结合术前营养状况及临床因素应用nomogram预测食管胃吻合口漏:775例回顾性研究

IF 2.1 3区 医学 Q2 ANESTHESIOLOGY
Jiang-Shan Huang, Li-Tao Yang, Jia-Fu Zhu, Qi-Hong Zhong, Fei-Long Guo, Zhen-Yang Zhang, Jiang-Bo Lin
{"title":"结合术前营养状况及临床因素应用nomogram预测食管胃吻合口漏:775例回顾性研究","authors":"Jiang-Shan Huang, Li-Tao Yang, Jia-Fu Zhu, Qi-Hong Zhong, Fei-Long Guo, Zhen-Yang Zhang, Jiang-Bo Lin","doi":"10.1186/s13741-024-00487-4","DOIUrl":null,"url":null,"abstract":"<p><strong>Aim: </strong>The purpose was to explore the independent risk factors for esophagogastric anastomotic leakage (EGAL) and establish a nomogram.</p><p><strong>Methods: </strong>Patients who underwent esophagectomy were enrolled and randomly divided into a training cohort and a validation cohort at a ratio of 7:3. The differences between the two groups of factors were analyzed by difference analysis, and multivariate regression analysis was subsequently performed. A nomogram was established, and the feasibility of the nomogram was verified by analyzing the discrimination, calibration, and decision curves.</p><p><strong>Results: </strong>A total of 775 patients were enrolled, including 532 in the training cohort and 223 in the validation cohort. Multivariate regression analysis revealed that age, smoking history, drinking history, nutritional indicators, and anastomotic location were independent risk factors. In terms of discrimination, in the training group, the area under the curve was 0.757 (P = 0.025). In the calibration curve, the curves and fitting lines before and after correction in the training group and the validation group were basically the same. The results of the Hosmer-Lemeshow test showed that the chi-square value of the training cohort was 5.48 (P = 0.791). In the decision curve analysis of the training set, when the threshold probability was in the range of 5-63%, the net benefit of patients was greater than that of the two extreme curves.</p><p><strong>Conclusion: </strong>Preoperative malnutrition is an independent risk factor for EGAL. A diagnostic model, developed on age, anastomotic location, smoking status, and drinking history, was a reliable noninvasive tool to timely predict the occurrence of AL.</p>","PeriodicalId":19764,"journal":{"name":"Perioperative Medicine","volume":"14 1","pages":"36"},"PeriodicalIF":2.1000,"publicationDate":"2025-03-25","publicationTypes":"Journal Article","fieldsOfStudy":null,"isOpenAccess":false,"openAccessPdf":"https://www.ncbi.nlm.nih.gov/pmc/articles/PMC11934493/pdf/","citationCount":"0","resultStr":"{\"title\":\"Prediction of esophagogastric anastomotic leakage by nomogram combined with preoperative nutritional status and clinical factors: a retrospective study of 775 patients.\",\"authors\":\"Jiang-Shan Huang, Li-Tao Yang, Jia-Fu Zhu, Qi-Hong Zhong, Fei-Long Guo, Zhen-Yang Zhang, Jiang-Bo Lin\",\"doi\":\"10.1186/s13741-024-00487-4\",\"DOIUrl\":null,\"url\":null,\"abstract\":\"<p><strong>Aim: </strong>The purpose was to explore the independent risk factors for esophagogastric anastomotic leakage (EGAL) and establish a nomogram.</p><p><strong>Methods: </strong>Patients who underwent esophagectomy were enrolled and randomly divided into a training cohort and a validation cohort at a ratio of 7:3. The differences between the two groups of factors were analyzed by difference analysis, and multivariate regression analysis was subsequently performed. A nomogram was established, and the feasibility of the nomogram was verified by analyzing the discrimination, calibration, and decision curves.</p><p><strong>Results: </strong>A total of 775 patients were enrolled, including 532 in the training cohort and 223 in the validation cohort. Multivariate regression analysis revealed that age, smoking history, drinking history, nutritional indicators, and anastomotic location were independent risk factors. In terms of discrimination, in the training group, the area under the curve was 0.757 (P = 0.025). In the calibration curve, the curves and fitting lines before and after correction in the training group and the validation group were basically the same. The results of the Hosmer-Lemeshow test showed that the chi-square value of the training cohort was 5.48 (P = 0.791). In the decision curve analysis of the training set, when the threshold probability was in the range of 5-63%, the net benefit of patients was greater than that of the two extreme curves.</p><p><strong>Conclusion: </strong>Preoperative malnutrition is an independent risk factor for EGAL. A diagnostic model, developed on age, anastomotic location, smoking status, and drinking history, was a reliable noninvasive tool to timely predict the occurrence of AL.</p>\",\"PeriodicalId\":19764,\"journal\":{\"name\":\"Perioperative Medicine\",\"volume\":\"14 1\",\"pages\":\"36\"},\"PeriodicalIF\":2.1000,\"publicationDate\":\"2025-03-25\",\"publicationTypes\":\"Journal Article\",\"fieldsOfStudy\":null,\"isOpenAccess\":false,\"openAccessPdf\":\"https://www.ncbi.nlm.nih.gov/pmc/articles/PMC11934493/pdf/\",\"citationCount\":\"0\",\"resultStr\":null,\"platform\":\"Semanticscholar\",\"paperid\":null,\"PeriodicalName\":\"Perioperative Medicine\",\"FirstCategoryId\":\"3\",\"ListUrlMain\":\"https://doi.org/10.1186/s13741-024-00487-4\",\"RegionNum\":3,\"RegionCategory\":\"医学\",\"ArticlePicture\":[],\"TitleCN\":null,\"AbstractTextCN\":null,\"PMCID\":null,\"EPubDate\":\"\",\"PubModel\":\"\",\"JCR\":\"Q2\",\"JCRName\":\"ANESTHESIOLOGY\",\"Score\":null,\"Total\":0}","platform":"Semanticscholar","paperid":null,"PeriodicalName":"Perioperative Medicine","FirstCategoryId":"3","ListUrlMain":"https://doi.org/10.1186/s13741-024-00487-4","RegionNum":3,"RegionCategory":"医学","ArticlePicture":[],"TitleCN":null,"AbstractTextCN":null,"PMCID":null,"EPubDate":"","PubModel":"","JCR":"Q2","JCRName":"ANESTHESIOLOGY","Score":null,"Total":0}
引用次数: 0

摘要

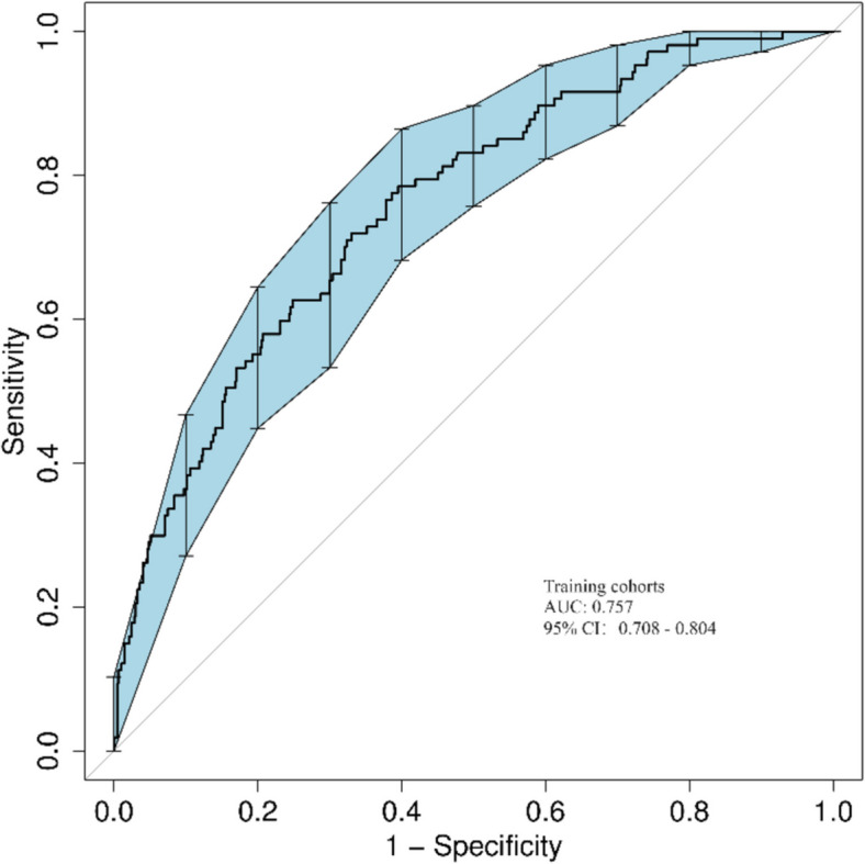
目的:探讨食管胃吻合口瘘的独立危险因素,建立食管胃吻合口瘘图。方法:纳入食管切除术患者,按7:3的比例随机分为训练组和验证组。采用差异分析分析两组因素之间的差异,并进行多因素回归分析。通过对判别曲线、标定曲线和决策曲线的分析,验证了该图的可行性。结果:共纳入775例患者,其中训练组532例,验证组223例。多因素回归分析显示,年龄、吸烟史、饮酒史、营养指标、吻合口位置是独立危险因素。在判别性方面,训练组曲线下面积为0.757 (P = 0.025)。在校正曲线中,训练组和验证组校正前后的曲线和拟合线基本相同。Hosmer-Lemeshow检验结果显示,训练队列的卡方值为5.48 (P = 0.791)。在训练集的决策曲线分析中,当阈值概率在5-63%范围内时,患者的净收益大于两个极值曲线。结论:术前营养不良是EGAL发生的独立危险因素。基于年龄、吻合口位置、吸烟状况和饮酒史建立的诊断模型是一种可靠的无创工具,可及时预测AL的发生。
本文章由计算机程序翻译,如有差异,请以英文原文为准。

Prediction of esophagogastric anastomotic leakage by nomogram combined with preoperative nutritional status and clinical factors: a retrospective study of 775 patients.

Prediction of esophagogastric anastomotic leakage by nomogram combined with preoperative nutritional status and clinical factors: a retrospective study of 775 patients.

Prediction of esophagogastric anastomotic leakage by nomogram combined with preoperative nutritional status and clinical factors: a retrospective study of 775 patients.

Prediction of esophagogastric anastomotic leakage by nomogram combined with preoperative nutritional status and clinical factors: a retrospective study of 775 patients.

Aim: The purpose was to explore the independent risk factors for esophagogastric anastomotic leakage (EGAL) and establish a nomogram.

Methods: Patients who underwent esophagectomy were enrolled and randomly divided into a training cohort and a validation cohort at a ratio of 7:3. The differences between the two groups of factors were analyzed by difference analysis, and multivariate regression analysis was subsequently performed. A nomogram was established, and the feasibility of the nomogram was verified by analyzing the discrimination, calibration, and decision curves.

Results: A total of 775 patients were enrolled, including 532 in the training cohort and 223 in the validation cohort. Multivariate regression analysis revealed that age, smoking history, drinking history, nutritional indicators, and anastomotic location were independent risk factors. In terms of discrimination, in the training group, the area under the curve was 0.757 (P = 0.025). In the calibration curve, the curves and fitting lines before and after correction in the training group and the validation group were basically the same. The results of the Hosmer-Lemeshow test showed that the chi-square value of the training cohort was 5.48 (P = 0.791). In the decision curve analysis of the training set, when the threshold probability was in the range of 5-63%, the net benefit of patients was greater than that of the two extreme curves.

Conclusion: Preoperative malnutrition is an independent risk factor for EGAL. A diagnostic model, developed on age, anastomotic location, smoking status, and drinking history, was a reliable noninvasive tool to timely predict the occurrence of AL.

求助全文
通过发布文献求助,成功后即可免费获取论文全文。 去求助
来源期刊
自引率
3.80%
发文量
55
审稿时长
10 weeks
×
引用
GB/T 7714-2015
复制
MLA
复制
APA
复制
导出至
BibTeX EndNote RefMan NoteFirst NoteExpress
×
提示
您的信息不完整,为了账户安全,请先补充。
现在去补充
×
提示
您因"违规操作"
具体请查看互助需知
我知道了
×
提示
确定
请完成安全验证×
copy
已复制链接
快去分享给好友吧!
我知道了
右上角分享
点击右上角分享
0
联系我们:info@booksci.cn Book学术提供免费学术资源搜索服务,方便国内外学者检索中英文文献。致力于提供最便捷和优质的服务体验。 Copyright © 2023 布克学术 All rights reserved.
京ICP备2023020795号-1
ghs 京公网安备 11010802042870号
Book学术文献互助
Book学术文献互助群
群 号:604180095
Book学术官方微信