精神分裂症患者前额叶和前扣带皮层缺氧应激后代偿能量产生减少。

IF 1.8 4区 医学 Q3 PSYCHIATRY
Psychiatry Investigation Pub Date : 2025-03-01 Epub Date: 2025-03-18 DOI:10.30773/pi.2024.0150
M Burak Baytunca, Xian-Feng Shi, Nicolas A Nuñez, Danielle Boxer, Colleen Fitzgerald, Dost Ongur, Deborah Yurgelun-Todd, Perry Renshaw, Douglas Kondo
{"title":"精神分裂症患者前额叶和前扣带皮层缺氧应激后代偿能量产生减少。","authors":"M Burak Baytunca, Xian-Feng Shi, Nicolas A Nuñez, Danielle Boxer, Colleen Fitzgerald, Dost Ongur, Deborah Yurgelun-Todd, Perry Renshaw, Douglas Kondo","doi":"10.30773/pi.2024.0150","DOIUrl":null,"url":null,"abstract":"<p><strong>Objective: </strong>The purpose of this study was to explore the capacity for energy production under conditions of increased energy demand in schizophrenia (SCZ) subjects compared to healthy controls.</p><p><strong>Methods: </strong>Twelve healthy controls (33.00±6.07 years) and 12 subjects diagnosed with SCZ or schizoaffective disorder (36.00±8.33 years) matched for age and sex, were recruited for this study. Hypoxic stress was induced during MR scans to elevate the energy demand on the subjects' bioenergetic systems. Participants breathed air with a lower oxygen concentration (FiO2=13%), maintaining their SpO2 levels (86%) during the initial phase of the scan. 31Phosphorus MR spectroscopy was employed to examine metabolite levels, including phosphocreatine (PCr), β-adenosine triphosphate (ATP), and inorganic phosphate (Pi), as well as the ratios of PCr/Pi and PCr/β-ATP, in regions such as the prefrontal cortex (PFC), anterior cingulate cortex (ACC), and posterior cortex (POC), as well as across the entire brain, during both hypoxia and hyperoxia scans.</p><p><strong>Results: </strong>Subjects with SCZ had significantly lower levels of Pi across the brain and particularly, in the PFC, POC, and ACC during the hypoxia scan. Moreover, levels of PCr/Pi, indicative of mitochondrial energy production, were found to be higher in the same brain regions in the SCZ group. No significant differences were found in hyperoxia scan phase.</p><p><strong>Conclusion: </strong>These findings suggest a deficit in the bioenergetic systems of individuals with SCZ under conditions of heightened energy demand. Further studies are warranted.</p>","PeriodicalId":21164,"journal":{"name":"Psychiatry Investigation","volume":"22 3","pages":"243-251"},"PeriodicalIF":1.8000,"publicationDate":"2025-03-01","publicationTypes":"Journal Article","fieldsOfStudy":null,"isOpenAccess":false,"openAccessPdf":"https://www.ncbi.nlm.nih.gov/pmc/articles/PMC11962527/pdf/","citationCount":"0","resultStr":"{\"title\":\"Diminished Compensatory Energy Production Following Hypoxic Stress in the Prefrontal and Anterior Cingulate Cortex Among Individuals With Schizophrenia.\",\"authors\":\"M Burak Baytunca, Xian-Feng Shi, Nicolas A Nuñez, Danielle Boxer, Colleen Fitzgerald, Dost Ongur, Deborah Yurgelun-Todd, Perry Renshaw, Douglas Kondo\",\"doi\":\"10.30773/pi.2024.0150\",\"DOIUrl\":null,\"url\":null,\"abstract\":\"<p><strong>Objective: </strong>The purpose of this study was to explore the capacity for energy production under conditions of increased energy demand in schizophrenia (SCZ) subjects compared to healthy controls.</p><p><strong>Methods: </strong>Twelve healthy controls (33.00±6.07 years) and 12 subjects diagnosed with SCZ or schizoaffective disorder (36.00±8.33 years) matched for age and sex, were recruited for this study. Hypoxic stress was induced during MR scans to elevate the energy demand on the subjects' bioenergetic systems. Participants breathed air with a lower oxygen concentration (FiO2=13%), maintaining their SpO2 levels (86%) during the initial phase of the scan. 31Phosphorus MR spectroscopy was employed to examine metabolite levels, including phosphocreatine (PCr), β-adenosine triphosphate (ATP), and inorganic phosphate (Pi), as well as the ratios of PCr/Pi and PCr/β-ATP, in regions such as the prefrontal cortex (PFC), anterior cingulate cortex (ACC), and posterior cortex (POC), as well as across the entire brain, during both hypoxia and hyperoxia scans.</p><p><strong>Results: </strong>Subjects with SCZ had significantly lower levels of Pi across the brain and particularly, in the PFC, POC, and ACC during the hypoxia scan. Moreover, levels of PCr/Pi, indicative of mitochondrial energy production, were found to be higher in the same brain regions in the SCZ group. No significant differences were found in hyperoxia scan phase.</p><p><strong>Conclusion: </strong>These findings suggest a deficit in the bioenergetic systems of individuals with SCZ under conditions of heightened energy demand. Further studies are warranted.</p>\",\"PeriodicalId\":21164,\"journal\":{\"name\":\"Psychiatry Investigation\",\"volume\":\"22 3\",\"pages\":\"243-251\"},\"PeriodicalIF\":1.8000,\"publicationDate\":\"2025-03-01\",\"publicationTypes\":\"Journal Article\",\"fieldsOfStudy\":null,\"isOpenAccess\":false,\"openAccessPdf\":\"https://www.ncbi.nlm.nih.gov/pmc/articles/PMC11962527/pdf/\",\"citationCount\":\"0\",\"resultStr\":null,\"platform\":\"Semanticscholar\",\"paperid\":null,\"PeriodicalName\":\"Psychiatry Investigation\",\"FirstCategoryId\":\"3\",\"ListUrlMain\":\"https://doi.org/10.30773/pi.2024.0150\",\"RegionNum\":4,\"RegionCategory\":\"医学\",\"ArticlePicture\":[],\"TitleCN\":null,\"AbstractTextCN\":null,\"PMCID\":null,\"EPubDate\":\"2025/3/18 0:00:00\",\"PubModel\":\"Epub\",\"JCR\":\"Q3\",\"JCRName\":\"PSYCHIATRY\",\"Score\":null,\"Total\":0}","platform":"Semanticscholar","paperid":null,"PeriodicalName":"Psychiatry Investigation","FirstCategoryId":"3","ListUrlMain":"https://doi.org/10.30773/pi.2024.0150","RegionNum":4,"RegionCategory":"医学","ArticlePicture":[],"TitleCN":null,"AbstractTextCN":null,"PMCID":null,"EPubDate":"2025/3/18 0:00:00","PubModel":"Epub","JCR":"Q3","JCRName":"PSYCHIATRY","Score":null,"Total":0}
引用次数: 0

摘要

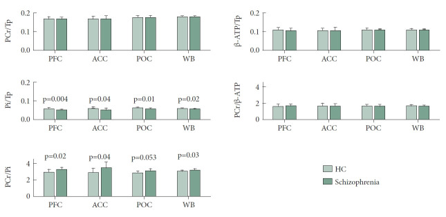
目的:本研究的目的是探讨精神分裂症(SCZ)受试者与健康对照组相比,在能量需求增加的情况下的能量生产能力。方法:招募年龄、性别相匹配的12名健康对照(33.00±6.07岁)和12名确诊为SCZ或分裂情感性障碍(36.00±8.33岁)的受试者。在磁共振扫描过程中诱导低氧应激,以提高受试者生物能量系统的能量需求。参与者呼吸氧气浓度较低的空气(FiO2=13%),在扫描的初始阶段保持SpO2水平(86%)。31在缺氧和高氧扫描期间,磷磁共振光谱用于检测代谢产物水平,包括磷酸肌酸(PCr)、β-三磷酸腺苷(ATP)和无机磷酸盐(Pi),以及在前额叶皮层(PFC)、前扣带皮层(ACC)和后皮层(POC)等区域以及整个大脑的PCr/Pi和PCr/β-ATP的比率。结果:在缺氧扫描期间,SCZ患者的Pi水平显著降低,尤其是在PFC、POC和ACC。此外,在SCZ组的相同脑区,PCr/Pi水平(表明线粒体能量产生)更高。高氧扫描期无明显差异。结论:这些发现表明,在能量需求增加的情况下,SCZ个体的生物能量系统存在缺陷。进一步的研究是必要的。
本文章由计算机程序翻译,如有差异,请以英文原文为准。

Diminished Compensatory Energy Production Following Hypoxic Stress in the Prefrontal and Anterior Cingulate Cortex Among Individuals With Schizophrenia.

Diminished Compensatory Energy Production Following Hypoxic Stress in the Prefrontal and Anterior Cingulate Cortex Among Individuals With Schizophrenia.

Diminished Compensatory Energy Production Following Hypoxic Stress in the Prefrontal and Anterior Cingulate Cortex Among Individuals With Schizophrenia.

Diminished Compensatory Energy Production Following Hypoxic Stress in the Prefrontal and Anterior Cingulate Cortex Among Individuals With Schizophrenia.

Objective: The purpose of this study was to explore the capacity for energy production under conditions of increased energy demand in schizophrenia (SCZ) subjects compared to healthy controls.

Methods: Twelve healthy controls (33.00±6.07 years) and 12 subjects diagnosed with SCZ or schizoaffective disorder (36.00±8.33 years) matched for age and sex, were recruited for this study. Hypoxic stress was induced during MR scans to elevate the energy demand on the subjects' bioenergetic systems. Participants breathed air with a lower oxygen concentration (FiO2=13%), maintaining their SpO2 levels (86%) during the initial phase of the scan. 31Phosphorus MR spectroscopy was employed to examine metabolite levels, including phosphocreatine (PCr), β-adenosine triphosphate (ATP), and inorganic phosphate (Pi), as well as the ratios of PCr/Pi and PCr/β-ATP, in regions such as the prefrontal cortex (PFC), anterior cingulate cortex (ACC), and posterior cortex (POC), as well as across the entire brain, during both hypoxia and hyperoxia scans.

Results: Subjects with SCZ had significantly lower levels of Pi across the brain and particularly, in the PFC, POC, and ACC during the hypoxia scan. Moreover, levels of PCr/Pi, indicative of mitochondrial energy production, were found to be higher in the same brain regions in the SCZ group. No significant differences were found in hyperoxia scan phase.

Conclusion: These findings suggest a deficit in the bioenergetic systems of individuals with SCZ under conditions of heightened energy demand. Further studies are warranted.

求助全文
通过发布文献求助,成功后即可免费获取论文全文。 去求助
来源期刊
CiteScore
4.10
自引率
3.70%
发文量
105
审稿时长
6-12 weeks
期刊介绍: The Psychiatry Investigation is published on the 25th day of every month in English by the Korean Neuropsychiatric Association (KNPA). The Journal covers the whole range of psychiatry and neuroscience. Both basic and clinical contributions are encouraged from all disciplines and research areas relevant to the pathophysiology and management of neuropsychiatric disorders and symptoms, as well as researches related to cross cultural psychiatry and ethnic issues in psychiatry. The Journal publishes editorials, review articles, original articles, brief reports, viewpoints and correspondences. All research articles are peer reviewed. Contributions are accepted for publication on the condition that their substance has not been published or submitted for publication elsewhere. Authors submitting papers to the Journal (serially or otherwise) with a common theme or using data derived from the same sample (or a subset thereof) must send details of all relevant previous publications and simultaneous submissions. The Journal is not responsible for statements made by contributors. Material in the Journal does not necessarily reflect the views of the Editor or of the KNPA. Manuscripts accepted for publication are copy-edited to improve readability and to ensure conformity with house style.
×
引用
GB/T 7714-2015
复制
MLA
复制
APA
复制
导出至
BibTeX EndNote RefMan NoteFirst NoteExpress
×
提示
您的信息不完整,为了账户安全,请先补充。
现在去补充
×
提示
您因"违规操作"
具体请查看互助需知
我知道了
×
提示
确定
请完成安全验证×
copy
已复制链接
快去分享给好友吧!
我知道了
右上角分享
点击右上角分享
0
联系我们:info@booksci.cn Book学术提供免费学术资源搜索服务,方便国内外学者检索中英文文献。致力于提供最便捷和优质的服务体验。 Copyright © 2023 布克学术 All rights reserved.
京ICP备2023020795号-1
ghs 京公网安备 11010802042870号
Book学术文献互助
Book学术文献互助群
群 号:604180095
Book学术官方微信