高效壳聚糖-聚噻吩-氧化石墨烯复合材料具有增强的抗菌活性、染料吸附能力、机械性能和热性能。

IF 3.9 2区 综合性期刊 Q1 MULTIDISCIPLINARY SCIENCES
Mohammad Amin Sedghamiz, Mohammadhadi Mehrvar, Mohammad Amin Tavakkoli, Mehdi Sharif, Mehdi Sahami
{"title":"高效壳聚糖-聚噻吩-氧化石墨烯复合材料具有增强的抗菌活性、染料吸附能力、机械性能和热性能。","authors":"Mohammad Amin Sedghamiz, Mohammadhadi Mehrvar, Mohammad Amin Tavakkoli, Mehdi Sharif, Mehdi Sahami","doi":"10.1038/s41598-025-95090-y","DOIUrl":null,"url":null,"abstract":"<p><p>Water pollution is the most serious environmental issues due to toxic impurity such as dye and pathogenic microorganisms. The main goal of the present study is to produce a novel ternary chitosan-polythiophene-graphene oxide (CS-PTh-GO) bionanocomposites using the intercalation of GO into CS through solution mixing process followed by the in-situ polymerization of thiophene for removal of dye and killing microorganisms from an aqueous solution. The fabricated CS-PTh-GOs were characteristically examined via FTIR, XRD, SEM, TEM, TGA, tensile analysis and subsequently applied for adsorption of cationic dyes such as methylene blue (MB) in the dark or under light and killing the growth of Gram-positive and Gram-negative microorganisms. The data revealed that presence of PTh-GO enhanced the surface roughness, tensile strength, thermal stability, adsorption characteristics and antibacterial activity. The CS-PTh-GO showed 97% dye removal of MB in 50 min. Ultimately, the CS-PTh-GO bionanocomposites analysis against the growth of Staphylococcus aureus, and Escherichia coli manifesting a minimum inhibitory concentration (MIC) of 5 µg/mL, respectively. Thus, the CS-PTh-GO bionanocomposite has the potential to use as an efficient adaptable antimicrobial and dye absorbent of organic dyes in industrial wastewater.</p>","PeriodicalId":21811,"journal":{"name":"Scientific Reports","volume":"15 1","pages":"10485"},"PeriodicalIF":3.9000,"publicationDate":"2025-03-26","publicationTypes":"Journal Article","fieldsOfStudy":null,"isOpenAccess":false,"openAccessPdf":"https://www.ncbi.nlm.nih.gov/pmc/articles/PMC11947090/pdf/","citationCount":"0","resultStr":"{\"title\":\"The efficient chitosan-polythiophene-graphene oxide bionanocomposite with enhanced antibacterial activity, dye adsorption ability, mechanical and thermal properties.\",\"authors\":\"Mohammad Amin Sedghamiz, Mohammadhadi Mehrvar, Mohammad Amin Tavakkoli, Mehdi Sharif, Mehdi Sahami\",\"doi\":\"10.1038/s41598-025-95090-y\",\"DOIUrl\":null,\"url\":null,\"abstract\":\"<p><p>Water pollution is the most serious environmental issues due to toxic impurity such as dye and pathogenic microorganisms. The main goal of the present study is to produce a novel ternary chitosan-polythiophene-graphene oxide (CS-PTh-GO) bionanocomposites using the intercalation of GO into CS through solution mixing process followed by the in-situ polymerization of thiophene for removal of dye and killing microorganisms from an aqueous solution. The fabricated CS-PTh-GOs were characteristically examined via FTIR, XRD, SEM, TEM, TGA, tensile analysis and subsequently applied for adsorption of cationic dyes such as methylene blue (MB) in the dark or under light and killing the growth of Gram-positive and Gram-negative microorganisms. The data revealed that presence of PTh-GO enhanced the surface roughness, tensile strength, thermal stability, adsorption characteristics and antibacterial activity. The CS-PTh-GO showed 97% dye removal of MB in 50 min. Ultimately, the CS-PTh-GO bionanocomposites analysis against the growth of Staphylococcus aureus, and Escherichia coli manifesting a minimum inhibitory concentration (MIC) of 5 µg/mL, respectively. Thus, the CS-PTh-GO bionanocomposite has the potential to use as an efficient adaptable antimicrobial and dye absorbent of organic dyes in industrial wastewater.</p>\",\"PeriodicalId\":21811,\"journal\":{\"name\":\"Scientific Reports\",\"volume\":\"15 1\",\"pages\":\"10485\"},\"PeriodicalIF\":3.9000,\"publicationDate\":\"2025-03-26\",\"publicationTypes\":\"Journal Article\",\"fieldsOfStudy\":null,\"isOpenAccess\":false,\"openAccessPdf\":\"https://www.ncbi.nlm.nih.gov/pmc/articles/PMC11947090/pdf/\",\"citationCount\":\"0\",\"resultStr\":null,\"platform\":\"Semanticscholar\",\"paperid\":null,\"PeriodicalName\":\"Scientific Reports\",\"FirstCategoryId\":\"103\",\"ListUrlMain\":\"https://doi.org/10.1038/s41598-025-95090-y\",\"RegionNum\":2,\"RegionCategory\":\"综合性期刊\",\"ArticlePicture\":[],\"TitleCN\":null,\"AbstractTextCN\":null,\"PMCID\":null,\"EPubDate\":\"\",\"PubModel\":\"\",\"JCR\":\"Q1\",\"JCRName\":\"MULTIDISCIPLINARY SCIENCES\",\"Score\":null,\"Total\":0}","platform":"Semanticscholar","paperid":null,"PeriodicalName":"Scientific Reports","FirstCategoryId":"103","ListUrlMain":"https://doi.org/10.1038/s41598-025-95090-y","RegionNum":2,"RegionCategory":"综合性期刊","ArticlePicture":[],"TitleCN":null,"AbstractTextCN":null,"PMCID":null,"EPubDate":"","PubModel":"","JCR":"Q1","JCRName":"MULTIDISCIPLINARY SCIENCES","Score":null,"Total":0}
引用次数: 0

摘要

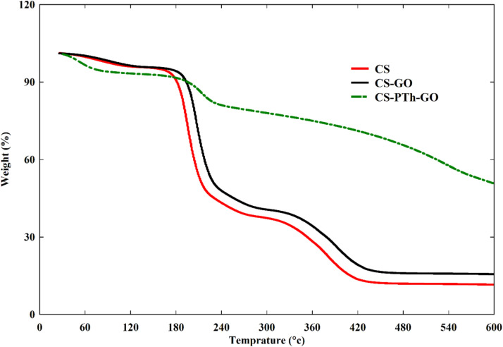
由于染料和病原微生物等有毒杂质的存在,水污染是最严重的环境问题。本研究的主要目标是生产一种新型的三元壳聚糖-聚噻吩-氧化石墨烯(CS- path -GO)生物纳米复合材料,通过溶液混合过程将GO插入到CS中,然后通过原位聚合噻吩来去除水溶液中的染料和杀死微生物。通过FTIR、XRD、SEM、TEM、TGA、拉伸分析等手段对制备的CS-PTh-GOs进行表征,并应用于暗、光条件下吸附亚甲基蓝(MB)等阳离子染料,杀伤革兰氏阳性和革兰氏阴性微生物的生长。数据显示,PTh-GO的存在增强了表面粗糙度、拉伸强度、热稳定性、吸附特性和抗菌活性。CS-PTh-GO在50分钟内对MB的去除率达到97%。最终,CS-PTh-GO生物纳米复合材料对金黄色葡萄球菌和大肠杆菌的生长的最小抑制浓度(MIC)分别为5µg/mL。因此,CS-PTh-GO生物纳米复合材料具有作为工业废水中有机染料的高效适应性抗菌剂和染料吸收剂的潜力。
本文章由计算机程序翻译,如有差异,请以英文原文为准。

The efficient chitosan-polythiophene-graphene oxide bionanocomposite with enhanced antibacterial activity, dye adsorption ability, mechanical and thermal properties.

The efficient chitosan-polythiophene-graphene oxide bionanocomposite with enhanced antibacterial activity, dye adsorption ability, mechanical and thermal properties.

The efficient chitosan-polythiophene-graphene oxide bionanocomposite with enhanced antibacterial activity, dye adsorption ability, mechanical and thermal properties.

The efficient chitosan-polythiophene-graphene oxide bionanocomposite with enhanced antibacterial activity, dye adsorption ability, mechanical and thermal properties.

Water pollution is the most serious environmental issues due to toxic impurity such as dye and pathogenic microorganisms. The main goal of the present study is to produce a novel ternary chitosan-polythiophene-graphene oxide (CS-PTh-GO) bionanocomposites using the intercalation of GO into CS through solution mixing process followed by the in-situ polymerization of thiophene for removal of dye and killing microorganisms from an aqueous solution. The fabricated CS-PTh-GOs were characteristically examined via FTIR, XRD, SEM, TEM, TGA, tensile analysis and subsequently applied for adsorption of cationic dyes such as methylene blue (MB) in the dark or under light and killing the growth of Gram-positive and Gram-negative microorganisms. The data revealed that presence of PTh-GO enhanced the surface roughness, tensile strength, thermal stability, adsorption characteristics and antibacterial activity. The CS-PTh-GO showed 97% dye removal of MB in 50 min. Ultimately, the CS-PTh-GO bionanocomposites analysis against the growth of Staphylococcus aureus, and Escherichia coli manifesting a minimum inhibitory concentration (MIC) of 5 µg/mL, respectively. Thus, the CS-PTh-GO bionanocomposite has the potential to use as an efficient adaptable antimicrobial and dye absorbent of organic dyes in industrial wastewater.

求助全文
通过发布文献求助,成功后即可免费获取论文全文。 去求助
来源期刊
Scientific Reports
Scientific Reports Natural Science Disciplines-
CiteScore
7.50
自引率
4.30%
发文量
19567
审稿时长
3.9 months
期刊介绍: We publish original research from all areas of the natural sciences, psychology, medicine and engineering. You can learn more about what we publish by browsing our specific scientific subject areas below or explore Scientific Reports by browsing all articles and collections. Scientific Reports has a 2-year impact factor: 4.380 (2021), and is the 6th most-cited journal in the world, with more than 540,000 citations in 2020 (Clarivate Analytics, 2021). •Engineering Engineering covers all aspects of engineering, technology, and applied science. It plays a crucial role in the development of technologies to address some of the world''s biggest challenges, helping to save lives and improve the way we live. •Physical sciences Physical sciences are those academic disciplines that aim to uncover the underlying laws of nature — often written in the language of mathematics. It is a collective term for areas of study including astronomy, chemistry, materials science and physics. •Earth and environmental sciences Earth and environmental sciences cover all aspects of Earth and planetary science and broadly encompass solid Earth processes, surface and atmospheric dynamics, Earth system history, climate and climate change, marine and freshwater systems, and ecology. It also considers the interactions between humans and these systems. •Biological sciences Biological sciences encompass all the divisions of natural sciences examining various aspects of vital processes. The concept includes anatomy, physiology, cell biology, biochemistry and biophysics, and covers all organisms from microorganisms, animals to plants. •Health sciences The health sciences study health, disease and healthcare. This field of study aims to develop knowledge, interventions and technology for use in healthcare to improve the treatment of patients.
×
引用
GB/T 7714-2015
复制
MLA
复制
APA
复制
导出至
BibTeX EndNote RefMan NoteFirst NoteExpress
×
提示
您的信息不完整,为了账户安全,请先补充。
现在去补充
×
提示
您因"违规操作"
具体请查看互助需知
我知道了
×
提示
确定
请完成安全验证×
copy
已复制链接
快去分享给好友吧!
我知道了
右上角分享
点击右上角分享
0
联系我们:info@booksci.cn Book学术提供免费学术资源搜索服务,方便国内外学者检索中英文文献。致力于提供最便捷和优质的服务体验。 Copyright © 2023 布克学术 All rights reserved.
京ICP备2023020795号-1
ghs 京公网安备 11010802042870号
Book学术文献互助
Book学术文献互助群
群 号:604180095
Book学术官方微信