实验性CPP-ACP和含氟牙膏对牛牙釉质脱矿的预防作用

IF 2.2 Q2 DENTISTRY, ORAL SURGERY & MEDICINE
International Journal of Dentistry Pub Date : 2025-03-18 eCollection Date: 2025-01-01 DOI:10.1155/ijod/5598592
Zahra Moslehitabar, Hossein Bagheri, Abdolrasoul Rangrazi, Ali Faramarzi Garmroodi, Aliakbar Hodjatpanah Montazeri
{"title":"实验性CPP-ACP和含氟牙膏对牛牙釉质脱矿的预防作用","authors":"Zahra Moslehitabar, Hossein Bagheri, Abdolrasoul Rangrazi, Ali Faramarzi Garmroodi, Aliakbar Hodjatpanah Montazeri","doi":"10.1155/ijod/5598592","DOIUrl":null,"url":null,"abstract":"<p><p><b>Objective:</b> This study evaluated the effects of adding casein phosphopeptide-amorphous calcium phosphate (CPP-ACP), with and without fluoride, to a laboratory toothpaste on the inhibition of enamel demineralization under pH cycling conditions. <b>Methods and Materials:</b> A total of 44 enamel blocks were prepared. Samples were randomly divided into four groups: Group 1-Basic laboratory toothpaste as control; Group 2-Laboratory toothpaste containing 1100 ppm sodium fluoride; Group 3-Laboratory toothpaste containing 1% w/w CPP-ACPF; Group 4-Laboratory toothpaste containing 1% w/w CPP-ACP. Half of each enamel block was coated with nail varnish (sound area), and the other half was subjected to pH cycling for 10 days. During this period, the samples were immersed in a demineralization solution for three separate periods of 1 h each (3 h in total). In the remaining intervals, they were immersed in a remineralization solution (21 h in total). After the first step of demineralization, samples were immersed in an aqueous solution of the toothpaste and distilled water for 6 min. Vickers microhardness was measured at depths of 20, 50, and 120 μm. <b>Results:</b> The relative demineralization (rDEM) index in all treatment groups was significantly smaller than that in the control group. Binary analysis showed that there was no significant difference in the rDEM among the treatment groups, regardless of depth. Tukey's post hoc test revealed that the amount of hardness reduction due to the pH cycle was significant in all groups and at all depths, except for Group 4 at 50 and 120 μm depth. Therefore, CPP-ACP is more effective in preventing demineralization. <b>Conclusion:</b> All three remineralizing agents inhibited enamel demineralization; however, CPP-ACP was more effective at depths of 50 and 120 μm.</p>","PeriodicalId":13947,"journal":{"name":"International Journal of Dentistry","volume":"2025 ","pages":"5598592"},"PeriodicalIF":2.2000,"publicationDate":"2025-03-18","publicationTypes":"Journal Article","fieldsOfStudy":null,"isOpenAccess":false,"openAccessPdf":"https://www.ncbi.nlm.nih.gov/pmc/articles/PMC11936538/pdf/","citationCount":"0","resultStr":"{\"title\":\"Efficacy of an Experimental CPP-ACP and Fluoride Toothpaste in Prevention of Enamel Demineralization: An In Vitro Study on Bovine Enamel.\",\"authors\":\"Zahra Moslehitabar, Hossein Bagheri, Abdolrasoul Rangrazi, Ali Faramarzi Garmroodi, Aliakbar Hodjatpanah Montazeri\",\"doi\":\"10.1155/ijod/5598592\",\"DOIUrl\":null,\"url\":null,\"abstract\":\"<p><p><b>Objective:</b> This study evaluated the effects of adding casein phosphopeptide-amorphous calcium phosphate (CPP-ACP), with and without fluoride, to a laboratory toothpaste on the inhibition of enamel demineralization under pH cycling conditions. <b>Methods and Materials:</b> A total of 44 enamel blocks were prepared. Samples were randomly divided into four groups: Group 1-Basic laboratory toothpaste as control; Group 2-Laboratory toothpaste containing 1100 ppm sodium fluoride; Group 3-Laboratory toothpaste containing 1% w/w CPP-ACPF; Group 4-Laboratory toothpaste containing 1% w/w CPP-ACP. Half of each enamel block was coated with nail varnish (sound area), and the other half was subjected to pH cycling for 10 days. During this period, the samples were immersed in a demineralization solution for three separate periods of 1 h each (3 h in total). In the remaining intervals, they were immersed in a remineralization solution (21 h in total). After the first step of demineralization, samples were immersed in an aqueous solution of the toothpaste and distilled water for 6 min. Vickers microhardness was measured at depths of 20, 50, and 120 μm. <b>Results:</b> The relative demineralization (rDEM) index in all treatment groups was significantly smaller than that in the control group. Binary analysis showed that there was no significant difference in the rDEM among the treatment groups, regardless of depth. Tukey's post hoc test revealed that the amount of hardness reduction due to the pH cycle was significant in all groups and at all depths, except for Group 4 at 50 and 120 μm depth. Therefore, CPP-ACP is more effective in preventing demineralization. <b>Conclusion:</b> All three remineralizing agents inhibited enamel demineralization; however, CPP-ACP was more effective at depths of 50 and 120 μm.</p>\",\"PeriodicalId\":13947,\"journal\":{\"name\":\"International Journal of Dentistry\",\"volume\":\"2025 \",\"pages\":\"5598592\"},\"PeriodicalIF\":2.2000,\"publicationDate\":\"2025-03-18\",\"publicationTypes\":\"Journal Article\",\"fieldsOfStudy\":null,\"isOpenAccess\":false,\"openAccessPdf\":\"https://www.ncbi.nlm.nih.gov/pmc/articles/PMC11936538/pdf/\",\"citationCount\":\"0\",\"resultStr\":null,\"platform\":\"Semanticscholar\",\"paperid\":null,\"PeriodicalName\":\"International Journal of Dentistry\",\"FirstCategoryId\":\"1085\",\"ListUrlMain\":\"https://doi.org/10.1155/ijod/5598592\",\"RegionNum\":0,\"RegionCategory\":null,\"ArticlePicture\":[],\"TitleCN\":null,\"AbstractTextCN\":null,\"PMCID\":null,\"EPubDate\":\"2025/1/1 0:00:00\",\"PubModel\":\"eCollection\",\"JCR\":\"Q2\",\"JCRName\":\"DENTISTRY, ORAL SURGERY & MEDICINE\",\"Score\":null,\"Total\":0}","platform":"Semanticscholar","paperid":null,"PeriodicalName":"International Journal of Dentistry","FirstCategoryId":"1085","ListUrlMain":"https://doi.org/10.1155/ijod/5598592","RegionNum":0,"RegionCategory":null,"ArticlePicture":[],"TitleCN":null,"AbstractTextCN":null,"PMCID":null,"EPubDate":"2025/1/1 0:00:00","PubModel":"eCollection","JCR":"Q2","JCRName":"DENTISTRY, ORAL SURGERY & MEDICINE","Score":null,"Total":0}
引用次数: 0

摘要

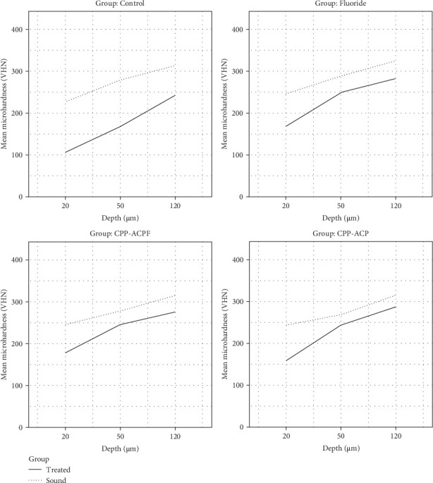
目的:研究在pH循环条件下,在实验室牙膏中添加含氟和不含氟的酪蛋白磷酸肽-无定形磷酸钙(CPP-ACP)对牙釉质脱矿的抑制作用。方法与材料:共制备了44个牙釉质块。样本随机分为四组:第一组:实验室基础牙膏为对照;第二组实验室牙膏含1100 ppm氟化钠;第三组:含1% w/w CPP-ACPF的实验室牙膏;第4组实验室牙膏含1% w/w CPP-ACP。每个牙釉质块的一半涂上指甲油(声音区),另一半进行pH循环10天。在此期间,样品在脱矿溶液中浸泡三段时间,每段时间1小时(共3小时)。在剩余的时间间隔中,将它们浸泡在再矿化溶液中(共21小时)。第一步脱矿后,将样品浸泡在牙膏和蒸馏水的水溶液中6分钟。测量深度为20、50和120 μm的维氏显微硬度。结果:各治疗组的相对脱矿(rDEM)指数均显著小于对照组。二元分析显示,无论深度如何,各治疗组的rDEM均无显著差异。Tukey的事后测试显示,除了第4组在50和120 μm深度外,所有组和所有深度的pH循环导致的硬度降低量都很显著。因此,CPP-ACP能更有效地防止脱矿。结论:三种再矿化剂均能抑制牙釉质脱矿;而在深度为50 μm和120 μm时,CPP-ACP效果更好。
本文章由计算机程序翻译,如有差异,请以英文原文为准。

Efficacy of an Experimental CPP-ACP and Fluoride Toothpaste in Prevention of Enamel Demineralization: An In Vitro Study on Bovine Enamel.

Efficacy of an Experimental CPP-ACP and Fluoride Toothpaste in Prevention of Enamel Demineralization: An In Vitro Study on Bovine Enamel.

Efficacy of an Experimental CPP-ACP and Fluoride Toothpaste in Prevention of Enamel Demineralization: An In Vitro Study on Bovine Enamel.

Efficacy of an Experimental CPP-ACP and Fluoride Toothpaste in Prevention of Enamel Demineralization: An In Vitro Study on Bovine Enamel.

Objective: This study evaluated the effects of adding casein phosphopeptide-amorphous calcium phosphate (CPP-ACP), with and without fluoride, to a laboratory toothpaste on the inhibition of enamel demineralization under pH cycling conditions. Methods and Materials: A total of 44 enamel blocks were prepared. Samples were randomly divided into four groups: Group 1-Basic laboratory toothpaste as control; Group 2-Laboratory toothpaste containing 1100 ppm sodium fluoride; Group 3-Laboratory toothpaste containing 1% w/w CPP-ACPF; Group 4-Laboratory toothpaste containing 1% w/w CPP-ACP. Half of each enamel block was coated with nail varnish (sound area), and the other half was subjected to pH cycling for 10 days. During this period, the samples were immersed in a demineralization solution for three separate periods of 1 h each (3 h in total). In the remaining intervals, they were immersed in a remineralization solution (21 h in total). After the first step of demineralization, samples were immersed in an aqueous solution of the toothpaste and distilled water for 6 min. Vickers microhardness was measured at depths of 20, 50, and 120 μm. Results: The relative demineralization (rDEM) index in all treatment groups was significantly smaller than that in the control group. Binary analysis showed that there was no significant difference in the rDEM among the treatment groups, regardless of depth. Tukey's post hoc test revealed that the amount of hardness reduction due to the pH cycle was significant in all groups and at all depths, except for Group 4 at 50 and 120 μm depth. Therefore, CPP-ACP is more effective in preventing demineralization. Conclusion: All three remineralizing agents inhibited enamel demineralization; however, CPP-ACP was more effective at depths of 50 and 120 μm.

求助全文
通过发布文献求助,成功后即可免费获取论文全文。 去求助
来源期刊
International Journal of Dentistry
International Journal of Dentistry DENTISTRY, ORAL SURGERY & MEDICINE-
CiteScore
3.30
自引率
4.80%
发文量
219
审稿时长
20 weeks
×
引用
GB/T 7714-2015
复制
MLA
复制
APA
复制
导出至
BibTeX EndNote RefMan NoteFirst NoteExpress
×
提示
您的信息不完整,为了账户安全,请先补充。
现在去补充
×
提示
您因"违规操作"
具体请查看互助需知
我知道了
×
提示
确定
请完成安全验证×
copy
已复制链接
快去分享给好友吧!
我知道了
右上角分享
点击右上角分享
0
联系我们:info@booksci.cn Book学术提供免费学术资源搜索服务,方便国内外学者检索中英文文献。致力于提供最便捷和优质的服务体验。 Copyright © 2023 布克学术 All rights reserved.
京ICP备2023020795号-1
ghs 京公网安备 11010802042870号
Book学术文献互助
Book学术文献互助群
群 号:604180095
Book学术官方微信