蛛网膜下腔出血后中央室和全身室不同的细胞因子反应。

IF 4.3 2区 医学 Q1 CLINICAL NEUROLOGY
Translational Stroke Research Pub Date : 2025-10-01 Epub Date: 2025-03-25 DOI:10.1007/s12975-025-01348-y
Soham Bandyopadhyay, Ben Gaastra, Ardalan Zolnourian, Patrick Garland, Chieh-Hsi Wu, Ian Galea, Diederik Bulters
{"title":"蛛网膜下腔出血后中央室和全身室不同的细胞因子反应。","authors":"Soham Bandyopadhyay, Ben Gaastra, Ardalan Zolnourian, Patrick Garland, Chieh-Hsi Wu, Ian Galea, Diederik Bulters","doi":"10.1007/s12975-025-01348-y","DOIUrl":null,"url":null,"abstract":"<p><strong>Introduction: </strong>Neuroinflammation may contribute to outcomes following subarachnoid haemorrhage (SAH). Human cerebrospinal fluid (CSF) cytokine data is limited and its relationship with systemic inflammation is unknown. This study compares the inflammatory responses in CSF and plasma compartments, and their associations with outcome.</p><p><strong>Methods: </strong>Ten cytokines were measured in CSF and plasma from 98 SAH patients and 18 control patients. Outcome was assessed with the modified Rankin scale (mRS) and Subarachnoid Haemorrhage Outcome Tool (SAHOT) at days 7, 28, 90 and 180. Regression analyses and principal component analysis (PCA) were performed.</p><p><strong>Results: </strong>Median levels of all CSF cytokines and plasma IL-6 were higher in SAH patients than controls (p < 0.001). Plasma IL-6 peaked earlier (3 days after SAH) than CSF cytokines (7-9 days after SAH). On day 7, CSF levels were greater than plasma levels for all cytokines (p < 0.001). There was no correlation between individual cytokines in the plasma and CSF. Only plasma IL-6 levels correlated with long-term outcome (mRS (p = 0.009) and SAHOT (p = 0.007) at day 180), accounting for WFNS and blood volume. Seven principal components of cytokines had an eigenvalue greater than 1. Only the first plasma principal component (dominated by IL-6, IL-8, IL-12, IL-13, and TNF-α) was associated with outcomes (p < 0.05). Mediation analysis suggested the effects of WFNS and blood volume on outcome were not mediated by IL-6 or this principal component.</p><p><strong>Conclusion: </strong>SAH provokes an inflammatory response in CSF and plasma. The response pattern is different and distinct in each compartment. Each compartment's relationship with outcomes differ, suggesting separate roles in SAH pathophysiology. Plasma IL-6 is independently associated with outcomes.</p>","PeriodicalId":23237,"journal":{"name":"Translational Stroke Research","volume":" ","pages":"1766-1782"},"PeriodicalIF":4.3000,"publicationDate":"2025-10-01","publicationTypes":"Journal Article","fieldsOfStudy":null,"isOpenAccess":false,"openAccessPdf":"https://www.ncbi.nlm.nih.gov/pmc/articles/PMC12391180/pdf/","citationCount":"0","resultStr":"{\"title\":\"Distinct Cytokine Responses in Central and Systemic Compartments after Subarachnoid Haemorrhage.\",\"authors\":\"Soham Bandyopadhyay, Ben Gaastra, Ardalan Zolnourian, Patrick Garland, Chieh-Hsi Wu, Ian Galea, Diederik Bulters\",\"doi\":\"10.1007/s12975-025-01348-y\",\"DOIUrl\":null,\"url\":null,\"abstract\":\"<p><strong>Introduction: </strong>Neuroinflammation may contribute to outcomes following subarachnoid haemorrhage (SAH). Human cerebrospinal fluid (CSF) cytokine data is limited and its relationship with systemic inflammation is unknown. This study compares the inflammatory responses in CSF and plasma compartments, and their associations with outcome.</p><p><strong>Methods: </strong>Ten cytokines were measured in CSF and plasma from 98 SAH patients and 18 control patients. Outcome was assessed with the modified Rankin scale (mRS) and Subarachnoid Haemorrhage Outcome Tool (SAHOT) at days 7, 28, 90 and 180. Regression analyses and principal component analysis (PCA) were performed.</p><p><strong>Results: </strong>Median levels of all CSF cytokines and plasma IL-6 were higher in SAH patients than controls (p < 0.001). Plasma IL-6 peaked earlier (3 days after SAH) than CSF cytokines (7-9 days after SAH). On day 7, CSF levels were greater than plasma levels for all cytokines (p < 0.001). There was no correlation between individual cytokines in the plasma and CSF. Only plasma IL-6 levels correlated with long-term outcome (mRS (p = 0.009) and SAHOT (p = 0.007) at day 180), accounting for WFNS and blood volume. Seven principal components of cytokines had an eigenvalue greater than 1. Only the first plasma principal component (dominated by IL-6, IL-8, IL-12, IL-13, and TNF-α) was associated with outcomes (p < 0.05). Mediation analysis suggested the effects of WFNS and blood volume on outcome were not mediated by IL-6 or this principal component.</p><p><strong>Conclusion: </strong>SAH provokes an inflammatory response in CSF and plasma. The response pattern is different and distinct in each compartment. Each compartment's relationship with outcomes differ, suggesting separate roles in SAH pathophysiology. Plasma IL-6 is independently associated with outcomes.</p>\",\"PeriodicalId\":23237,\"journal\":{\"name\":\"Translational Stroke Research\",\"volume\":\" \",\"pages\":\"1766-1782\"},\"PeriodicalIF\":4.3000,\"publicationDate\":\"2025-10-01\",\"publicationTypes\":\"Journal Article\",\"fieldsOfStudy\":null,\"isOpenAccess\":false,\"openAccessPdf\":\"https://www.ncbi.nlm.nih.gov/pmc/articles/PMC12391180/pdf/\",\"citationCount\":\"0\",\"resultStr\":null,\"platform\":\"Semanticscholar\",\"paperid\":null,\"PeriodicalName\":\"Translational Stroke Research\",\"FirstCategoryId\":\"3\",\"ListUrlMain\":\"https://doi.org/10.1007/s12975-025-01348-y\",\"RegionNum\":2,\"RegionCategory\":\"医学\",\"ArticlePicture\":[],\"TitleCN\":null,\"AbstractTextCN\":null,\"PMCID\":null,\"EPubDate\":\"2025/3/25 0:00:00\",\"PubModel\":\"Epub\",\"JCR\":\"Q1\",\"JCRName\":\"CLINICAL NEUROLOGY\",\"Score\":null,\"Total\":0}","platform":"Semanticscholar","paperid":null,"PeriodicalName":"Translational Stroke Research","FirstCategoryId":"3","ListUrlMain":"https://doi.org/10.1007/s12975-025-01348-y","RegionNum":2,"RegionCategory":"医学","ArticlePicture":[],"TitleCN":null,"AbstractTextCN":null,"PMCID":null,"EPubDate":"2025/3/25 0:00:00","PubModel":"Epub","JCR":"Q1","JCRName":"CLINICAL NEUROLOGY","Score":null,"Total":0}
引用次数: 0

摘要

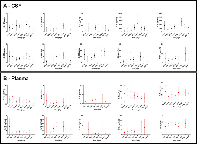
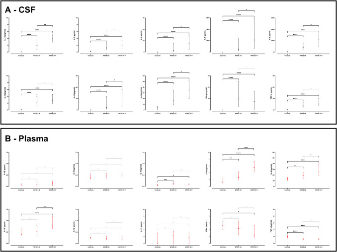
神经炎症可能影响蛛网膜下腔出血(SAH)后的预后。人脑脊液(CSF)细胞因子数据有限,其与全身性炎症的关系尚不清楚。本研究比较了脑脊液和血浆室的炎症反应及其与预后的关系。方法:对98例SAH患者和18例对照患者的脑脊液和血浆中10种细胞因子进行测定。在第7天、第28天、第90天和第180天,采用改进的Rankin量表(mRS)和蛛网膜下腔出血结局工具(SAHOT)评估结果。进行回归分析和主成分分析(PCA)。结果:SAH患者所有脑脊液细胞因子和血浆IL-6的中位水平均高于对照组(p结论:SAH可引起脑脊液和血浆的炎症反应。每个隔室的反应模式不同且明显。每个隔室与预后的关系不同,表明在SAH病理生理中有不同的作用。血浆IL-6与预后独立相关。
本文章由计算机程序翻译,如有差异,请以英文原文为准。

Distinct Cytokine Responses in Central and Systemic Compartments after Subarachnoid Haemorrhage.

Distinct Cytokine Responses in Central and Systemic Compartments after Subarachnoid Haemorrhage.

Distinct Cytokine Responses in Central and Systemic Compartments after Subarachnoid Haemorrhage.

Distinct Cytokine Responses in Central and Systemic Compartments after Subarachnoid Haemorrhage.

Introduction: Neuroinflammation may contribute to outcomes following subarachnoid haemorrhage (SAH). Human cerebrospinal fluid (CSF) cytokine data is limited and its relationship with systemic inflammation is unknown. This study compares the inflammatory responses in CSF and plasma compartments, and their associations with outcome.

Methods: Ten cytokines were measured in CSF and plasma from 98 SAH patients and 18 control patients. Outcome was assessed with the modified Rankin scale (mRS) and Subarachnoid Haemorrhage Outcome Tool (SAHOT) at days 7, 28, 90 and 180. Regression analyses and principal component analysis (PCA) were performed.

Results: Median levels of all CSF cytokines and plasma IL-6 were higher in SAH patients than controls (p < 0.001). Plasma IL-6 peaked earlier (3 days after SAH) than CSF cytokines (7-9 days after SAH). On day 7, CSF levels were greater than plasma levels for all cytokines (p < 0.001). There was no correlation between individual cytokines in the plasma and CSF. Only plasma IL-6 levels correlated with long-term outcome (mRS (p = 0.009) and SAHOT (p = 0.007) at day 180), accounting for WFNS and blood volume. Seven principal components of cytokines had an eigenvalue greater than 1. Only the first plasma principal component (dominated by IL-6, IL-8, IL-12, IL-13, and TNF-α) was associated with outcomes (p < 0.05). Mediation analysis suggested the effects of WFNS and blood volume on outcome were not mediated by IL-6 or this principal component.

Conclusion: SAH provokes an inflammatory response in CSF and plasma. The response pattern is different and distinct in each compartment. Each compartment's relationship with outcomes differ, suggesting separate roles in SAH pathophysiology. Plasma IL-6 is independently associated with outcomes.

求助全文
通过发布文献求助,成功后即可免费获取论文全文。 去求助
来源期刊
Translational Stroke Research
Translational Stroke Research CLINICAL NEUROLOGY-NEUROSCIENCES
CiteScore
13.80
自引率
4.30%
发文量
130
审稿时长
6-12 weeks
期刊介绍: Translational Stroke Research covers basic, translational, and clinical studies. The Journal emphasizes novel approaches to help both to understand clinical phenomenon through basic science tools, and to translate basic science discoveries into the development of new strategies for the prevention, assessment, treatment, and enhancement of central nervous system repair after stroke and other forms of neurotrauma. Translational Stroke Research focuses on translational research and is relevant to both basic scientists and physicians, including but not restricted to neuroscientists, vascular biologists, neurologists, neuroimagers, and neurosurgeons.
×
引用
GB/T 7714-2015
复制
MLA
复制
APA
复制
导出至
BibTeX EndNote RefMan NoteFirst NoteExpress
×
提示
您的信息不完整,为了账户安全,请先补充。
现在去补充
×
提示
您因"违规操作"
具体请查看互助需知
我知道了
×
提示
确定
请完成安全验证×
copy
已复制链接
快去分享给好友吧!
我知道了
右上角分享
点击右上角分享
0
联系我们:info@booksci.cn Book学术提供免费学术资源搜索服务,方便国内外学者检索中英文文献。致力于提供最便捷和优质的服务体验。 Copyright © 2023 布克学术 All rights reserved.
京ICP备2023020795号-1
ghs 京公网安备 11010802042870号
Book学术文献互助
Book学术文献互助群
群 号:604180095
Book学术官方微信