypes":"Journal Article","fieldsOfStudy":null,"isOpenAccess":false,"openAccessPdf":"https://www.ncbi.nlm.nih.gov/pmc/articles/PMC11951515/pdf/","citationCount":"0","resultStr":"{\"title\":\"Epidemiology and comorbidity of juvenile idiopathic arthritis in Poland- a nationwide study.\",\"authors\":\"Zbigniew Żuber, Krzysztof Podwójcic, Mateusz Szeląg, Magdalena Krajewska-Włodarczyk, Krzysztof Batko, Michał Orleański, Jakub Sowiński, Maria Świderek, Agata Śmiglewska, Michał Maluchnik, Marek Brzosko, Brygida Kwiatkowska, Marcin Stajszczyk, Bogdan Batko\",\"doi\":\"10.1186/s12969-025-01065-8\",\"DOIUrl\":null,\"url\":null,\"abstract\":\"<p><strong>Background: </strong>Diagnostic pathways for patients with juvenile idiopathic arthritis (JIA) have gradually improved over time. Provider practice has also shifted towards goal-oriented treatment with disease-modifying drugs (DMARDs) that together may have changed the epidemiologic landscape of JIA.</p><p><strong>Methods: </strong>Public healthcare utilization records from the National Health Fund (NHF) were screened between 2010 and 2022. For individuals aged < 16 years, we utilized a narrow JIA case definition combining repeat ICD-10 encoding with DMARDs prescription based on ATC codes.</p><p><strong>Results: </strong>In 2022, we identified 1,625 incident and 29,758 prevalent JIA cases (< 16 years), which corresponds to incidence (IRs) and prevalence rates of 4.30 and 78.80 per 100,000 persons of the general population. For the pediatric population, annual IRs for JIA (< 16 years) ranged between 24.0 (95% CI 22.8, 25.2) and 38.7 (95% CI 37.2-40.3) per 100,000. Greater susceptibility among females was also consistently observed with the annual IR ratio ranging between 1.16 and 1.53. The most common concurrent disorders based on medical care services were allergic rhinitis (N = 5,200, 17.5%), bronchial asthma (N = 3,661, 12.3%) and chronic tonsillitis/pharyngitis (N = 3641, 12.2%). Analysis of 214,285 outpatient care visits revealed a median (IQR, range) annual healthcare cost of 37.8€ (35.8-47.4€, 30.3-86.1€) per JIA patient.</p><p><strong>Conclusions: </strong>This comprehensive, nationwide study provides a contemporary estimate of JIA burden in Poland. Our findings indicate that both the occurrence of new cases and overall burden of JIA in the past ten years align with the lower end of projected figures for our geographical area, especially when compared with Scandinavian nations.</p>\",\"PeriodicalId\":54630,\"journal\":{\"name\":\"Pediatric Rheumatology\",\"volume\":\"23 1\",\"pages\":\"33\"},\"PeriodicalIF\":2.3000,\"publicationDate\":\"2025-03-28\",\"publicationTypes\":\"Journal Article\",\"fieldsOfStudy\":null,\"isOpenAccess\":false,\"openAccessPdf\":\"https://www.ncbi.nlm.nih.gov/pmc/articles/PMC11951515/pdf/\",\"citationCount\":\"0\",\"resultStr\":null,\"platform\":\"Semanticscholar\",\"paperid\":null,\"PeriodicalName\":\"Pediatric Rheumatology\",\"FirstCategoryId\":\"3\",\"ListUrlMain\":\"https://doi.org/10.1186/s12969-025-01065-8\",\"RegionNum\":3,\"RegionCategory\":\"医学\",\"ArticlePicture\":[],\"TitleCN\":null,\"AbstractTextCN\":null,\"PMCID\":null,\"EPubDate\":\"\",\"PubModel\":\"\",\"JCR\":\"Q1\",\"JCRName\":\"PEDIATRICS\",\"Score\":null,\"Total\":0}","platform":"Semanticscholar","paperid":null,"PeriodicalName":"Pediatric Rheumatology","FirstCategoryId":"3","ListUrlMain":"https://doi.org/10.1186/s12969-025-01065-8","RegionNum":3,"RegionCategory":"医学","ArticlePicture":[],"TitleCN":null,"AbstractTextCN":null,"PMCID":null,"EPubDate":"","PubModel":"","JCR":"Q1","JCRName":"PEDIATRICS","Score":null,"Total":0}
引用次数: 0

摘要

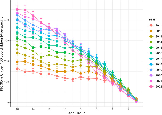
背景:随着时间的推移,青少年特发性关节炎(JIA)的诊断途径逐渐改善。提供者的做法也转向以目标为导向的治疗,使用改善疾病的药物(DMARDs),这可能改变了JIA的流行病学格局。方法:筛选2010 - 2022年国家卫生基金(NHF)公共卫生服务利用记录。结果:在2022年,我们确定了1,625例病例和29,758例JIA流行病例(结论:这项全面的全国性研究提供了波兰JIA负担的当代估计。我们的研究结果表明,在过去十年中,JIA的新病例发生率和总体负担都符合我们地理区域预测数字的下限,特别是与斯堪的纳维亚国家相比。
本文章由计算机程序翻译,如有差异,请以英文原文为准。

Epidemiology and comorbidity of juvenile idiopathic arthritis in Poland- a nationwide study.

Epidemiology and comorbidity of juvenile idiopathic arthritis in Poland- a nationwide study.

Epidemiology and comorbidity of juvenile idiopathic arthritis in Poland- a nationwide study.

Epidemiology and comorbidity of juvenile idiopathic arthritis in Poland- a nationwide study.

Background: Diagnostic pathways for patients with juvenile idiopathic arthritis (JIA) have gradually improved over time. Provider practice has also shifted towards goal-oriented treatment with disease-modifying drugs (DMARDs) that together may have changed the epidemiologic landscape of JIA.

Methods: Public healthcare utilization records from the National Health Fund (NHF) were screened between 2010 and 2022. For individuals aged < 16 years, we utilized a narrow JIA case definition combining repeat ICD-10 encoding with DMARDs prescription based on ATC codes.

Results: In 2022, we identified 1,625 incident and 29,758 prevalent JIA cases (< 16 years), which corresponds to incidence (IRs) and prevalence rates of 4.30 and 78.80 per 100,000 persons of the general population. For the pediatric population, annual IRs for JIA (< 16 years) ranged between 24.0 (95% CI 22.8, 25.2) and 38.7 (95% CI 37.2-40.3) per 100,000. Greater susceptibility among females was also consistently observed with the annual IR ratio ranging between 1.16 and 1.53. The most common concurrent disorders based on medical care services were allergic rhinitis (N = 5,200, 17.5%), bronchial asthma (N = 3,661, 12.3%) and chronic tonsillitis/pharyngitis (N = 3641, 12.2%). Analysis of 214,285 outpatient care visits revealed a median (IQR, range) annual healthcare cost of 37.8€ (35.8-47.4€, 30.3-86.1€) per JIA patient.

Conclusions: This comprehensive, nationwide study provides a contemporary estimate of JIA burden in Poland. Our findings indicate that both the occurrence of new cases and overall burden of JIA in the past ten years align with the lower end of projected figures for our geographical area, especially when compared with Scandinavian nations.

求助全文
通过发布文献求助,成功后即可免费获取论文全文。 去求助
来源期刊
Pediatric Rheumatology
Pediatric Rheumatology PEDIATRICS-RHEUMATOLOGY
CiteScore
4.10
自引率
8.00%
发文量
95
审稿时长
>12 weeks
期刊介绍: Pediatric Rheumatology is an open access, peer-reviewed, online journal encompassing all aspects of clinical and basic research related to pediatric rheumatology and allied subjects. The journal’s scope of diseases and syndromes include musculoskeletal pain syndromes, rheumatic fever and post-streptococcal syndromes, juvenile idiopathic arthritis, systemic lupus erythematosus, juvenile dermatomyositis, local and systemic scleroderma, Kawasaki disease, Henoch-Schonlein purpura and other vasculitides, sarcoidosis, inherited musculoskeletal syndromes, autoinflammatory syndromes, and others.
×
引用
GB/T 7714-2015
复制
MLA
复制
APA
复制
导出至
BibTeX EndNote RefMan NoteFirst NoteExpress
×
提示
您的信息不完整,为了账户安全,请先补充。
现在去补充
×
提示
您因"违规操作"
具体请查看互助需知
我知道了
×
提示
确定
请完成安全验证×
copy
已复制链接
快去分享给好友吧!
我知道了
右上角分享
点击右上角分享
0
联系我们:info@booksci.cn Book学术提供免费学术资源搜索服务,方便国内外学者检索中英文文献。致力于提供最便捷和优质的服务体验。 Copyright © 2023 布克学术 All rights reserved.
京ICP备2023020795号-1
ghs 京公网安备 11010802042870号
Book学术文献互助
Book学术文献互助群
群 号:604180095
Book学术官方微信