红细胞分布宽度预测川崎病冠状动脉病变:来自日本队列的见解

IF 2.3 3区 医学 Q1 PEDIATRICS
Yamato Hanawa, Wataru Murasaki, Hiroyuki Namba, Kimihiko Oishi
{"title":"红细胞分布宽度预测川崎病冠状动脉病变:来自日本队列的见解","authors":"Yamato Hanawa, Wataru Murasaki, Hiroyuki Namba, Kimihiko Oishi","doi":"10.1186/s12969-025-01083-6","DOIUrl":null,"url":null,"abstract":"<p><strong>Background: </strong>Kawasaki disease (KD) is an acute vasculitis that causes coronary artery lesions. This study aimed to identify risk factors for the early prediction of coronary artery disease (CAD) in KD.</p><p><strong>Methods: </strong>We conducted a retrospective analysis of 175 Japanese children diagnosed with KD between January 2019 and March 2024. Univariate and multivariate logistic regression analyses were performed to identify predictors of CAD, and the diagnostic performance of various indicators was assessed using receiver operating characteristic (ROC) curves. The correlations between red blood cell distribution width (RDW) and iron-related anemia biomarkers were also evaluated.</p><p><strong>Results: </strong>Of these, 77 with CAD were classified into the CAD group, while 98 without CAD were categorized as the non-CAD group. Patients in the CAD group were younger and had lower levels of hemoglobin (Hb), total protein, albumin, uric acid, and urea nitrogen, but a higher RDW coefficient of variation (RDW-CV) than the non-CAD group. Logistic regression analysis identified RDW-CV as an independent predictor of CAD. ROC curve analysis demonstrated moderate predictive performance for RDW-CV, with an area under the curve of 0.636 (sensitivity, 55.8%; specificity, 70.4%). Significant correlations were observed between RDW-CV and iron-related anemia biomarkers in the CAD group, but not in the non-CAD group.</p><p><strong>Conclusions: </strong>Iron dysregulation may be associated with CAD, and RDW-CV may aid in identifying patients who may develop CAD in KD. Our findings were consistent with previous studies in other Asian populations, supporting the utility of RDW-CV as a predictor of CAD in KD in populations with various ethnic backgrounds.</p>","PeriodicalId":54630,"journal":{"name":"Pediatric Rheumatology","volume":"23 1","pages":"31"},"PeriodicalIF":2.3000,"publicationDate":"2025-03-25","publicationTypes":"Journal Article","fieldsOfStudy":null,"isOpenAccess":false,"openAccessPdf":"https://www.ncbi.nlm.nih.gov/pmc/articles/PMC11934559/pdf/","citationCount":"0","resultStr":"{\"title\":\"Red blood cell distribution width predicts coronary artery lesions in Kawasaki disease: insights from a Japanese cohort.\",\"authors\":\"Yamato Hanawa, Wataru Murasaki, Hiroyuki Namba, Kimihiko Oishi\",\"doi\":\"10.1186/s12969-025-01083-6\",\"DOIUrl\":null,\"url\":null,\"abstract\":\"<p><strong>Background: </strong>Kawasaki disease (KD) is an acute vasculitis that causes coronary artery lesions. This study aimed to identify risk factors for the early prediction of coronary artery disease (CAD) in KD.</p><p><strong>Methods: </strong>We conducted a retrospective analysis of 175 Japanese children diagnosed with KD between January 2019 and March 2024. Univariate and multivariate logistic regression analyses were performed to identify predictors of CAD, and the diagnostic performance of various indicators was assessed using receiver operating characteristic (ROC) curves. The correlations between red blood cell distribution width (RDW) and iron-related anemia biomarkers were also evaluated.</p><p><strong>Results: </strong>Of these, 77 with CAD were classified into the CAD group, while 98 without CAD were categorized as the non-CAD group. Patients in the CAD group were younger and had lower levels of hemoglobin (Hb), total protein, albumin, uric acid, and urea nitrogen, but a higher RDW coefficient of variation (RDW-CV) than the non-CAD group. Logistic regression analysis identified RDW-CV as an independent predictor of CAD. ROC curve analysis demonstrated moderate predictive performance for RDW-CV, with an area under the curve of 0.636 (sensitivity, 55.8%; specificity, 70.4%). Significant correlations were observed between RDW-CV and iron-related anemia biomarkers in the CAD group, but not in the non-CAD group.</p><p><strong>Conclusions: </strong>Iron dysregulation may be associated with CAD, and RDW-CV may aid in identifying patients who may develop CAD in KD. Our findings were consistent with previous studies in other Asian populations, supporting the utility of RDW-CV as a predictor of CAD in KD in populations with various ethnic backgrounds.</p>\",\"PeriodicalId\":54630,\"journal\":{\"name\":\"Pediatric Rheumatology\",\"volume\":\"23 1\",\"pages\":\"31\"},\"PeriodicalIF\":2.3000,\"publicationDate\":\"2025-03-25\",\"publicationTypes\":\"Journal Article\",\"fieldsOfStudy\":null,\"isOpenAccess\":false,\"openAccessPdf\":\"https://www.ncbi.nlm.nih.gov/pmc/articles/PMC11934559/pdf/\",\"citationCount\":\"0\",\"resultStr\":null,\"platform\":\"Semanticscholar\",\"paperid\":null,\"PeriodicalName\":\"Pediatric Rheumatology\",\"FirstCategoryId\":\"3\",\"ListUrlMain\":\"https://doi.org/10.1186/s12969-025-01083-6\",\"RegionNum\":3,\"RegionCategory\":\"医学\",\"ArticlePicture\":[],\"TitleCN\":null,\"AbstractTextCN\":null,\"PMCID\":null,\"EPubDate\":\"\",\"PubModel\":\"\",\"JCR\":\"Q1\",\"JCRName\":\"PEDIATRICS\",\"Score\":null,\"Total\":0}","platform":"Semanticscholar","paperid":null,"PeriodicalName":"Pediatric Rheumatology","FirstCategoryId":"3","ListUrlMain":"https://doi.org/10.1186/s12969-025-01083-6","RegionNum":3,"RegionCategory":"医学","ArticlePicture":[],"TitleCN":null,"AbstractTextCN":null,"PMCID":null,"EPubDate":"","PubModel":"","JCR":"Q1","JCRName":"PEDIATRICS","Score":null,"Total":0}
引用次数: 0

摘要

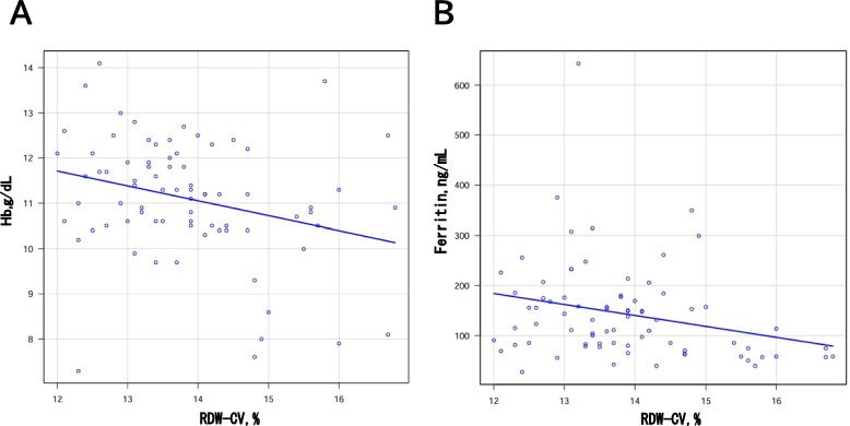
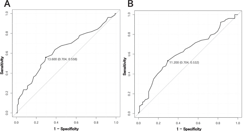
背景:川崎病(Kawasaki disease, KD)是一种引起冠状动脉病变的急性血管炎。本研究旨在确定早期预测KD患者冠状动脉疾病(CAD)的危险因素。方法:我们对2019年1月至2024年3月期间诊断为KD的175名日本儿童进行了回顾性分析。进行单因素和多因素logistic回归分析,以确定CAD的预测因素,并使用受试者工作特征(ROC)曲线评估各种指标的诊断性能。红细胞分布宽度(RDW)与铁相关贫血生物标志物之间的相关性也进行了评估。结果:其中有CAD者77例为CAD组,无CAD者98例为非CAD组。CAD组患者较年轻,血红蛋白(Hb)、总蛋白、白蛋白、尿酸和尿素氮水平较低,但RDW变异系数(RDW- cv)高于非CAD组。Logistic回归分析证实RDW-CV是CAD的独立预测因子。ROC曲线分析显示,RDW-CV的预测效果中等,曲线下面积为0.636(敏感性为55.8%;特异性,70.4%)。在CAD组中观察到RDW-CV与铁相关贫血生物标志物之间存在显著相关性,但在非CAD组中没有。结论:铁调节失调可能与冠心病有关,RDW-CV可能有助于识别可能发展为冠心病的KD患者。我们的研究结果与之前在其他亚洲人群中的研究一致,支持RDW-CV在不同种族背景人群中作为KD患者CAD预测因子的效用。
本文章由计算机程序翻译,如有差异,请以英文原文为准。

Red blood cell distribution width predicts coronary artery lesions in Kawasaki disease: insights from a Japanese cohort.

Red blood cell distribution width predicts coronary artery lesions in Kawasaki disease: insights from a Japanese cohort.

Red blood cell distribution width predicts coronary artery lesions in Kawasaki disease: insights from a Japanese cohort.

Red blood cell distribution width predicts coronary artery lesions in Kawasaki disease: insights from a Japanese cohort.

Background: Kawasaki disease (KD) is an acute vasculitis that causes coronary artery lesions. This study aimed to identify risk factors for the early prediction of coronary artery disease (CAD) in KD.

Methods: We conducted a retrospective analysis of 175 Japanese children diagnosed with KD between January 2019 and March 2024. Univariate and multivariate logistic regression analyses were performed to identify predictors of CAD, and the diagnostic performance of various indicators was assessed using receiver operating characteristic (ROC) curves. The correlations between red blood cell distribution width (RDW) and iron-related anemia biomarkers were also evaluated.

Results: Of these, 77 with CAD were classified into the CAD group, while 98 without CAD were categorized as the non-CAD group. Patients in the CAD group were younger and had lower levels of hemoglobin (Hb), total protein, albumin, uric acid, and urea nitrogen, but a higher RDW coefficient of variation (RDW-CV) than the non-CAD group. Logistic regression analysis identified RDW-CV as an independent predictor of CAD. ROC curve analysis demonstrated moderate predictive performance for RDW-CV, with an area under the curve of 0.636 (sensitivity, 55.8%; specificity, 70.4%). Significant correlations were observed between RDW-CV and iron-related anemia biomarkers in the CAD group, but not in the non-CAD group.

Conclusions: Iron dysregulation may be associated with CAD, and RDW-CV may aid in identifying patients who may develop CAD in KD. Our findings were consistent with previous studies in other Asian populations, supporting the utility of RDW-CV as a predictor of CAD in KD in populations with various ethnic backgrounds.

求助全文
通过发布文献求助,成功后即可免费获取论文全文。 去求助
来源期刊
Pediatric Rheumatology
Pediatric Rheumatology PEDIATRICS-RHEUMATOLOGY
CiteScore
4.10
自引率
8.00%
发文量
95
审稿时长
>12 weeks
期刊介绍: Pediatric Rheumatology is an open access, peer-reviewed, online journal encompassing all aspects of clinical and basic research related to pediatric rheumatology and allied subjects. The journal’s scope of diseases and syndromes include musculoskeletal pain syndromes, rheumatic fever and post-streptococcal syndromes, juvenile idiopathic arthritis, systemic lupus erythematosus, juvenile dermatomyositis, local and systemic scleroderma, Kawasaki disease, Henoch-Schonlein purpura and other vasculitides, sarcoidosis, inherited musculoskeletal syndromes, autoinflammatory syndromes, and others.
×
引用
GB/T 7714-2015
复制
MLA
复制
APA
复制
导出至
BibTeX EndNote RefMan NoteFirst NoteExpress
×
提示
您的信息不完整,为了账户安全,请先补充。
现在去补充
×
提示
您因"违规操作"
具体请查看互助需知
我知道了
×
提示
确定
请完成安全验证×
copy
已复制链接
快去分享给好友吧!
我知道了
右上角分享
点击右上角分享
0
联系我们:info@booksci.cn Book学术提供免费学术资源搜索服务,方便国内外学者检索中英文文献。致力于提供最便捷和优质的服务体验。 Copyright © 2023 布克学术 All rights reserved.
京ICP备2023020795号-1
ghs 京公网安备 11010802042870号
Book学术文献互助
Book学术文献互助群
群 号:604180095
Book学术官方微信