声音动作的自动模仿不受群体成员身份的影响。

IF 2.3 3区 心理学 Q2 PSYCHOLOGY, EXPERIMENTAL
Antony S Trotter, Hannah Wilt, Patti Adank
{"title":"声音动作的自动模仿不受群体成员身份的影响。","authors":"Antony S Trotter, Hannah Wilt, Patti Adank","doi":"10.1007/s00426-025-02104-5","DOIUrl":null,"url":null,"abstract":"<p><p>Converging evidence from behavioural, neuroimaging, and neurostimulation studies demonstrates that action observation engages corresponding action production mechanisms, a phenomenon termed covert or automatic imitation. Behaviourally, automatic imitation is measured using the stimulus response compatibility (SRC) task, in which participants produce vocal responses whilst perceiving compatible or incompatible speech distractors. Automatic imitation is measured as the difference in response times (RT) between incompatible and compatible trials. It is unclear if and how social group membership, such as the speaker's sex, affects automatic imitation. Two theoretical accounts make different predictions regarding effects of group membership: the first predicts that automatic imitation can be modulated by group membership, while the second predicts that automatic imitation likely remains unaffected. We tested these predictions for participant sex and distractor sex in an online vocal SRC task. Female and male participants completed an SRC task presenting female or male distractor stimuli. The results show that automatic imitation is not modulated by group membership as signalled by sex. Implications of these results regarding the nature of automatic imitation as a largely stimulus-driven process are considered.</p>","PeriodicalId":48184,"journal":{"name":"Psychological Research-Psychologische Forschung","volume":"89 2","pages":"74"},"PeriodicalIF":2.3000,"publicationDate":"2025-03-24","publicationTypes":"Journal Article","fieldsOfStudy":null,"isOpenAccess":false,"openAccessPdf":"https://www.ncbi.nlm.nih.gov/pmc/articles/PMC11933201/pdf/","citationCount":"0","resultStr":"{\"title\":\"Automatic imitation of vocal actions is unaffected by group membership.\",\"authors\":\"Antony S Trotter, Hannah Wilt, Patti Adank\",\"doi\":\"10.1007/s00426-025-02104-5\",\"DOIUrl\":null,\"url\":null,\"abstract\":\"<p><p>Converging evidence from behavioural, neuroimaging, and neurostimulation studies demonstrates that action observation engages corresponding action production mechanisms, a phenomenon termed covert or automatic imitation. Behaviourally, automatic imitation is measured using the stimulus response compatibility (SRC) task, in which participants produce vocal responses whilst perceiving compatible or incompatible speech distractors. Automatic imitation is measured as the difference in response times (RT) between incompatible and compatible trials. It is unclear if and how social group membership, such as the speaker's sex, affects automatic imitation. Two theoretical accounts make different predictions regarding effects of group membership: the first predicts that automatic imitation can be modulated by group membership, while the second predicts that automatic imitation likely remains unaffected. We tested these predictions for participant sex and distractor sex in an online vocal SRC task. Female and male participants completed an SRC task presenting female or male distractor stimuli. The results show that automatic imitation is not modulated by group membership as signalled by sex. Implications of these results regarding the nature of automatic imitation as a largely stimulus-driven process are considered.</p>\",\"PeriodicalId\":48184,\"journal\":{\"name\":\"Psychological Research-Psychologische Forschung\",\"volume\":\"89 2\",\"pages\":\"74\"},\"PeriodicalIF\":2.3000,\"publicationDate\":\"2025-03-24\",\"publicationTypes\":\"Journal Article\",\"fieldsOfStudy\":null,\"isOpenAccess\":false,\"openAccessPdf\":\"https://www.ncbi.nlm.nih.gov/pmc/articles/PMC11933201/pdf/\",\"citationCount\":\"0\",\"resultStr\":null,\"platform\":\"Semanticscholar\",\"paperid\":null,\"PeriodicalName\":\"Psychological Research-Psychologische Forschung\",\"FirstCategoryId\":\"102\",\"ListUrlMain\":\"https://doi.org/10.1007/s00426-025-02104-5\",\"RegionNum\":3,\"RegionCategory\":\"心理学\",\"ArticlePicture\":[],\"TitleCN\":null,\"AbstractTextCN\":null,\"PMCID\":null,\"EPubDate\":\"\",\"PubModel\":\"\",\"JCR\":\"Q2\",\"JCRName\":\"PSYCHOLOGY, EXPERIMENTAL\",\"Score\":null,\"Total\":0}","platform":"Semanticscholar","paperid":null,"PeriodicalName":"Psychological Research-Psychologische Forschung","FirstCategoryId":"102","ListUrlMain":"https://doi.org/10.1007/s00426-025-02104-5","RegionNum":3,"RegionCategory":"心理学","ArticlePicture":[],"TitleCN":null,"AbstractTextCN":null,"PMCID":null,"EPubDate":"","PubModel":"","JCR":"Q2","JCRName":"PSYCHOLOGY, EXPERIMENTAL","Score":null,"Total":0}
引用次数: 0

摘要

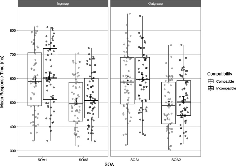
来自行为学、神经影像学和神经刺激研究的综合证据表明,动作观察会调动相应的动作产生机制,这种现象被称为隐蔽模仿或自动模仿。在行为学上,自动模仿是通过刺激反应相容性(SRC)任务来测量的,在该任务中,参与者在感知相容或不相容的语音干扰物时产生发声反应。自动模仿以不兼容和兼容试验之间反应时间(RT)的差异来衡量。目前还不清楚社会群体成员身份(如说话者的性别)是否以及如何影响自动模仿。有两种理论对群体成员身份的影响做出了不同的预测:第一种预测认为,自动模仿会受到群体成员身份的调节,而第二种预测则认为,自动模仿很可能不受影响。我们在一项在线声乐 SRC 任务中测试了这些预测对参与者性别和分心者性别的影响。女性和男性参与者分别完成了一个呈现女性或男性分心刺激物的 SRC 任务。结果表明,自动模仿不受性别所代表的群体成员身份的影响。这些结果对自动模仿作为一个主要由刺激驱动的过程的性质的影响进行了探讨。
本文章由计算机程序翻译,如有差异,请以英文原文为准。

Automatic imitation of vocal actions is unaffected by group membership.

Automatic imitation of vocal actions is unaffected by group membership.

Automatic imitation of vocal actions is unaffected by group membership.

Automatic imitation of vocal actions is unaffected by group membership.

Converging evidence from behavioural, neuroimaging, and neurostimulation studies demonstrates that action observation engages corresponding action production mechanisms, a phenomenon termed covert or automatic imitation. Behaviourally, automatic imitation is measured using the stimulus response compatibility (SRC) task, in which participants produce vocal responses whilst perceiving compatible or incompatible speech distractors. Automatic imitation is measured as the difference in response times (RT) between incompatible and compatible trials. It is unclear if and how social group membership, such as the speaker's sex, affects automatic imitation. Two theoretical accounts make different predictions regarding effects of group membership: the first predicts that automatic imitation can be modulated by group membership, while the second predicts that automatic imitation likely remains unaffected. We tested these predictions for participant sex and distractor sex in an online vocal SRC task. Female and male participants completed an SRC task presenting female or male distractor stimuli. The results show that automatic imitation is not modulated by group membership as signalled by sex. Implications of these results regarding the nature of automatic imitation as a largely stimulus-driven process are considered.

求助全文
通过发布文献求助,成功后即可免费获取论文全文。 去求助
来源期刊
CiteScore
5.10
自引率
8.70%
发文量
137
期刊介绍: Psychological Research/Psychologische Forschung publishes articles that contribute to a basic understanding of human perception, attention, memory, and action. The Journal is devoted to the dissemination of knowledge based on firm experimental ground, but not to particular approaches or schools of thought. Theoretical and historical papers are welcome to the extent that they serve this general purpose; papers of an applied nature are acceptable if they contribute to basic understanding or serve to bridge the often felt gap between basic and applied research in the field covered by the Journal.
×
引用
GB/T 7714-2015
复制
MLA
复制
APA
复制
导出至
BibTeX EndNote RefMan NoteFirst NoteExpress
×
提示
您的信息不完整,为了账户安全,请先补充。
现在去补充
×
提示
您因"违规操作"
具体请查看互助需知
我知道了
×
提示
确定
请完成安全验证×
copy
已复制链接
快去分享给好友吧!
我知道了
右上角分享
点击右上角分享
0
联系我们:info@booksci.cn Book学术提供免费学术资源搜索服务,方便国内外学者检索中英文文献。致力于提供最便捷和优质的服务体验。 Copyright © 2023 布克学术 All rights reserved.
京ICP备2023020795号-1
ghs 京公网安备 11010802042870号
Book学术文献互助
Book学术文献互助群
群 号:604180095
Book学术官方微信