非结核分枝杆菌肺病患者痰中微生物群的差异取决于治愈情况。

IF 2.4 4区 医学 Q2 MEDICINE, GENERAL & INTERNAL
Korean Journal of Internal Medicine Pub Date : 2025-05-01 Epub Date: 2025-03-25 DOI:10.3904/kjim.2024.209
Noeul Kang, Su-Young Kim, Dae Hun Kim, Byung Woo Jhun
{"title":"非结核分枝杆菌肺病患者痰中微生物群的差异取决于治愈情况。","authors":"Noeul Kang, Su-Young Kim, Dae Hun Kim, Byung Woo Jhun","doi":"10.3904/kjim.2024.209","DOIUrl":null,"url":null,"abstract":"<p><strong>Background/aims: </strong>To analyze the characteristics of the sputum microbiota of patients with nontuberculous mycobacteria pulmonary disease (NTM-PD) based on treatment status.</p><p><strong>Methods: </strong>Twenty-eight sputum samples from 14 patients with NTM-PD, including 14 samples from the microbiologically cured group (7 at baseline and 7 during follow-up) and 14 from the treatment-refractory group (7 at baseline and 7 during follow-up) were included in this study. Bacterial microbiota was analyzed by sequencing the V3-V4 region of the 16S rRNA gene.</p><p><strong>Results: </strong>Among the 14 patients, most had infections with Mycobacterium avium complex (n = 6), followed by Mycobacterium abscessus (n = 5); three patients exhibited mixed infection with both organisms. Alpha-diversity was higher in the cured group than in the treatment refractory group in both the baseline sputum (ACE, p = 0.005; Chao1, p = 0.010; Jackknife, p = 0.022, 0.043; Shannon, p = 0.048) and follow-up sputum (ACE, p = 0.018). Linear discriminant analysis effect size revealed that several taxa showed differential distributions based on treatment status. At the species level, Streptococcus pneumoniae, Prevotella melaninogenica, Haemophilus parahaemolyticus, Haemophilus haemolyticus, Fusobacterium nucleatum, Neisseria elongata, and Prevotella denticola were more abundant in sputum from the microbiologically cured group than in that from the refractory group (all p < 0.05).</p><p><strong>Conclusion: </strong>In contrast to patients with treatment-refractory NTM-PD, those with stable disease without recurrence had higher microbial diversity in their sputum, including several predominant taxa.</p>","PeriodicalId":48785,"journal":{"name":"Korean Journal of Internal Medicine","volume":" ","pages":"449-457"},"PeriodicalIF":2.4000,"publicationDate":"2025-05-01","publicationTypes":"Journal Article","fieldsOfStudy":null,"isOpenAccess":false,"openAccessPdf":"https://www.ncbi.nlm.nih.gov/pmc/articles/PMC12081110/pdf/","citationCount":"0","resultStr":"{\"title\":\"Differences in sputum microbiota based on cure status of patients with nontuberculous mycobacterial pulmonary disease.\",\"authors\":\"Noeul Kang, Su-Young Kim, Dae Hun Kim, Byung Woo Jhun\",\"doi\":\"10.3904/kjim.2024.209\",\"DOIUrl\":null,\"url\":null,\"abstract\":\"<p><strong>Background/aims: </strong>To analyze the characteristics of the sputum microbiota of patients with nontuberculous mycobacteria pulmonary disease (NTM-PD) based on treatment status.</p><p><strong>Methods: </strong>Twenty-eight sputum samples from 14 patients with NTM-PD, including 14 samples from the microbiologically cured group (7 at baseline and 7 during follow-up) and 14 from the treatment-refractory group (7 at baseline and 7 during follow-up) were included in this study. Bacterial microbiota was analyzed by sequencing the V3-V4 region of the 16S rRNA gene.</p><p><strong>Results: </strong>Among the 14 patients, most had infections with Mycobacterium avium complex (n = 6), followed by Mycobacterium abscessus (n = 5); three patients exhibited mixed infection with both organisms. Alpha-diversity was higher in the cured group than in the treatment refractory group in both the baseline sputum (ACE, p = 0.005; Chao1, p = 0.010; Jackknife, p = 0.022, 0.043; Shannon, p = 0.048) and follow-up sputum (ACE, p = 0.018). Linear discriminant analysis effect size revealed that several taxa showed differential distributions based on treatment status. At the species level, Streptococcus pneumoniae, Prevotella melaninogenica, Haemophilus parahaemolyticus, Haemophilus haemolyticus, Fusobacterium nucleatum, Neisseria elongata, and Prevotella denticola were more abundant in sputum from the microbiologically cured group than in that from the refractory group (all p < 0.05).</p><p><strong>Conclusion: </strong>In contrast to patients with treatment-refractory NTM-PD, those with stable disease without recurrence had higher microbial diversity in their sputum, including several predominant taxa.</p>\",\"PeriodicalId\":48785,\"journal\":{\"name\":\"Korean Journal of Internal Medicine\",\"volume\":\" \",\"pages\":\"449-457\"},\"PeriodicalIF\":2.4000,\"publicationDate\":\"2025-05-01\",\"publicationTypes\":\"Journal Article\",\"fieldsOfStudy\":null,\"isOpenAccess\":false,\"openAccessPdf\":\"https://www.ncbi.nlm.nih.gov/pmc/articles/PMC12081110/pdf/\",\"citationCount\":\"0\",\"resultStr\":null,\"platform\":\"Semanticscholar\",\"paperid\":null,\"PeriodicalName\":\"Korean Journal of Internal Medicine\",\"FirstCategoryId\":\"3\",\"ListUrlMain\":\"https://doi.org/10.3904/kjim.2024.209\",\"RegionNum\":4,\"RegionCategory\":\"医学\",\"ArticlePicture\":[],\"TitleCN\":null,\"AbstractTextCN\":null,\"PMCID\":null,\"EPubDate\":\"2025/3/25 0:00:00\",\"PubModel\":\"Epub\",\"JCR\":\"Q2\",\"JCRName\":\"MEDICINE, GENERAL & INTERNAL\",\"Score\":null,\"Total\":0}","platform":"Semanticscholar","paperid":null,"PeriodicalName":"Korean Journal of Internal Medicine","FirstCategoryId":"3","ListUrlMain":"https://doi.org/10.3904/kjim.2024.209","RegionNum":4,"RegionCategory":"医学","ArticlePicture":[],"TitleCN":null,"AbstractTextCN":null,"PMCID":null,"EPubDate":"2025/3/25 0:00:00","PubModel":"Epub","JCR":"Q2","JCRName":"MEDICINE, GENERAL & INTERNAL","Score":null,"Total":0}
引用次数: 0

摘要

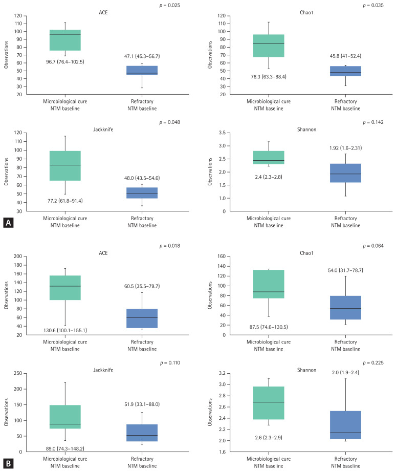
背景/目的:分析非结核分枝杆菌肺病(NTM-PD)患者治疗状况的痰菌群特征。方法:选取14例NTM-PD患者28份痰标本,其中微生物治愈组14份(基线7份,随访7份),治疗难治组14份(基线7份,随访7份)。通过16S rRNA基因V3-V4区测序分析细菌微生物群。结果:14例患者中以鸟分枝杆菌复合体感染最多(n = 6),其次为脓肿分枝杆菌(n = 5);3例患者表现出两种微生物的混合感染。在基线痰液中,治愈组α -多样性均高于治疗难治性组(ACE, p = 0.005;Chao1, p = 0.010;折刀,p = 0.022, 0.043;Shannon, p = 0.048)和随访痰液(ACE, p = 0.018)。线性判别分析的效应大小显示,不同处理状态下不同类群的分布存在差异。在菌种水平上,微生物治愈组痰液中肺炎链球菌、黑色素普雷沃氏菌、副溶血嗜血杆菌、溶血嗜血杆菌、核梭杆菌、长奈瑟菌和齿状普雷沃氏菌的含量均高于难治组(p < 0.05)。结论:与难治性NTM-PD患者相比,病情稳定且无复发的患者痰中微生物多样性更高,包括几个优势类群。
本文章由计算机程序翻译,如有差异,请以英文原文为准。

Differences in sputum microbiota based on cure status of patients with nontuberculous mycobacterial pulmonary disease.

Differences in sputum microbiota based on cure status of patients with nontuberculous mycobacterial pulmonary disease.

Differences in sputum microbiota based on cure status of patients with nontuberculous mycobacterial pulmonary disease.

Differences in sputum microbiota based on cure status of patients with nontuberculous mycobacterial pulmonary disease.

Background/aims: To analyze the characteristics of the sputum microbiota of patients with nontuberculous mycobacteria pulmonary disease (NTM-PD) based on treatment status.

Methods: Twenty-eight sputum samples from 14 patients with NTM-PD, including 14 samples from the microbiologically cured group (7 at baseline and 7 during follow-up) and 14 from the treatment-refractory group (7 at baseline and 7 during follow-up) were included in this study. Bacterial microbiota was analyzed by sequencing the V3-V4 region of the 16S rRNA gene.

Results: Among the 14 patients, most had infections with Mycobacterium avium complex (n = 6), followed by Mycobacterium abscessus (n = 5); three patients exhibited mixed infection with both organisms. Alpha-diversity was higher in the cured group than in the treatment refractory group in both the baseline sputum (ACE, p = 0.005; Chao1, p = 0.010; Jackknife, p = 0.022, 0.043; Shannon, p = 0.048) and follow-up sputum (ACE, p = 0.018). Linear discriminant analysis effect size revealed that several taxa showed differential distributions based on treatment status. At the species level, Streptococcus pneumoniae, Prevotella melaninogenica, Haemophilus parahaemolyticus, Haemophilus haemolyticus, Fusobacterium nucleatum, Neisseria elongata, and Prevotella denticola were more abundant in sputum from the microbiologically cured group than in that from the refractory group (all p < 0.05).

Conclusion: In contrast to patients with treatment-refractory NTM-PD, those with stable disease without recurrence had higher microbial diversity in their sputum, including several predominant taxa.

求助全文
通过发布文献求助,成功后即可免费获取论文全文。 去求助
来源期刊
Korean Journal of Internal Medicine
Korean Journal of Internal Medicine MEDICINE, GENERAL & INTERNAL-
CiteScore
5.10
自引率
4.20%
发文量
129
审稿时长
20 weeks
期刊介绍: The Korean Journal of Internal Medicine is an international medical journal published in English by the Korean Association of Internal Medicine. The Journal publishes peer-reviewed original articles, reviews, and editorials on all aspects of medicine, including clinical investigations and basic research. Both human and experimental animal studies are welcome, as are new findings on the epidemiology, pathogenesis, diagnosis, and treatment of diseases. Case reports will be published only in exceptional circumstances, when they illustrate a rare occurrence of clinical importance. Letters to the editor are encouraged for specific comments on published articles and general viewpoints.
×
引用
GB/T 7714-2015
复制
MLA
复制
APA
复制
导出至
BibTeX EndNote RefMan NoteFirst NoteExpress
×
提示
您的信息不完整,为了账户安全,请先补充。
现在去补充
×
提示
您因"违规操作"
具体请查看互助需知
我知道了
×
提示
确定
请完成安全验证×
copy
已复制链接
快去分享给好友吧!
我知道了
右上角分享
点击右上角分享
0
联系我们:info@booksci.cn Book学术提供免费学术资源搜索服务,方便国内外学者检索中英文文献。致力于提供最便捷和优质的服务体验。 Copyright © 2023 布克学术 All rights reserved.
京ICP备2023020795号-1
ghs 京公网安备 11010802042870号
Book学术文献互助
Book学术文献互助群
群 号:604180095
Book学术官方微信