自然灾害暴露后精神障碍患病率估计的性别差异荟萃分析。

IF 4.1 2区 医学 Q1 PSYCHIATRY
Isabella Kai Lee Nolting, Nexhmedin Morina, Thole Hilko Hoppen, Kim-Pong Tam, Ahlke Kip
{"title":"自然灾害暴露后精神障碍患病率估计的性别差异荟萃分析。","authors":"Isabella Kai Lee Nolting, Nexhmedin Morina, Thole Hilko Hoppen, Kim-Pong Tam, Ahlke Kip","doi":"10.1080/20008066.2025.2476809","DOIUrl":null,"url":null,"abstract":"<p><p><b>Background:</b> Women report higher rates of trauma-related disorders compared to men. With women being disproportionately impacted by the consequences of natural hazards, this gender disparity may increase in their aftermath.<b>Objective:</b> This meta-analysis aimed at quantifying gender gaps in mental disorder prevalence following natural hazards, considering both the recent and long-term aftermath of natural hazards, the developmental status of affected countries, and type of hazard.<b>Method:</b> A systematic search was conducted in MEDLINE, PsycINFO, and Web of Science in February 2024. Random effects models were used to calculate odds ratios (OR) based on point prevalences. OR adjusted for covariates were also descriptively reported.<b>Results:</b> In total, 141 reports (<i>N</i> = 3,726,153 independent participants) were included. The prevalence for posttraumatic stress disorder (PTSD), major depression (MD), and generalized anxiety disorder (GAD) within the first year after the hazard were 24.95%, 8.11%, and 14.24%, respectively. More than one-year post-natural hazard the prevalence for PTSD and MD were 22.89% and 13.51%, respectively. Women had significantly higher odds for PTSD (OR = 1.85) and MD (OR = 1.52) within the first year after the hazard, as well as in later assessments (OR = 1.83 for PTSD, OR = 1.41 for MD). Only four studies reported on GAD gender differences in the recent aftermath of natural hazards, resulting in a non-significant OR of 1.85. Subgroup analyses indicated no differences between developmental status of affected countries and adjusted OR showed no systematic variations upon the inclusion of covariates. Gender differences were larger in the aftermath of earthquakes.<b>Conclusions:</b> Significant gender differences for mental disorders following natural hazards exist, although these differences appear similar to other contexts. Gender-sensitive disaster response plans for mental health are essential.</p>","PeriodicalId":12055,"journal":{"name":"European Journal of Psychotraumatology","volume":"16 1","pages":"2476809"},"PeriodicalIF":4.1000,"publicationDate":"2025-12-01","publicationTypes":"Journal Article","fieldsOfStudy":null,"isOpenAccess":false,"openAccessPdf":"https://www.ncbi.nlm.nih.gov/pmc/articles/PMC11948360/pdf/","citationCount":"0","resultStr":"{\"title\":\"A meta-analysis on gender differences in prevalence estimates of mental disorders following exposure to natural hazards.\",\"authors\":\"Isabella Kai Lee Nolting, Nexhmedin Morina, Thole Hilko Hoppen, Kim-Pong Tam, Ahlke Kip\",\"doi\":\"10.1080/20008066.2025.2476809\",\"DOIUrl\":null,\"url\":null,\"abstract\":\"<p><p><b>Background:</b> Women report higher rates of trauma-related disorders compared to men. With women being disproportionately impacted by the consequences of natural hazards, this gender disparity may increase in their aftermath.<b>Objective:</b> This meta-analysis aimed at quantifying gender gaps in mental disorder prevalence following natural hazards, considering both the recent and long-term aftermath of natural hazards, the developmental status of affected countries, and type of hazard.<b>Method:</b> A systematic search was conducted in MEDLINE, PsycINFO, and Web of Science in February 2024. Random effects models were used to calculate odds ratios (OR) based on point prevalences. OR adjusted for covariates were also descriptively reported.<b>Results:</b> In total, 141 reports (<i>N</i> = 3,726,153 independent participants) were included. The prevalence for posttraumatic stress disorder (PTSD), major depression (MD), and generalized anxiety disorder (GAD) within the first year after the hazard were 24.95%, 8.11%, and 14.24%, respectively. More than one-year post-natural hazard the prevalence for PTSD and MD were 22.89% and 13.51%, respectively. Women had significantly higher odds for PTSD (OR = 1.85) and MD (OR = 1.52) within the first year after the hazard, as well as in later assessments (OR = 1.83 for PTSD, OR = 1.41 for MD). Only four studies reported on GAD gender differences in the recent aftermath of natural hazards, resulting in a non-significant OR of 1.85. Subgroup analyses indicated no differences between developmental status of affected countries and adjusted OR showed no systematic variations upon the inclusion of covariates. Gender differences were larger in the aftermath of earthquakes.<b>Conclusions:</b> Significant gender differences for mental disorders following natural hazards exist, although these differences appear similar to other contexts. Gender-sensitive disaster response plans for mental health are essential.</p>\",\"PeriodicalId\":12055,\"journal\":{\"name\":\"European Journal of Psychotraumatology\",\"volume\":\"16 1\",\"pages\":\"2476809\"},\"PeriodicalIF\":4.1000,\"publicationDate\":\"2025-12-01\",\"publicationTypes\":\"Journal Article\",\"fieldsOfStudy\":null,\"isOpenAccess\":false,\"openAccessPdf\":\"https://www.ncbi.nlm.nih.gov/pmc/articles/PMC11948360/pdf/\",\"citationCount\":\"0\",\"resultStr\":null,\"platform\":\"Semanticscholar\",\"paperid\":null,\"PeriodicalName\":\"European Journal of Psychotraumatology\",\"FirstCategoryId\":\"3\",\"ListUrlMain\":\"https://doi.org/10.1080/20008066.2025.2476809\",\"RegionNum\":2,\"RegionCategory\":\"医学\",\"ArticlePicture\":[],\"TitleCN\":null,\"AbstractTextCN\":null,\"PMCID\":null,\"EPubDate\":\"2025/3/26 0:00:00\",\"PubModel\":\"Epub\",\"JCR\":\"Q1\",\"JCRName\":\"PSYCHIATRY\",\"Score\":null,\"Total\":0}","platform":"Semanticscholar","paperid":null,"PeriodicalName":"European Journal of Psychotraumatology","FirstCategoryId":"3","ListUrlMain":"https://doi.org/10.1080/20008066.2025.2476809","RegionNum":2,"RegionCategory":"医学","ArticlePicture":[],"TitleCN":null,"AbstractTextCN":null,"PMCID":null,"EPubDate":"2025/3/26 0:00:00","PubModel":"Epub","JCR":"Q1","JCRName":"PSYCHIATRY","Score":null,"Total":0}
引用次数: 0

摘要

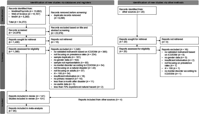
背景:与男性相比,女性患创伤相关疾病的比例更高。由于妇女受到自然灾害后果的影响不成比例,这种性别差异可能会在灾害发生后进一步扩大。目的:本荟萃分析旨在量化自然灾害后精神障碍患病率的性别差异,同时考虑自然灾害的近期和长期后果、受灾国家的发展状况和灾害类型。方法:系统检索2024年2月的MEDLINE、PsycINFO、Web of Science。随机效应模型用于计算基于点患病率的优势比(OR)。对协变量进行OR校正后也进行了描述性报道。结果:共纳入141份报告(N = 3,726,153名独立参与者)。创伤后应激障碍(PTSD)、重度抑郁症(MD)和广泛性焦虑症(GAD)在发病后一年内的患病率分别为24.95%、8.11%和14.24%。自然灾害后1年以上PTSD和MD患病率分别为22.89%和13.51%。在危险发生后的第一年,女性患PTSD (OR = 1.85)和MD (OR = 1.52)的几率明显更高,在随后的评估中(PTSD OR = 1.83, MD OR = 1.41)。只有四项研究报告了在自然灾害的近期后果中广泛性焦虑症的性别差异,导致了1.85的非显著OR。亚组分析表明,受影响国家的发展状况之间没有差异,调整后的OR在纳入协变量时没有显示出系统差异。在地震后,性别差异更大。结论:自然灾害后的精神障碍存在显著的性别差异,尽管这些差异在其他情况下相似。对性别问题有敏感认识的心理健康灾害应对计划至关重要。
本文章由计算机程序翻译,如有差异,请以英文原文为准。

A meta-analysis on gender differences in prevalence estimates of mental disorders following exposure to natural hazards.

A meta-analysis on gender differences in prevalence estimates of mental disorders following exposure to natural hazards.

A meta-analysis on gender differences in prevalence estimates of mental disorders following exposure to natural hazards.

A meta-analysis on gender differences in prevalence estimates of mental disorders following exposure to natural hazards.

Background: Women report higher rates of trauma-related disorders compared to men. With women being disproportionately impacted by the consequences of natural hazards, this gender disparity may increase in their aftermath.Objective: This meta-analysis aimed at quantifying gender gaps in mental disorder prevalence following natural hazards, considering both the recent and long-term aftermath of natural hazards, the developmental status of affected countries, and type of hazard.Method: A systematic search was conducted in MEDLINE, PsycINFO, and Web of Science in February 2024. Random effects models were used to calculate odds ratios (OR) based on point prevalences. OR adjusted for covariates were also descriptively reported.Results: In total, 141 reports (N = 3,726,153 independent participants) were included. The prevalence for posttraumatic stress disorder (PTSD), major depression (MD), and generalized anxiety disorder (GAD) within the first year after the hazard were 24.95%, 8.11%, and 14.24%, respectively. More than one-year post-natural hazard the prevalence for PTSD and MD were 22.89% and 13.51%, respectively. Women had significantly higher odds for PTSD (OR = 1.85) and MD (OR = 1.52) within the first year after the hazard, as well as in later assessments (OR = 1.83 for PTSD, OR = 1.41 for MD). Only four studies reported on GAD gender differences in the recent aftermath of natural hazards, resulting in a non-significant OR of 1.85. Subgroup analyses indicated no differences between developmental status of affected countries and adjusted OR showed no systematic variations upon the inclusion of covariates. Gender differences were larger in the aftermath of earthquakes.Conclusions: Significant gender differences for mental disorders following natural hazards exist, although these differences appear similar to other contexts. Gender-sensitive disaster response plans for mental health are essential.

求助全文
通过发布文献求助,成功后即可免费获取论文全文。 去求助
来源期刊
CiteScore
7.60
自引率
12.00%
发文量
153
审稿时长
18 weeks
期刊介绍: The European Journal of Psychotraumatology (EJPT) is a peer-reviewed open access interdisciplinary journal owned by the European Society of Traumatic Stress Studies (ESTSS). The European Journal of Psychotraumatology (EJPT) aims to engage scholars, clinicians and researchers in the vital issues of how to understand, prevent and treat the consequences of stress and trauma, including but not limited to, posttraumatic stress disorder (PTSD), depressive disorders, substance abuse, burnout, and neurobiological or physical consequences, using the latest research or clinical experience in these areas. The journal shares ESTSS’ mission to advance and disseminate scientific knowledge about traumatic stress. Papers may address individual events, repeated or chronic (complex) trauma, large scale disasters, or violence. Being open access, the European Journal of Psychotraumatology is also evidence of ESTSS’ stand on free accessibility of research publications to a wider community via the web. The European Journal of Psychotraumatology seeks to attract contributions from academics and practitioners from diverse professional backgrounds, including, but not restricted to, those in mental health, social sciences, and health and welfare services. Contributions from outside Europe are welcome. The journal welcomes original basic and clinical research articles that consolidate and expand the theoretical and professional basis of the field of traumatic stress; Review articles including meta-analyses; short communications presenting new ideas or early-stage promising research; study protocols that describe proposed or ongoing research; case reports examining a single individual or event in a real‑life context; clinical practice papers sharing experience from the clinic; letters to the Editor debating articles already published in the Journal; inaugural Lectures; conference abstracts and book reviews. Both quantitative and qualitative research is welcome.
×
引用
GB/T 7714-2015
复制
MLA
复制
APA
复制
导出至
BibTeX EndNote RefMan NoteFirst NoteExpress
×
提示
您的信息不完整,为了账户安全,请先补充。
现在去补充
×
提示
您因"违规操作"
具体请查看互助需知
我知道了
×
提示
确定
请完成安全验证×
copy
已复制链接
快去分享给好友吧!
我知道了
右上角分享
点击右上角分享
0
联系我们:info@booksci.cn Book学术提供免费学术资源搜索服务,方便国内外学者检索中英文文献。致力于提供最便捷和优质的服务体验。 Copyright © 2023 布克学术 All rights reserved.
京ICP备2023020795号-1
ghs 京公网安备 11010802042870号
Book学术文献互助
Book学术文献互助群
群 号:604180095
Book学术官方微信