唐氏综合征患者的眼部表现:一项系统综述和荟萃分析。

IF 1.9 4区 医学 Q3 OPHTHALMOLOGY
Journal of Ophthalmology Pub Date : 2025-03-18 eCollection Date: 2025-01-01 DOI:10.1155/joph/2317959
Jessica A Beresford-Webb, Emily Charlesworth, Shahina Pardhan, Valerie Wang, Megan Vaughan, Mary Igbineweka, Shahid H Zaman
{"title":"唐氏综合征患者的眼部表现:一项系统综述和荟萃分析。","authors":"Jessica A Beresford-Webb, Emily Charlesworth, Shahina Pardhan, Valerie Wang, Megan Vaughan, Mary Igbineweka, Shahid H Zaman","doi":"10.1155/joph/2317959","DOIUrl":null,"url":null,"abstract":"<p><p><b>Background:</b> Down syndrome (DS) is the most common genetic cause of intellectual disability. Ocular manifestations occur frequently in people with DS (pwDS) but to date, there is no systematic review or meta-analysis of these conditions across the lifespan. <b>Methods:</b> PubMed, Medline, Embase, Web of Science and Scopus were searched for observational studies reporting ocular manifestations in pwDS, without limiting publication date. The proportion of pwDS with specific ocular manifestations were meta-analysed to obtain a pooled incidence using a random effects model. Sources of heterogeneity were assessed using a meta-regression analysis. For manifestations reported, but without sufficient prevalence data available, a narrative approach was adopted. <b>Results:</b> The search identified 1208 papers. Reviewers independently screened the abstracts, and 54 studies were found to fit the criteria. The age range of the individuals was birth to 88.7 years. Ocular manifestations from highest to lowest prevalence included refractive errors (69.97%, 95% CI 59.95%-79.13%), strabismus (31.41%, 95% CI 24.66%-38.57%), lens opacities (13.79%, 95% CI 8.61%-19.86%), nystagmus (12.72%, 95% CI 9.02%-16.92%) and keratoconus (9.34%, 95% CI 2.47%-19.26%). Alterations of lens and corneal morphology, posterior segment anomalies (including glaucoma) and Brushfield spots were also identified. <b>Conclusions:</b> The ocular manifestations of pwDS are common but varied. Age and/or ethnicity may influence the prevalence of certain ocular manifestations. The level of intellectual disability may also affect the prevalence of ocular manifestations as the prevalence of ocular disorders is known to increase with the severity of intellectual disability in pwDS.</p>","PeriodicalId":16674,"journal":{"name":"Journal of Ophthalmology","volume":"2025 ","pages":"2317959"},"PeriodicalIF":1.9000,"publicationDate":"2025-03-18","publicationTypes":"Journal Article","fieldsOfStudy":null,"isOpenAccess":false,"openAccessPdf":"https://www.ncbi.nlm.nih.gov/pmc/articles/PMC11936530/pdf/","citationCount":"0","resultStr":"{\"title\":\"The Ocular Manifestations of Individuals With Down Syndrome: A Systematic Review and Meta-Analysis.\",\"authors\":\"Jessica A Beresford-Webb, Emily Charlesworth, Shahina Pardhan, Valerie Wang, Megan Vaughan, Mary Igbineweka, Shahid H Zaman\",\"doi\":\"10.1155/joph/2317959\",\"DOIUrl\":null,\"url\":null,\"abstract\":\"<p><p><b>Background:</b> Down syndrome (DS) is the most common genetic cause of intellectual disability. Ocular manifestations occur frequently in people with DS (pwDS) but to date, there is no systematic review or meta-analysis of these conditions across the lifespan. <b>Methods:</b> PubMed, Medline, Embase, Web of Science and Scopus were searched for observational studies reporting ocular manifestations in pwDS, without limiting publication date. The proportion of pwDS with specific ocular manifestations were meta-analysed to obtain a pooled incidence using a random effects model. Sources of heterogeneity were assessed using a meta-regression analysis. For manifestations reported, but without sufficient prevalence data available, a narrative approach was adopted. <b>Results:</b> The search identified 1208 papers. Reviewers independently screened the abstracts, and 54 studies were found to fit the criteria. The age range of the individuals was birth to 88.7 years. Ocular manifestations from highest to lowest prevalence included refractive errors (69.97%, 95% CI 59.95%-79.13%), strabismus (31.41%, 95% CI 24.66%-38.57%), lens opacities (13.79%, 95% CI 8.61%-19.86%), nystagmus (12.72%, 95% CI 9.02%-16.92%) and keratoconus (9.34%, 95% CI 2.47%-19.26%). Alterations of lens and corneal morphology, posterior segment anomalies (including glaucoma) and Brushfield spots were also identified. <b>Conclusions:</b> The ocular manifestations of pwDS are common but varied. Age and/or ethnicity may influence the prevalence of certain ocular manifestations. The level of intellectual disability may also affect the prevalence of ocular manifestations as the prevalence of ocular disorders is known to increase with the severity of intellectual disability in pwDS.</p>\",\"PeriodicalId\":16674,\"journal\":{\"name\":\"Journal of Ophthalmology\",\"volume\":\"2025 \",\"pages\":\"2317959\"},\"PeriodicalIF\":1.9000,\"publicationDate\":\"2025-03-18\",\"publicationTypes\":\"Journal Article\",\"fieldsOfStudy\":null,\"isOpenAccess\":false,\"openAccessPdf\":\"https://www.ncbi.nlm.nih.gov/pmc/articles/PMC11936530/pdf/\",\"citationCount\":\"0\",\"resultStr\":null,\"platform\":\"Semanticscholar\",\"paperid\":null,\"PeriodicalName\":\"Journal of Ophthalmology\",\"FirstCategoryId\":\"3\",\"ListUrlMain\":\"https://doi.org/10.1155/joph/2317959\",\"RegionNum\":4,\"RegionCategory\":\"医学\",\"ArticlePicture\":[],\"TitleCN\":null,\"AbstractTextCN\":null,\"PMCID\":null,\"EPubDate\":\"2025/1/1 0:00:00\",\"PubModel\":\"eCollection\",\"JCR\":\"Q3\",\"JCRName\":\"OPHTHALMOLOGY\",\"Score\":null,\"Total\":0}","platform":"Semanticscholar","paperid":null,"PeriodicalName":"Journal of Ophthalmology","FirstCategoryId":"3","ListUrlMain":"https://doi.org/10.1155/joph/2317959","RegionNum":4,"RegionCategory":"医学","ArticlePicture":[],"TitleCN":null,"AbstractTextCN":null,"PMCID":null,"EPubDate":"2025/1/1 0:00:00","PubModel":"eCollection","JCR":"Q3","JCRName":"OPHTHALMOLOGY","Score":null,"Total":0}
引用次数: 0

摘要

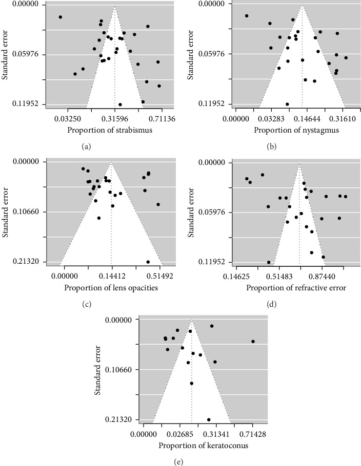
背景:唐氏综合症(DS)是智力残疾最常见的遗传原因。眼部表现在退行性椎体滑移(pwDS)患者中经常发生,但到目前为止,还没有对这些疾病在整个生命周期中的系统回顾或荟萃分析。方法:检索PubMed、Medline、Embase、Web of Science和Scopus,检索报告pwDS眼部表现的观察性研究,不限制发表日期。采用随机效应模型,对具有特殊眼部表现的pwDS的比例进行meta分析,以获得合并发病率。采用meta回归分析评估异质性来源。对于报告的表现,但没有足够的流行数据,采用叙述方法。结果:检索到1208篇论文。审稿人独立筛选了摘要,发现54项研究符合标准。这些个体的年龄范围为出生至88.7岁。眼部表现从高到低依次为屈光不正(69.97%,95% CI 59.95%-79.13%)、斜视(31.41%,95% CI 24.66%-38.57%)、晶状体混浊(13.79%,95% CI 8.61%-19.86%)、眼球震颤(12.72%,95% CI 9.02%-16.92%)和圆锥角膜(9.34%,95% CI 2.47%-19.26%)。晶状体和角膜形态的改变,后段异常(包括青光眼)和刷野斑也被发现。结论:pwDS的眼部表现普遍但多样。年龄和/或种族可能影响某些眼部表现的发生率。智力残疾水平也可能影响眼部症状的发生率,因为众所周知,随着残疾患者智力残疾的严重程度,眼部疾病的发生率也会增加。
本文章由计算机程序翻译,如有差异,请以英文原文为准。

The Ocular Manifestations of Individuals With Down Syndrome: A Systematic Review and Meta-Analysis.

The Ocular Manifestations of Individuals With Down Syndrome: A Systematic Review and Meta-Analysis.

The Ocular Manifestations of Individuals With Down Syndrome: A Systematic Review and Meta-Analysis.

The Ocular Manifestations of Individuals With Down Syndrome: A Systematic Review and Meta-Analysis.

Background: Down syndrome (DS) is the most common genetic cause of intellectual disability. Ocular manifestations occur frequently in people with DS (pwDS) but to date, there is no systematic review or meta-analysis of these conditions across the lifespan. Methods: PubMed, Medline, Embase, Web of Science and Scopus were searched for observational studies reporting ocular manifestations in pwDS, without limiting publication date. The proportion of pwDS with specific ocular manifestations were meta-analysed to obtain a pooled incidence using a random effects model. Sources of heterogeneity were assessed using a meta-regression analysis. For manifestations reported, but without sufficient prevalence data available, a narrative approach was adopted. Results: The search identified 1208 papers. Reviewers independently screened the abstracts, and 54 studies were found to fit the criteria. The age range of the individuals was birth to 88.7 years. Ocular manifestations from highest to lowest prevalence included refractive errors (69.97%, 95% CI 59.95%-79.13%), strabismus (31.41%, 95% CI 24.66%-38.57%), lens opacities (13.79%, 95% CI 8.61%-19.86%), nystagmus (12.72%, 95% CI 9.02%-16.92%) and keratoconus (9.34%, 95% CI 2.47%-19.26%). Alterations of lens and corneal morphology, posterior segment anomalies (including glaucoma) and Brushfield spots were also identified. Conclusions: The ocular manifestations of pwDS are common but varied. Age and/or ethnicity may influence the prevalence of certain ocular manifestations. The level of intellectual disability may also affect the prevalence of ocular manifestations as the prevalence of ocular disorders is known to increase with the severity of intellectual disability in pwDS.

求助全文
通过发布文献求助,成功后即可免费获取论文全文。 去求助
来源期刊
Journal of Ophthalmology
Journal of Ophthalmology MEDICINE, RESEARCH & EXPERIMENTAL-OPHTHALMOLOGY
CiteScore
4.30
自引率
5.30%
发文量
194
审稿时长
6-12 weeks
期刊介绍: Journal of Ophthalmology is a peer-reviewed, Open Access journal that publishes original research articles, review articles, and clinical studies related to the anatomy, physiology and diseases of the eye. Submissions should focus on new diagnostic and surgical techniques, instrument and therapy updates, as well as clinical trials and research findings.
×
引用
GB/T 7714-2015
复制
MLA
复制
APA
复制
导出至
BibTeX EndNote RefMan NoteFirst NoteExpress
×
提示
您的信息不完整,为了账户安全,请先补充。
现在去补充
×
提示
您因"违规操作"
具体请查看互助需知
我知道了
×
提示
确定
请完成安全验证×
copy
已复制链接
快去分享给好友吧!
我知道了
右上角分享
点击右上角分享
0
联系我们:info@booksci.cn Book学术提供免费学术资源搜索服务,方便国内外学者检索中英文文献。致力于提供最便捷和优质的服务体验。 Copyright © 2023 布克学术 All rights reserved.
京ICP备2023020795号-1
ghs 京公网安备 11010802042870号
Book学术文献互助
Book学术文献互助群
群 号:604180095
Book学术官方微信