硼酸对衰老模型大鼠氧化损伤及认知功能的保护作用。

IF 1.1 Q2 MEDICINE, GENERAL & INTERNAL
Emel Serdaroglu Kasikci, Burcu Cevreli, Feride Nihal Sinan, Zeynep Gurdere, Aylin Sonmez, Rumeysa Sonmez
{"title":"硼酸对衰老模型大鼠氧化损伤及认知功能的保护作用。","authors":"Emel Serdaroglu Kasikci, Burcu Cevreli, Feride Nihal Sinan, Zeynep Gurdere, Aylin Sonmez, Rumeysa Sonmez","doi":"10.4274/MMJ.galenos.2025.22725","DOIUrl":null,"url":null,"abstract":"<p><strong>Objective: </strong>Aging is a degenerative process. Therefore, the background of our study is to evaluate the effects of boron, one of the important underground resources in Türkiye, on aging and related diseases. This study aimed to assess the antioxidant effect and the cognitive functions of boric acid (BA) in a D-galactose (D-gal)-induced aging model.</p><p><strong>Methods: </strong>Eight male Wistar rats, each 12 weeks old, were split into four groups at random: control, D-gal, BA and D-gal+BA. An experimental aging model was induced by a single subcutaneous injection of D-gal (150 mg/kg/day), and BA (100 mg/kg/day) was administered by oral gavage for 12 weeks. The novel object recognition test (NORT) and Morris water maze (MWM) were used to evaluate the cognitive ability of rats.</p><p><strong>Results: </strong>At the end of the experimental period, glutathione (GSH) and malondialdehyde (MDA) levels were assessed in serum and brain tissue. The treatment of D-gal induced aging rats with BA significantly decreased the MDA level (p<0.05) and increased the GSH level, although the increase was not significant. Moreover, NORT and MWM tests showed that BA significantly improved (p<0.05) cognitive deficits in D-Gal + BA treated rats.</p><p><strong>Conclusions: </strong>BA prevents D-gal-induced memory deficit by decreasing oxidative stress. Hence, BA was a good candidate for addressing age-related neurodegenerative disorders and cognitive function improvements.</p>","PeriodicalId":37427,"journal":{"name":"Medeniyet medical journal","volume":"40 1","pages":"18-25"},"PeriodicalIF":1.1000,"publicationDate":"2025-03-28","publicationTypes":"Journal Article","fieldsOfStudy":null,"isOpenAccess":false,"openAccessPdf":"https://www.ncbi.nlm.nih.gov/pmc/articles/PMC11974467/pdf/","citationCount":"0","resultStr":"{\"title\":\"Protective Effect of Boric Acid on Oxidative Damage and Cognitive Function in Aging Modeled Rats.\",\"authors\":\"Emel Serdaroglu Kasikci, Burcu Cevreli, Feride Nihal Sinan, Zeynep Gurdere, Aylin Sonmez, Rumeysa Sonmez\",\"doi\":\"10.4274/MMJ.galenos.2025.22725\",\"DOIUrl\":null,\"url\":null,\"abstract\":\"<p><strong>Objective: </strong>Aging is a degenerative process. Therefore, the background of our study is to evaluate the effects of boron, one of the important underground resources in Türkiye, on aging and related diseases. This study aimed to assess the antioxidant effect and the cognitive functions of boric acid (BA) in a D-galactose (D-gal)-induced aging model.</p><p><strong>Methods: </strong>Eight male Wistar rats, each 12 weeks old, were split into four groups at random: control, D-gal, BA and D-gal+BA. An experimental aging model was induced by a single subcutaneous injection of D-gal (150 mg/kg/day), and BA (100 mg/kg/day) was administered by oral gavage for 12 weeks. The novel object recognition test (NORT) and Morris water maze (MWM) were used to evaluate the cognitive ability of rats.</p><p><strong>Results: </strong>At the end of the experimental period, glutathione (GSH) and malondialdehyde (MDA) levels were assessed in serum and brain tissue. The treatment of D-gal induced aging rats with BA significantly decreased the MDA level (p<0.05) and increased the GSH level, although the increase was not significant. Moreover, NORT and MWM tests showed that BA significantly improved (p<0.05) cognitive deficits in D-Gal + BA treated rats.</p><p><strong>Conclusions: </strong>BA prevents D-gal-induced memory deficit by decreasing oxidative stress. Hence, BA was a good candidate for addressing age-related neurodegenerative disorders and cognitive function improvements.</p>\",\"PeriodicalId\":37427,\"journal\":{\"name\":\"Medeniyet medical journal\",\"volume\":\"40 1\",\"pages\":\"18-25\"},\"PeriodicalIF\":1.1000,\"publicationDate\":\"2025-03-28\",\"publicationTypes\":\"Journal Article\",\"fieldsOfStudy\":null,\"isOpenAccess\":false,\"openAccessPdf\":\"https://www.ncbi.nlm.nih.gov/pmc/articles/PMC11974467/pdf/\",\"citationCount\":\"0\",\"resultStr\":null,\"platform\":\"Semanticscholar\",\"paperid\":null,\"PeriodicalName\":\"Medeniyet medical journal\",\"FirstCategoryId\":\"1085\",\"ListUrlMain\":\"https://doi.org/10.4274/MMJ.galenos.2025.22725\",\"RegionNum\":0,\"RegionCategory\":null,\"ArticlePicture\":[],\"TitleCN\":null,\"AbstractTextCN\":null,\"PMCID\":null,\"EPubDate\":\"\",\"PubModel\":\"\",\"JCR\":\"Q2\",\"JCRName\":\"MEDICINE, GENERAL & INTERNAL\",\"Score\":null,\"Total\":0}","platform":"Semanticscholar","paperid":null,"PeriodicalName":"Medeniyet medical journal","FirstCategoryId":"1085","ListUrlMain":"https://doi.org/10.4274/MMJ.galenos.2025.22725","RegionNum":0,"RegionCategory":null,"ArticlePicture":[],"TitleCN":null,"AbstractTextCN":null,"PMCID":null,"EPubDate":"","PubModel":"","JCR":"Q2","JCRName":"MEDICINE, GENERAL & INTERNAL","Score":null,"Total":0}
引用次数: 0

摘要

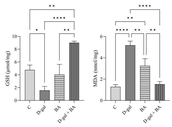
目的衰老是一个退化过程。因此,我们研究的背景是评估硼(土耳其重要的地下资源之一)对衰老和相关疾病的影响。本研究旨在评估硼酸(BA)在D-半乳糖(D-gal)诱导的衰老模型中的抗氧化作用和认知功能:方法:将8只雄性Wistar大鼠(每只12周大)随机分为4组:对照组、D-gal组、BA组和D-gal+BA组。通过一次皮下注射 D-gal(150 毫克/千克/天)诱导实验性衰老模型,同时口服 BA(100 毫克/千克/天)12 周。实验采用新物体识别试验(NORT)和莫里斯水迷宫(MWM)评估大鼠的认知能力:实验结束时,对大鼠血清和脑组织中的谷胱甘肽(GSH)和丙二醛(MDA)水平进行了评估。用 BA 治疗 D-gal 诱导的衰老大鼠后,MDA 水平明显下降(p 结论:BA 可预防 D-gal 诱导的记忆衰退:BA可通过降低氧化应激防止D-gal诱导的记忆缺失。因此,BA 是解决与年龄相关的神经退行性疾病和改善认知功能的良好候选药物。
本文章由计算机程序翻译,如有差异,请以英文原文为准。

Protective Effect of Boric Acid on Oxidative Damage and Cognitive Function in Aging Modeled Rats.

Protective Effect of Boric Acid on Oxidative Damage and Cognitive Function in Aging Modeled Rats.

Protective Effect of Boric Acid on Oxidative Damage and Cognitive Function in Aging Modeled Rats.

Protective Effect of Boric Acid on Oxidative Damage and Cognitive Function in Aging Modeled Rats.

Objective: Aging is a degenerative process. Therefore, the background of our study is to evaluate the effects of boron, one of the important underground resources in Türkiye, on aging and related diseases. This study aimed to assess the antioxidant effect and the cognitive functions of boric acid (BA) in a D-galactose (D-gal)-induced aging model.

Methods: Eight male Wistar rats, each 12 weeks old, were split into four groups at random: control, D-gal, BA and D-gal+BA. An experimental aging model was induced by a single subcutaneous injection of D-gal (150 mg/kg/day), and BA (100 mg/kg/day) was administered by oral gavage for 12 weeks. The novel object recognition test (NORT) and Morris water maze (MWM) were used to evaluate the cognitive ability of rats.

Results: At the end of the experimental period, glutathione (GSH) and malondialdehyde (MDA) levels were assessed in serum and brain tissue. The treatment of D-gal induced aging rats with BA significantly decreased the MDA level (p<0.05) and increased the GSH level, although the increase was not significant. Moreover, NORT and MWM tests showed that BA significantly improved (p<0.05) cognitive deficits in D-Gal + BA treated rats.

Conclusions: BA prevents D-gal-induced memory deficit by decreasing oxidative stress. Hence, BA was a good candidate for addressing age-related neurodegenerative disorders and cognitive function improvements.

求助全文
通过发布文献求助,成功后即可免费获取论文全文。 去求助
来源期刊
Medeniyet medical journal
Medeniyet medical journal Medicine-Medicine (all)
CiteScore
1.70
自引率
0.00%
发文量
88
审稿时长
5 weeks
期刊介绍: The Medeniyet Medical Journal (Medeniyet Med J) is an open access, peer-reviewed, and scientific journal of Istanbul Medeniyet University Faculty of Medicine on various academic disciplines in medicine, which is published in English four times a year, in March, June, September, and December by a group of academics. Medeniyet Medical Journal is the continuation of Göztepe Medical Journal (ISSN: 1300-526X) which was started publishing in 1985. It changed the name as Medeniyet Medical Journal in 2015. Submission and publication are free of charge. No fees are asked from the authors for evaluation or publication process. All published articles are available online in the journal website (www.medeniyetmedicaljournal.org) without any fee. The journal publishes intradisciplinary or interdisciplinary clinical, experimental, and basic researches as well as original case reports, reviews, invited reviews, or letters to the editor, Being published since 1985, the Medeniyet Med J recognizes that the best science should lead to better lives based on the fact that the medicine should serve to the needs of society, and knowledge should transform society. The journal aims to address current issues at both national and international levels, start debates, and exert an influence on decision-makers all over the world by integrating science in everyday life. Medeniyet Med J is committed to serve the public and influence people’s lives in a positive way by making science widely accessible. Believing that the only goal is improving lives, and research has an impact on people’s lives, we select the best research papers in line with this goal.
×
引用
GB/T 7714-2015
复制
MLA
复制
APA
复制
导出至
BibTeX EndNote RefMan NoteFirst NoteExpress
×
提示
您的信息不完整,为了账户安全,请先补充。
现在去补充
×
提示
您因"违规操作"
具体请查看互助需知
我知道了
×
提示
确定
请完成安全验证×
copy
已复制链接
快去分享给好友吧!
我知道了
右上角分享
点击右上角分享
0
联系我们:info@booksci.cn Book学术提供免费学术资源搜索服务,方便国内外学者检索中英文文献。致力于提供最便捷和优质的服务体验。 Copyright © 2023 布克学术 All rights reserved.
京ICP备2023020795号-1
ghs 京公网安备 11010802042870号
Book学术文献互助
Book学术文献互助群
群 号:604180095
Book学术官方微信