盆腔器官脱垂与绝经期激素治疗的关系:全国性队列研究。

IF 1.9 Q2 OBSTETRICS & GYNECOLOGY
Obstetrics and Gynecology Science Pub Date : 2025-05-01 Epub Date: 2025-03-24 DOI:10.5468/ogs.24071
Hee-Yeong Jung, Tae-Ran Kim, Gwan Hee Han, Jin-Sung Yuk
{"title":"盆腔器官脱垂与绝经期激素治疗的关系:全国性队列研究。","authors":"Hee-Yeong Jung, Tae-Ran Kim, Gwan Hee Han, Jin-Sung Yuk","doi":"10.5468/ogs.24071","DOIUrl":null,"url":null,"abstract":"<p><strong>Objective: </strong>To analyze the relationship between pelvic organ prolapse (POP) and menopausal hormone therapy (MHT).</p><p><strong>Methods: </strong>This retrospective cohort study used Korean National Health checkup and insurance data from 2002 to 2019. Women who used MHT for more than 6 months between 2002 and 2011 were included in the MHT group; postmenopausal women with no MHT use comprised the non-MHT group.</p><p><strong>Results: </strong>In the non-MHT group, there were 1,001,350 women, while the MHT group had 353,206 women. Tibolone (adjusted hazard ratio [aHR], 0.87; 99% confidence interval [CI], 0.818-0.926) and combined estrogen plus progestin by the manufacturer (CEPM) (aHR, 0.821; 99% CI, 0.758-0.89) were associated with reduced POP risk. The other oral MHT groups and the transdermal estrogen group showed no significant difference in POP risk compared with the non-MHT group (other oral MHT: aHR, 1.045; 99% CI, 0.941-1.161) (transdermal estrogen: aHR, 1.252; 99% CI, 0.731-2.145). Lower body mass index (BMI) (<18.5) was associated with reduced POP risk (aHR, 0.822; 99% CI, 0.698-0.968), while a BMI between 23 and 29.9 was associated with increased risk (BMI 23-24.9: aHR, 1.143; 99% CI, 1.088-1.2) (BMI 25-29.9: aHR, 1.173; 99% CI, 1.12-1.228). All parities had a higher POP risk than parity 1 (parity 0 or no response: aHR, 1.785; 99% CI, 1.589-2.005; parity 2: aHR, 1.434; 99% CI, 1.292-1.592; parity ≥3: aHR, 1.916; 99% CI, 1.712-2.144).</p><p><strong>Conclusion: </strong>Tibolone and CEPM use were associated with reduced POP risk in postmenopausal women. Other MHT types showed no significant association with POP.</p>","PeriodicalId":37602,"journal":{"name":"Obstetrics and Gynecology Science","volume":" ","pages":"210-220"},"PeriodicalIF":1.9000,"publicationDate":"2025-05-01","publicationTypes":"Journal Article","fieldsOfStudy":null,"isOpenAccess":false,"openAccessPdf":"https://www.ncbi.nlm.nih.gov/pmc/articles/PMC12104620/pdf/","citationCount":"0","resultStr":"{\"title\":\"Relation between pelvic organ prolapse and menopausal hormone therapy: nationwide cohort study.\",\"authors\":\"Hee-Yeong Jung, Tae-Ran Kim, Gwan Hee Han, Jin-Sung Yuk\",\"doi\":\"10.5468/ogs.24071\",\"DOIUrl\":null,\"url\":null,\"abstract\":\"<p><strong>Objective: </strong>To analyze the relationship between pelvic organ prolapse (POP) and menopausal hormone therapy (MHT).</p><p><strong>Methods: </strong>This retrospective cohort study used Korean National Health checkup and insurance data from 2002 to 2019. Women who used MHT for more than 6 months between 2002 and 2011 were included in the MHT group; postmenopausal women with no MHT use comprised the non-MHT group.</p><p><strong>Results: </strong>In the non-MHT group, there were 1,001,350 women, while the MHT group had 353,206 women. Tibolone (adjusted hazard ratio [aHR], 0.87; 99% confidence interval [CI], 0.818-0.926) and combined estrogen plus progestin by the manufacturer (CEPM) (aHR, 0.821; 99% CI, 0.758-0.89) were associated with reduced POP risk. The other oral MHT groups and the transdermal estrogen group showed no significant difference in POP risk compared with the non-MHT group (other oral MHT: aHR, 1.045; 99% CI, 0.941-1.161) (transdermal estrogen: aHR, 1.252; 99% CI, 0.731-2.145). Lower body mass index (BMI) (<18.5) was associated with reduced POP risk (aHR, 0.822; 99% CI, 0.698-0.968), while a BMI between 23 and 29.9 was associated with increased risk (BMI 23-24.9: aHR, 1.143; 99% CI, 1.088-1.2) (BMI 25-29.9: aHR, 1.173; 99% CI, 1.12-1.228). All parities had a higher POP risk than parity 1 (parity 0 or no response: aHR, 1.785; 99% CI, 1.589-2.005; parity 2: aHR, 1.434; 99% CI, 1.292-1.592; parity ≥3: aHR, 1.916; 99% CI, 1.712-2.144).</p><p><strong>Conclusion: </strong>Tibolone and CEPM use were associated with reduced POP risk in postmenopausal women. Other MHT types showed no significant association with POP.</p>\",\"PeriodicalId\":37602,\"journal\":{\"name\":\"Obstetrics and Gynecology Science\",\"volume\":\" \",\"pages\":\"210-220\"},\"PeriodicalIF\":1.9000,\"publicationDate\":\"2025-05-01\",\"publicationTypes\":\"Journal Article\",\"fieldsOfStudy\":null,\"isOpenAccess\":false,\"openAccessPdf\":\"https://www.ncbi.nlm.nih.gov/pmc/articles/PMC12104620/pdf/\",\"citationCount\":\"0\",\"resultStr\":null,\"platform\":\"Semanticscholar\",\"paperid\":null,\"PeriodicalName\":\"Obstetrics and Gynecology Science\",\"FirstCategoryId\":\"1085\",\"ListUrlMain\":\"https://doi.org/10.5468/ogs.24071\",\"RegionNum\":0,\"RegionCategory\":null,\"ArticlePicture\":[],\"TitleCN\":null,\"AbstractTextCN\":null,\"PMCID\":null,\"EPubDate\":\"2025/3/24 0:00:00\",\"PubModel\":\"Epub\",\"JCR\":\"Q2\",\"JCRName\":\"OBSTETRICS & GYNECOLOGY\",\"Score\":null,\"Total\":0}","platform":"Semanticscholar","paperid":null,"PeriodicalName":"Obstetrics and Gynecology Science","FirstCategoryId":"1085","ListUrlMain":"https://doi.org/10.5468/ogs.24071","RegionNum":0,"RegionCategory":null,"ArticlePicture":[],"TitleCN":null,"AbstractTextCN":null,"PMCID":null,"EPubDate":"2025/3/24 0:00:00","PubModel":"Epub","JCR":"Q2","JCRName":"OBSTETRICS & GYNECOLOGY","Score":null,"Total":0}
引用次数: 0

摘要

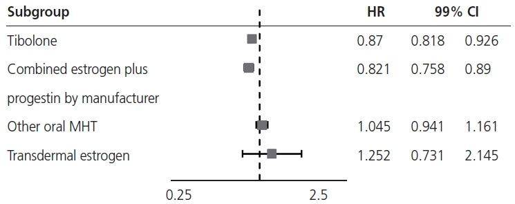
目的:分析盆腔器官脱垂(POP)与绝经期激素治疗(MHT)的关系。方法:回顾性队列研究使用2002 - 2019年韩国国民健康检查和保险数据。MHT组由2002年至2011年间服用更年期激素超过6个月的妇女组成。非MHT组包括从未使用过MHT的绝经后妇女。结果:在非MHT组中,有1001350名妇女,而MHT组有353206名妇女。替博龙(校正风险比[aHR], 0.87;99%可信区间[CI], 0.818-0.926)和制造商联合雌激素加黄体激素(CEPM) (aHR, 0.821;99% CI, 0.758-0.89)与降低POP风险相关。其他口服MHT组和透皮雌激素组与非MHT组相比,POP风险无显著差异(其他口服MHT: aHR, 1.045;99% CI, 0.941-1.161)(经皮雌激素:aHR, 1.252;99% ci, 0.731-2.145)。结论:绝经后,与非mht相比,替博酮和CEPM与POP风险降低相关。其他口服MHT和经皮雌激素与POP的风险无关。
本文章由计算机程序翻译,如有差异,请以英文原文为准。

Relation between pelvic organ prolapse and menopausal hormone therapy: nationwide cohort study.

Relation between pelvic organ prolapse and menopausal hormone therapy: nationwide cohort study.

Relation between pelvic organ prolapse and menopausal hormone therapy: nationwide cohort study.

Objective: To analyze the relationship between pelvic organ prolapse (POP) and menopausal hormone therapy (MHT).

Methods: This retrospective cohort study used Korean National Health checkup and insurance data from 2002 to 2019. Women who used MHT for more than 6 months between 2002 and 2011 were included in the MHT group; postmenopausal women with no MHT use comprised the non-MHT group.

Results: In the non-MHT group, there were 1,001,350 women, while the MHT group had 353,206 women. Tibolone (adjusted hazard ratio [aHR], 0.87; 99% confidence interval [CI], 0.818-0.926) and combined estrogen plus progestin by the manufacturer (CEPM) (aHR, 0.821; 99% CI, 0.758-0.89) were associated with reduced POP risk. The other oral MHT groups and the transdermal estrogen group showed no significant difference in POP risk compared with the non-MHT group (other oral MHT: aHR, 1.045; 99% CI, 0.941-1.161) (transdermal estrogen: aHR, 1.252; 99% CI, 0.731-2.145). Lower body mass index (BMI) (<18.5) was associated with reduced POP risk (aHR, 0.822; 99% CI, 0.698-0.968), while a BMI between 23 and 29.9 was associated with increased risk (BMI 23-24.9: aHR, 1.143; 99% CI, 1.088-1.2) (BMI 25-29.9: aHR, 1.173; 99% CI, 1.12-1.228). All parities had a higher POP risk than parity 1 (parity 0 or no response: aHR, 1.785; 99% CI, 1.589-2.005; parity 2: aHR, 1.434; 99% CI, 1.292-1.592; parity ≥3: aHR, 1.916; 99% CI, 1.712-2.144).

Conclusion: Tibolone and CEPM use were associated with reduced POP risk in postmenopausal women. Other MHT types showed no significant association with POP.

求助全文
通过发布文献求助,成功后即可免费获取论文全文。 去求助
来源期刊
Obstetrics and Gynecology Science
Obstetrics and Gynecology Science Medicine-Obstetrics and Gynecology
CiteScore
3.80
自引率
15.80%
发文量
58
审稿时长
16 weeks
期刊介绍: Obstetrics & Gynecology Science (NLM title: Obstet Gynecol Sci) is an international peer-review journal that published basic, translational, clinical research, and clinical practice guideline to promote women’s health and prevent obstetric and gynecologic disorders. The journal has an international editorial board and is published in English on the 15th day of every other month. Submitted manuscripts should not contain previously published material and should not be under consideration for publication elsewhere. The journal has been publishing articles since 1958. The aim of the journal is to publish original articles, reviews, case reports, short communications, letters to the editor, and video articles that have the potential to change the practices in women''s health care. The journal’s main focus is the diagnosis, treatment, prediction, and prevention of obstetric and gynecologic disorders. Because the life expectancy of Korean and Asian women is increasing, the journal''s editors are particularly interested in the health of elderly women in these population groups. The journal also publishes articles about reproductive biology, stem cell research, and artificial intelligence research for women; additionally, it provides insights into the physiology and mechanisms of obstetric and gynecologic diseases.
×
引用
GB/T 7714-2015
复制
MLA
复制
APA
复制
导出至
BibTeX EndNote RefMan NoteFirst NoteExpress
×
提示
您的信息不完整,为了账户安全,请先补充。
现在去补充
×
提示
您因"违规操作"
具体请查看互助需知
我知道了
×
提示
确定
请完成安全验证×
copy
已复制链接
快去分享给好友吧!
我知道了
右上角分享
点击右上角分享
0
联系我们:info@booksci.cn Book学术提供免费学术资源搜索服务,方便国内外学者检索中英文文献。致力于提供最便捷和优质的服务体验。 Copyright © 2023 布克学术 All rights reserved.
京ICP备2023020795号-1
ghs 京公网安备 11010802042870号
Book学术文献互助
Book学术文献互助群
群 号:604180095
Book学术官方微信