移民和难民青少年的心理健康问题和复原力模式:潜在剖面分析。

IF 4.1 2区 医学 Q1 PSYCHIATRY
Sanni Aalto, Raija-Leena Punamäki, Mervi Vänskä, Reeta Kankaanpää, Tiina Turunen, Oskari Lahtinen, Ilse Derluyn, Caroline Spaas, Lucia De Haene, Signe Smith Jervelund, Morten Skovdal, Arnfinn J Andersen, Marianne Opaas, Fatumo Osman, Anna Sarkadi, Natalie Durbeej, Emma Soye, Kirsi Peltonen
{"title":"移民和难民青少年的心理健康问题和复原力模式:潜在剖面分析。","authors":"Sanni Aalto, Raija-Leena Punamäki, Mervi Vänskä, Reeta Kankaanpää, Tiina Turunen, Oskari Lahtinen, Ilse Derluyn, Caroline Spaas, Lucia De Haene, Signe Smith Jervelund, Morten Skovdal, Arnfinn J Andersen, Marianne Opaas, Fatumo Osman, Anna Sarkadi, Natalie Durbeej, Emma Soye, Kirsi Peltonen","doi":"10.1080/20008066.2025.2479924","DOIUrl":null,"url":null,"abstract":"<p><p><b>Background</b>: Immigrant and refugee adolescents often face traumatic experiences and are vulnerable to mental health problems, such as post-traumatic stress disorder (PTSD), anxiety and depression. Yet, they also show remarkable resilience in the face of these stressors. Research is still scarce on how both mental health problems and resilience dynamically interplay in immigrant and refugee adolescents' development.<b>Objective</b>: We aimed to identify latent profiles of immigrant and refugee adolescents' wellbeing, consisting of externalizing and internalizing symptoms, PTSD (intrusion and avoidance), and resilience, and analyse the demographic and contextual determinants of these profiles.<b>Method</b>: We employed cross-sectional survey data from the RefugeesWellSchool project for 1607 immigrant and refugee adolescents (mean age 15.3 years, SD 2.15, 42.3% girls) from six European countries: Belgium, Denmark, Finland, Norway, Sweden, and the United Kingdom. Latent profile analysis and three-step procedure with BCH weights were used to identify the wellbeing profiles and their determinants.<b>Results</b>: Results identified four adolescent wellbeing profiles: (1) Low symptoms (49.7%, <i>n</i> = 791); (2) High symptoms with intrusion (10.6%, <i>n</i> = 169); (3) Moderate symptoms (26.9%, <i>n</i> = 428); and (4) Resilient avoidant (12.8%, <i>n</i> = 203). Older participants, those with refugee background, shorter residence in the host country, more experiences of daily stressors or discrimination, or low family support were less likely to belong to the Low symptoms or Resilient avoidant groups (<i>p</i> ≤ .001).<b>Conclusions</b>: The profiles reflected distinct differentiation of intrusive and avoidance dimensions of the PTSD-symptoms. Intrusion clustered with high level of other mental health problems, whereas avoidance co-occurred with high resilience. Experiences related to immigration, stressors, and family support were crucial determinants of the wellbeing profile membership. Future interventions should utilize information obtained by person-centered studies to create better targeted and tailored support for immigrant and refugee adolescents.</p>","PeriodicalId":12055,"journal":{"name":"European Journal of Psychotraumatology","volume":"16 1","pages":"2479924"},"PeriodicalIF":4.1000,"publicationDate":"2025-12-01","publicationTypes":"Journal Article","fieldsOfStudy":null,"isOpenAccess":false,"openAccessPdf":"https://www.ncbi.nlm.nih.gov/pmc/articles/PMC11951332/pdf/","citationCount":"0","resultStr":"{\"title\":\"Patterns of mental health problems and resilience among immigrant and refugee adolescents: a latent profile analysis.\",\"authors\":\"Sanni Aalto, Raija-Leena Punamäki, Mervi Vänskä, Reeta Kankaanpää, Tiina Turunen, Oskari Lahtinen, Ilse Derluyn, Caroline Spaas, Lucia De Haene, Signe Smith Jervelund, Morten Skovdal, Arnfinn J Andersen, Marianne Opaas, Fatumo Osman, Anna Sarkadi, Natalie Durbeej, Emma Soye, Kirsi Peltonen\",\"doi\":\"10.1080/20008066.2025.2479924\",\"DOIUrl\":null,\"url\":null,\"abstract\":\"<p><p><b>Background</b>: Immigrant and refugee adolescents often face traumatic experiences and are vulnerable to mental health problems, such as post-traumatic stress disorder (PTSD), anxiety and depression. Yet, they also show remarkable resilience in the face of these stressors. Research is still scarce on how both mental health problems and resilience dynamically interplay in immigrant and refugee adolescents' development.<b>Objective</b>: We aimed to identify latent profiles of immigrant and refugee adolescents' wellbeing, consisting of externalizing and internalizing symptoms, PTSD (intrusion and avoidance), and resilience, and analyse the demographic and contextual determinants of these profiles.<b>Method</b>: We employed cross-sectional survey data from the RefugeesWellSchool project for 1607 immigrant and refugee adolescents (mean age 15.3 years, SD 2.15, 42.3% girls) from six European countries: Belgium, Denmark, Finland, Norway, Sweden, and the United Kingdom. Latent profile analysis and three-step procedure with BCH weights were used to identify the wellbeing profiles and their determinants.<b>Results</b>: Results identified four adolescent wellbeing profiles: (1) Low symptoms (49.7%, <i>n</i> = 791); (2) High symptoms with intrusion (10.6%, <i>n</i> = 169); (3) Moderate symptoms (26.9%, <i>n</i> = 428); and (4) Resilient avoidant (12.8%, <i>n</i> = 203). Older participants, those with refugee background, shorter residence in the host country, more experiences of daily stressors or discrimination, or low family support were less likely to belong to the Low symptoms or Resilient avoidant groups (<i>p</i> ≤ .001).<b>Conclusions</b>: The profiles reflected distinct differentiation of intrusive and avoidance dimensions of the PTSD-symptoms. Intrusion clustered with high level of other mental health problems, whereas avoidance co-occurred with high resilience. Experiences related to immigration, stressors, and family support were crucial determinants of the wellbeing profile membership. Future interventions should utilize information obtained by person-centered studies to create better targeted and tailored support for immigrant and refugee adolescents.</p>\",\"PeriodicalId\":12055,\"journal\":{\"name\":\"European Journal of Psychotraumatology\",\"volume\":\"16 1\",\"pages\":\"2479924\"},\"PeriodicalIF\":4.1000,\"publicationDate\":\"2025-12-01\",\"publicationTypes\":\"Journal Article\",\"fieldsOfStudy\":null,\"isOpenAccess\":false,\"openAccessPdf\":\"https://www.ncbi.nlm.nih.gov/pmc/articles/PMC11951332/pdf/\",\"citationCount\":\"0\",\"resultStr\":null,\"platform\":\"Semanticscholar\",\"paperid\":null,\"PeriodicalName\":\"European Journal of Psychotraumatology\",\"FirstCategoryId\":\"3\",\"ListUrlMain\":\"https://doi.org/10.1080/20008066.2025.2479924\",\"RegionNum\":2,\"RegionCategory\":\"医学\",\"ArticlePicture\":[],\"TitleCN\":null,\"AbstractTextCN\":null,\"PMCID\":null,\"EPubDate\":\"2025/3/27 0:00:00\",\"PubModel\":\"Epub\",\"JCR\":\"Q1\",\"JCRName\":\"PSYCHIATRY\",\"Score\":null,\"Total\":0}","platform":"Semanticscholar","paperid":null,"PeriodicalName":"European Journal of Psychotraumatology","FirstCategoryId":"3","ListUrlMain":"https://doi.org/10.1080/20008066.2025.2479924","RegionNum":2,"RegionCategory":"医学","ArticlePicture":[],"TitleCN":null,"AbstractTextCN":null,"PMCID":null,"EPubDate":"2025/3/27 0:00:00","PubModel":"Epub","JCR":"Q1","JCRName":"PSYCHIATRY","Score":null,"Total":0}
引用次数: 0

摘要

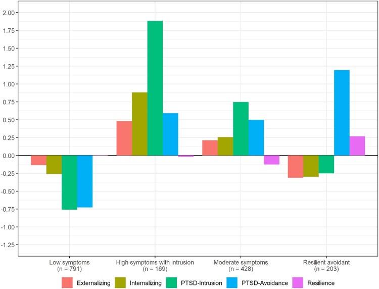
背景:移民和难民青少年经常面临创伤经历,容易受到创伤后应激障碍(PTSD)、焦虑和抑郁等心理健康问题的影响。然而,面对这些压力,他们也表现出了非凡的弹性。在移民和难民青少年的发展中,心理健康问题和弹性如何动态相互作用的研究仍然很少。目的:我们旨在确定移民和难民青少年健康的潜在特征,包括外化和内化症状、创伤后应激障碍(入侵和回避)和复原力,并分析这些特征的人口统计学和环境决定因素。方法:我们采用来自“难民健康学校”项目的横断面调查数据,对来自比利时、丹麦、芬兰、挪威、瑞典和英国六个欧洲国家的1607名移民和难民青少年(平均年龄15.3岁,标准差2.15,女孩占42.3%)进行调查。使用潜在剖面分析和三步程序与BCH权重来确定健康概况及其决定因素。结果:结果确定了四种青少年健康状况:(1)低症状(49.7%,n = 791);(2)高症状伴侵入(10.6%,n = 169);(3)中度症状(26.9%,n = 428);(4)弹性回避型(12.8%,n = 203)。年龄较大、有难民背景、在东道国居住时间较短、日常压力源或歧视经历较多或家庭支持较低的参与者不太可能属于低症状或弹性回避组(p≤0.001)。结论:创伤后应激障碍症状在侵入性维度和回避性维度上有明显的差异。入侵与其他高水平的心理健康问题聚集在一起,而回避与高弹性同时发生。与移民、压力源和家庭支持相关的经历是健康概况会员资格的关键决定因素。未来的干预措施应利用以人为中心的研究获得的信息,为移民和难民青少年提供更有针对性和量身定制的支持。
本文章由计算机程序翻译,如有差异,请以英文原文为准。

Patterns of mental health problems and resilience among immigrant and refugee adolescents: a latent profile analysis.

Patterns of mental health problems and resilience among immigrant and refugee adolescents: a latent profile analysis.

Patterns of mental health problems and resilience among immigrant and refugee adolescents: a latent profile analysis.

Patterns of mental health problems and resilience among immigrant and refugee adolescents: a latent profile analysis.

Background: Immigrant and refugee adolescents often face traumatic experiences and are vulnerable to mental health problems, such as post-traumatic stress disorder (PTSD), anxiety and depression. Yet, they also show remarkable resilience in the face of these stressors. Research is still scarce on how both mental health problems and resilience dynamically interplay in immigrant and refugee adolescents' development.Objective: We aimed to identify latent profiles of immigrant and refugee adolescents' wellbeing, consisting of externalizing and internalizing symptoms, PTSD (intrusion and avoidance), and resilience, and analyse the demographic and contextual determinants of these profiles.Method: We employed cross-sectional survey data from the RefugeesWellSchool project for 1607 immigrant and refugee adolescents (mean age 15.3 years, SD 2.15, 42.3% girls) from six European countries: Belgium, Denmark, Finland, Norway, Sweden, and the United Kingdom. Latent profile analysis and three-step procedure with BCH weights were used to identify the wellbeing profiles and their determinants.Results: Results identified four adolescent wellbeing profiles: (1) Low symptoms (49.7%, n = 791); (2) High symptoms with intrusion (10.6%, n = 169); (3) Moderate symptoms (26.9%, n = 428); and (4) Resilient avoidant (12.8%, n = 203). Older participants, those with refugee background, shorter residence in the host country, more experiences of daily stressors or discrimination, or low family support were less likely to belong to the Low symptoms or Resilient avoidant groups (p ≤ .001).Conclusions: The profiles reflected distinct differentiation of intrusive and avoidance dimensions of the PTSD-symptoms. Intrusion clustered with high level of other mental health problems, whereas avoidance co-occurred with high resilience. Experiences related to immigration, stressors, and family support were crucial determinants of the wellbeing profile membership. Future interventions should utilize information obtained by person-centered studies to create better targeted and tailored support for immigrant and refugee adolescents.

求助全文
通过发布文献求助,成功后即可免费获取论文全文。 去求助
来源期刊
CiteScore
7.60
自引率
12.00%
发文量
153
审稿时长
18 weeks
期刊介绍: The European Journal of Psychotraumatology (EJPT) is a peer-reviewed open access interdisciplinary journal owned by the European Society of Traumatic Stress Studies (ESTSS). The European Journal of Psychotraumatology (EJPT) aims to engage scholars, clinicians and researchers in the vital issues of how to understand, prevent and treat the consequences of stress and trauma, including but not limited to, posttraumatic stress disorder (PTSD), depressive disorders, substance abuse, burnout, and neurobiological or physical consequences, using the latest research or clinical experience in these areas. The journal shares ESTSS’ mission to advance and disseminate scientific knowledge about traumatic stress. Papers may address individual events, repeated or chronic (complex) trauma, large scale disasters, or violence. Being open access, the European Journal of Psychotraumatology is also evidence of ESTSS’ stand on free accessibility of research publications to a wider community via the web. The European Journal of Psychotraumatology seeks to attract contributions from academics and practitioners from diverse professional backgrounds, including, but not restricted to, those in mental health, social sciences, and health and welfare services. Contributions from outside Europe are welcome. The journal welcomes original basic and clinical research articles that consolidate and expand the theoretical and professional basis of the field of traumatic stress; Review articles including meta-analyses; short communications presenting new ideas or early-stage promising research; study protocols that describe proposed or ongoing research; case reports examining a single individual or event in a real‑life context; clinical practice papers sharing experience from the clinic; letters to the Editor debating articles already published in the Journal; inaugural Lectures; conference abstracts and book reviews. Both quantitative and qualitative research is welcome.
×
引用
GB/T 7714-2015
复制
MLA
复制
APA
复制
导出至
BibTeX EndNote RefMan NoteFirst NoteExpress
×
提示
您的信息不完整,为了账户安全,请先补充。
现在去补充
×
提示
您因"违规操作"
具体请查看互助需知
我知道了
×
提示
确定
请完成安全验证×
copy
已复制链接
快去分享给好友吧!
我知道了
右上角分享
点击右上角分享
0
联系我们:info@booksci.cn Book学术提供免费学术资源搜索服务,方便国内外学者检索中英文文献。致力于提供最便捷和优质的服务体验。 Copyright © 2023 布克学术 All rights reserved.
京ICP备2023020795号-1
ghs 京公网安备 11010802042870号
Book学术文献互助
Book学术文献互助群
群 号:604180095
Book学术官方微信