益生菌对日本黑犊牛接种细菌性呼吸道疾病免疫细胞的影响

IF 1.5 3区 农林科学 Q2 VETERINARY SCIENCES
Journal of Veterinary Research Pub Date : 2025-03-25 eCollection Date: 2025-03-01 DOI:10.2478/jvetres-2025-0013
Shogo Takeda, Hiromichi Ohtsuka, Keigo Kosenda
{"title":"益生菌对日本黑犊牛接种细菌性呼吸道疾病免疫细胞的影响","authors":"Shogo Takeda, Hiromichi Ohtsuka, Keigo Kosenda","doi":"10.2478/jvetres-2025-0013","DOIUrl":null,"url":null,"abstract":"<p><strong>Introduction: </strong>The vaccination against bacterial respiratory diseases in calves has been generally recognised as useful for the prevention of infections. Inducing an immunological response after vaccination is important for obtaining protection from infections. The aim of the study was to investigate the effects of probiotics on the immunological response to vaccination against bacterial respiratory diseases in young Japanese Black calves.</p><p><strong>Material and methods: </strong>Twenty-four Japanese Black calves were randomly divided into two groups (12 calves for the research group and 12 calves for the control group) on the seventh day of life (dol). The research group received 30 g per day of live bacteria mix consisting of <i>Streptococcus faecalis, Clostridium butyricum</i> and <i>Bacillus mesentericus</i> until the 63<sup>rd</sup> dol. The control group did not receive the bacteria mix. All calves were vaccinated against bacterial respiratory diseases twice, at 21 and 42 dol. Blood samples were obtained from all calves at 7, 21, 42 (prior to the second vaccination), 45, 49 and 63 dol for determination of antibody titres, leukocyte numbers and cytokine genes.</p><p><strong>Results: </strong>Lymphocyte counts, T cell (CD3<sup>+</sup>, CD4<sup>+</sup> and CD8<sup>+</sup> cell) counts and relative expressions of cytokine genes (interleukin (IL)-4 and IL-17A) at 45, 49 and 63 dol were significantly higher in the research group compared than in the control group.</p><p><strong>Conclusion: </strong>The addition of probiotics to young Japanese Black calves' feed promoted an immunological reaction to vaccination against bacterial respiratory diseases.</p>","PeriodicalId":17617,"journal":{"name":"Journal of Veterinary Research","volume":"69 1","pages":"27-33"},"PeriodicalIF":1.5000,"publicationDate":"2025-03-25","publicationTypes":"Journal Article","fieldsOfStudy":null,"isOpenAccess":false,"openAccessPdf":"https://www.ncbi.nlm.nih.gov/pmc/articles/PMC11936084/pdf/","citationCount":"0","resultStr":"{\"title\":\"Effect of probiotics on immune cells in young Japanese Black calves responding to vaccination against bacterial respiratory diseases.\",\"authors\":\"Shogo Takeda, Hiromichi Ohtsuka, Keigo Kosenda\",\"doi\":\"10.2478/jvetres-2025-0013\",\"DOIUrl\":null,\"url\":null,\"abstract\":\"<p><strong>Introduction: </strong>The vaccination against bacterial respiratory diseases in calves has been generally recognised as useful for the prevention of infections. Inducing an immunological response after vaccination is important for obtaining protection from infections. The aim of the study was to investigate the effects of probiotics on the immunological response to vaccination against bacterial respiratory diseases in young Japanese Black calves.</p><p><strong>Material and methods: </strong>Twenty-four Japanese Black calves were randomly divided into two groups (12 calves for the research group and 12 calves for the control group) on the seventh day of life (dol). The research group received 30 g per day of live bacteria mix consisting of <i>Streptococcus faecalis, Clostridium butyricum</i> and <i>Bacillus mesentericus</i> until the 63<sup>rd</sup> dol. The control group did not receive the bacteria mix. All calves were vaccinated against bacterial respiratory diseases twice, at 21 and 42 dol. Blood samples were obtained from all calves at 7, 21, 42 (prior to the second vaccination), 45, 49 and 63 dol for determination of antibody titres, leukocyte numbers and cytokine genes.</p><p><strong>Results: </strong>Lymphocyte counts, T cell (CD3<sup>+</sup>, CD4<sup>+</sup> and CD8<sup>+</sup> cell) counts and relative expressions of cytokine genes (interleukin (IL)-4 and IL-17A) at 45, 49 and 63 dol were significantly higher in the research group compared than in the control group.</p><p><strong>Conclusion: </strong>The addition of probiotics to young Japanese Black calves' feed promoted an immunological reaction to vaccination against bacterial respiratory diseases.</p>\",\"PeriodicalId\":17617,\"journal\":{\"name\":\"Journal of Veterinary Research\",\"volume\":\"69 1\",\"pages\":\"27-33\"},\"PeriodicalIF\":1.5000,\"publicationDate\":\"2025-03-25\",\"publicationTypes\":\"Journal Article\",\"fieldsOfStudy\":null,\"isOpenAccess\":false,\"openAccessPdf\":\"https://www.ncbi.nlm.nih.gov/pmc/articles/PMC11936084/pdf/\",\"citationCount\":\"0\",\"resultStr\":null,\"platform\":\"Semanticscholar\",\"paperid\":null,\"PeriodicalName\":\"Journal of Veterinary Research\",\"FirstCategoryId\":\"97\",\"ListUrlMain\":\"https://doi.org/10.2478/jvetres-2025-0013\",\"RegionNum\":3,\"RegionCategory\":\"农林科学\",\"ArticlePicture\":[],\"TitleCN\":null,\"AbstractTextCN\":null,\"PMCID\":null,\"EPubDate\":\"2025/3/1 0:00:00\",\"PubModel\":\"eCollection\",\"JCR\":\"Q2\",\"JCRName\":\"VETERINARY SCIENCES\",\"Score\":null,\"Total\":0}","platform":"Semanticscholar","paperid":null,"PeriodicalName":"Journal of Veterinary Research","FirstCategoryId":"97","ListUrlMain":"https://doi.org/10.2478/jvetres-2025-0013","RegionNum":3,"RegionCategory":"农林科学","ArticlePicture":[],"TitleCN":null,"AbstractTextCN":null,"PMCID":null,"EPubDate":"2025/3/1 0:00:00","PubModel":"eCollection","JCR":"Q2","JCRName":"VETERINARY SCIENCES","Score":null,"Total":0}
引用次数: 0

摘要

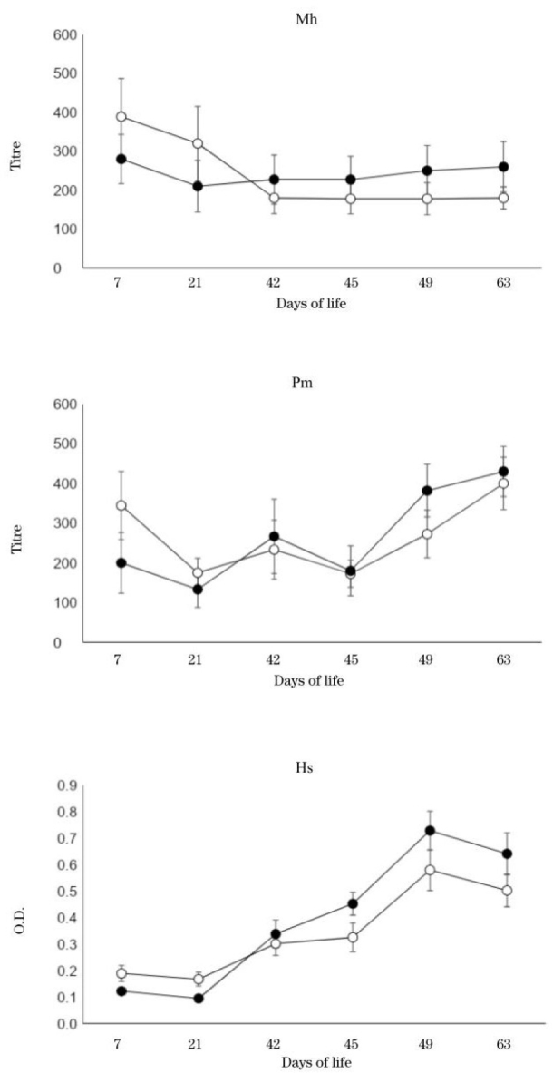
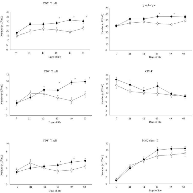
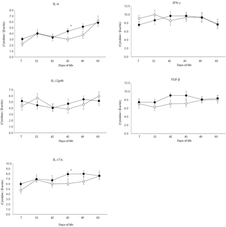
简介:小牛的细菌性呼吸道疾病的疫苗接种已被普遍认为是有效的预防感染。在接种疫苗后诱导免疫反应对于获得免受感染的保护是重要的。本研究旨在探讨益生菌对日本黑犊牛接种细菌性呼吸道疾病免疫应答的影响。材料与方法:24头日本黑犊牛在出生第7天(dol)随机分为2组,研究组12头,对照组12头。研究组每天给予粪链球菌、丁酸梭菌和肠系膜芽孢杆菌组成的活菌混合物30 g,直至第63天。对照组没有接受细菌混合物。所有小牛分别在21岁和42岁时接种两次细菌性呼吸道疾病疫苗。在7岁、21岁、42岁(第二次接种前)、45岁、49岁和63岁时采集所有小牛的血液样本,用于测定抗体滴度、白细胞数量和细胞因子基因。结果:研究组在45、49和63 dol时淋巴细胞计数、T细胞(CD3+、CD4+和CD8+细胞)计数及细胞因子基因(白细胞介素(IL)-4和IL- 17a)的相对表达量均显著高于对照组。结论:在日本黑犊牛饲料中添加益生菌可促进犊牛对细菌性呼吸道疾病疫苗的免疫应答。
本文章由计算机程序翻译,如有差异,请以英文原文为准。

Effect of probiotics on immune cells in young Japanese Black calves responding to vaccination against bacterial respiratory diseases.

Effect of probiotics on immune cells in young Japanese Black calves responding to vaccination against bacterial respiratory diseases.

Effect of probiotics on immune cells in young Japanese Black calves responding to vaccination against bacterial respiratory diseases.

Effect of probiotics on immune cells in young Japanese Black calves responding to vaccination against bacterial respiratory diseases.

Introduction: The vaccination against bacterial respiratory diseases in calves has been generally recognised as useful for the prevention of infections. Inducing an immunological response after vaccination is important for obtaining protection from infections. The aim of the study was to investigate the effects of probiotics on the immunological response to vaccination against bacterial respiratory diseases in young Japanese Black calves.

Material and methods: Twenty-four Japanese Black calves were randomly divided into two groups (12 calves for the research group and 12 calves for the control group) on the seventh day of life (dol). The research group received 30 g per day of live bacteria mix consisting of Streptococcus faecalis, Clostridium butyricum and Bacillus mesentericus until the 63rd dol. The control group did not receive the bacteria mix. All calves were vaccinated against bacterial respiratory diseases twice, at 21 and 42 dol. Blood samples were obtained from all calves at 7, 21, 42 (prior to the second vaccination), 45, 49 and 63 dol for determination of antibody titres, leukocyte numbers and cytokine genes.

Results: Lymphocyte counts, T cell (CD3+, CD4+ and CD8+ cell) counts and relative expressions of cytokine genes (interleukin (IL)-4 and IL-17A) at 45, 49 and 63 dol were significantly higher in the research group compared than in the control group.

Conclusion: The addition of probiotics to young Japanese Black calves' feed promoted an immunological reaction to vaccination against bacterial respiratory diseases.

求助全文
通过发布文献求助,成功后即可免费获取论文全文。 去求助
来源期刊
Journal of Veterinary Research
Journal of Veterinary Research Veterinary-General Veterinary
CiteScore
0.90
自引率
5.60%
发文量
58
审稿时长
18 weeks
期刊介绍: Journal of Veterinary Research (formerly Bulletin of the Veterinary Institute in Pulawy) is a quarterly that publishes original papers, review articles and short communications on bacteriology, virology, parasitology, immunology, molecular biology, pathology, toxicology, pharmacology, and biochemistry. The main emphasis is, however, on infectious diseases of animals, food safety and public health, and clinical sciences.
×
引用
GB/T 7714-2015
复制
MLA
复制
APA
复制
导出至
BibTeX EndNote RefMan NoteFirst NoteExpress
×
提示
您的信息不完整,为了账户安全,请先补充。
现在去补充
×
提示
您因"违规操作"
具体请查看互助需知
我知道了
×
提示
确定
请完成安全验证×
copy
已复制链接
快去分享给好友吧!
我知道了
右上角分享
点击右上角分享
0
联系我们:info@booksci.cn Book学术提供免费学术资源搜索服务,方便国内外学者检索中英文文献。致力于提供最便捷和优质的服务体验。 Copyright © 2023 布克学术 All rights reserved.
京ICP备2023020795号-1
ghs 京公网安备 11010802042870号
Book学术文献互助
Book学术文献互助群
群 号:604180095
Book学术官方微信