熟能生巧,但目的是什么呢?计算机化大脑训练对健康老龄化的认知益处有限。

IF 2.3 3区 心理学 Q2 PSYCHOLOGY, EXPERIMENTAL
Emma Sutton, Jonathan Catling, Jet J C S Veldhuijzen van Zanten, Katrien Segaert
{"title":"熟能生巧,但目的是什么呢?计算机化大脑训练对健康老龄化的认知益处有限。","authors":"Emma Sutton, Jonathan Catling, Jet J C S Veldhuijzen van Zanten, Katrien Segaert","doi":"10.1007/s00426-025-02110-7","DOIUrl":null,"url":null,"abstract":"<p><p>Whether brain training programmes are effective and have transferable benefits to wider cognitive abilities is controversial, especially in older adult populations. We assessed, in a randomised controlled intervention study, whether a commercially available brain training programme can induce cognitive improvements in a sample of healthy older adults (N = 103). Participants completed a three-month intervention of either an adaptive computerised cognitive training programme (through a brain training app) or active control. Cognition was measured through a comprehensive battery of tasks pre- and post-intervention to assess working memory, processing speed, attention, and language functioning. Participants in the intervention group significantly improved on all tasks that were trained specifically within the brain training programme (i.e. practice effects). However, for the cognitive tasks assessed pre- and post-intervention there was no evidence of any of these practice effects transferring to improvements in cognitive outcome measures compared to the active control group (i.e. transfer effects). Our results indicate that the benefits of brain training programmes appear to be limited to practice effects of trained tasks, while no evidence is found for transfer effects to other, related or unrelated, untrained cognitive tasks.</p>","PeriodicalId":48184,"journal":{"name":"Psychological Research-Psychologische Forschung","volume":"89 2","pages":"75"},"PeriodicalIF":2.3000,"publicationDate":"2025-03-24","publicationTypes":"Journal Article","fieldsOfStudy":null,"isOpenAccess":false,"openAccessPdf":"https://www.ncbi.nlm.nih.gov/pmc/articles/PMC11933127/pdf/","citationCount":"0","resultStr":"{\"title\":\"Practice makes perfect, but to what end? Computerised brain training has limited cognitive benefits in healthy ageing.\",\"authors\":\"Emma Sutton, Jonathan Catling, Jet J C S Veldhuijzen van Zanten, Katrien Segaert\",\"doi\":\"10.1007/s00426-025-02110-7\",\"DOIUrl\":null,\"url\":null,\"abstract\":\"<p><p>Whether brain training programmes are effective and have transferable benefits to wider cognitive abilities is controversial, especially in older adult populations. We assessed, in a randomised controlled intervention study, whether a commercially available brain training programme can induce cognitive improvements in a sample of healthy older adults (N = 103). Participants completed a three-month intervention of either an adaptive computerised cognitive training programme (through a brain training app) or active control. Cognition was measured through a comprehensive battery of tasks pre- and post-intervention to assess working memory, processing speed, attention, and language functioning. Participants in the intervention group significantly improved on all tasks that were trained specifically within the brain training programme (i.e. practice effects). However, for the cognitive tasks assessed pre- and post-intervention there was no evidence of any of these practice effects transferring to improvements in cognitive outcome measures compared to the active control group (i.e. transfer effects). Our results indicate that the benefits of brain training programmes appear to be limited to practice effects of trained tasks, while no evidence is found for transfer effects to other, related or unrelated, untrained cognitive tasks.</p>\",\"PeriodicalId\":48184,\"journal\":{\"name\":\"Psychological Research-Psychologische Forschung\",\"volume\":\"89 2\",\"pages\":\"75\"},\"PeriodicalIF\":2.3000,\"publicationDate\":\"2025-03-24\",\"publicationTypes\":\"Journal Article\",\"fieldsOfStudy\":null,\"isOpenAccess\":false,\"openAccessPdf\":\"https://www.ncbi.nlm.nih.gov/pmc/articles/PMC11933127/pdf/\",\"citationCount\":\"0\",\"resultStr\":null,\"platform\":\"Semanticscholar\",\"paperid\":null,\"PeriodicalName\":\"Psychological Research-Psychologische Forschung\",\"FirstCategoryId\":\"102\",\"ListUrlMain\":\"https://doi.org/10.1007/s00426-025-02110-7\",\"RegionNum\":3,\"RegionCategory\":\"心理学\",\"ArticlePicture\":[],\"TitleCN\":null,\"AbstractTextCN\":null,\"PMCID\":null,\"EPubDate\":\"\",\"PubModel\":\"\",\"JCR\":\"Q2\",\"JCRName\":\"PSYCHOLOGY, EXPERIMENTAL\",\"Score\":null,\"Total\":0}","platform":"Semanticscholar","paperid":null,"PeriodicalName":"Psychological Research-Psychologische Forschung","FirstCategoryId":"102","ListUrlMain":"https://doi.org/10.1007/s00426-025-02110-7","RegionNum":3,"RegionCategory":"心理学","ArticlePicture":[],"TitleCN":null,"AbstractTextCN":null,"PMCID":null,"EPubDate":"","PubModel":"","JCR":"Q2","JCRName":"PSYCHOLOGY, EXPERIMENTAL","Score":null,"Total":0}
引用次数: 0

摘要

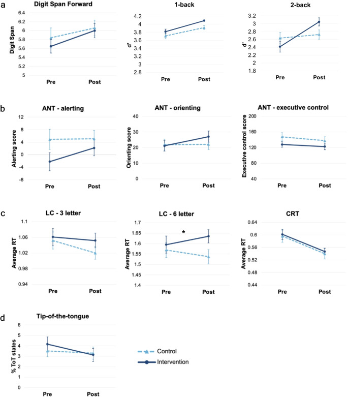
脑力训练计划是否有效,是否能对更广泛的认知能力产生益处,目前还存在争议,尤其是在老年人群中。我们在一项随机对照干预研究中评估了一种市售的大脑训练计划是否能改善健康老年人(103 人)的认知能力。参与者完成了为期三个月的干预,其中包括自适应计算机化认知训练计划(通过大脑训练应用程序)或主动控制。通过干预前后的一系列综合任务对认知能力进行测量,以评估工作记忆、处理速度、注意力和语言功能。干预组的参与者在脑力训练计划中专门训练的所有任务上都有明显改善(即练习效果)。但是,与积极对照组相比,在干预前后评估的认知任务中,没有证据表明这些练习效果会转移到认知结果的改善上(即转移效果)。我们的研究结果表明,脑力训练计划的益处似乎仅限于训练任务的练习效果,而没有证据表明这些效果会转移到其他相关或不相关的、未经训练的认知任务上。
本文章由计算机程序翻译,如有差异,请以英文原文为准。

Practice makes perfect, but to what end? Computerised brain training has limited cognitive benefits in healthy ageing.

Practice makes perfect, but to what end? Computerised brain training has limited cognitive benefits in healthy ageing.

Practice makes perfect, but to what end? Computerised brain training has limited cognitive benefits in healthy ageing.

Practice makes perfect, but to what end? Computerised brain training has limited cognitive benefits in healthy ageing.

Whether brain training programmes are effective and have transferable benefits to wider cognitive abilities is controversial, especially in older adult populations. We assessed, in a randomised controlled intervention study, whether a commercially available brain training programme can induce cognitive improvements in a sample of healthy older adults (N = 103). Participants completed a three-month intervention of either an adaptive computerised cognitive training programme (through a brain training app) or active control. Cognition was measured through a comprehensive battery of tasks pre- and post-intervention to assess working memory, processing speed, attention, and language functioning. Participants in the intervention group significantly improved on all tasks that were trained specifically within the brain training programme (i.e. practice effects). However, for the cognitive tasks assessed pre- and post-intervention there was no evidence of any of these practice effects transferring to improvements in cognitive outcome measures compared to the active control group (i.e. transfer effects). Our results indicate that the benefits of brain training programmes appear to be limited to practice effects of trained tasks, while no evidence is found for transfer effects to other, related or unrelated, untrained cognitive tasks.

求助全文
通过发布文献求助,成功后即可免费获取论文全文。 去求助
来源期刊
CiteScore
5.10
自引率
8.70%
发文量
137
期刊介绍: Psychological Research/Psychologische Forschung publishes articles that contribute to a basic understanding of human perception, attention, memory, and action. The Journal is devoted to the dissemination of knowledge based on firm experimental ground, but not to particular approaches or schools of thought. Theoretical and historical papers are welcome to the extent that they serve this general purpose; papers of an applied nature are acceptable if they contribute to basic understanding or serve to bridge the often felt gap between basic and applied research in the field covered by the Journal.
×
引用
GB/T 7714-2015
复制
MLA
复制
APA
复制
导出至
BibTeX EndNote RefMan NoteFirst NoteExpress
×
提示
您的信息不完整,为了账户安全,请先补充。
现在去补充
×
提示
您因"违规操作"
具体请查看互助需知
我知道了
×
提示
确定
请完成安全验证×
copy
已复制链接
快去分享给好友吧!
我知道了
右上角分享
点击右上角分享
0
联系我们:info@booksci.cn Book学术提供免费学术资源搜索服务,方便国内外学者检索中英文文献。致力于提供最便捷和优质的服务体验。 Copyright © 2023 布克学术 All rights reserved.
京ICP备2023020795号-1
ghs 京公网安备 11010802042870号
Book学术文献互助
Book学术文献互助群
群 号:604180095
Book学术官方微信