丙型肝炎阴性受者接受丙型肝炎阳性实体器官移植后的直接作用抗病毒治疗失败和再治疗策略:多中心病例系列。

IF 2.6 4区 医学 Q3 IMMUNOLOGY
Alicia B Carver, Claire Özoral, Morgan Lange, Alysa Mattise, Kristen Whelchel, Roman Perri
{"title":"丙型肝炎阴性受者接受丙型肝炎阳性实体器官移植后的直接作用抗病毒治疗失败和再治疗策略:多中心病例系列。","authors":"Alicia B Carver, Claire Özoral, Morgan Lange, Alysa Mattise, Kristen Whelchel, Roman Perri","doi":"10.1111/tid.70024","DOIUrl":null,"url":null,"abstract":"<p><strong>Background: </strong>Transplanting solid organs from hepatitis C virus (HCV) nucleic acid testing (NAT+) donors (D+) into HCV-negative recipients (R-) has become more common with the development of curative direct-acting antiviral (DAA) treatment. Limited information exists to guide retreatment strategies for patients not achieving sustained virologic response (SVR) with DAAs. This multisite case series examines retreatment strategies and subsequent SVR rates in HCV-negative solid-organ transplant (SOT) recipients who did not achieve SVR following reactive initial DAA therapy following NAT+ SOT.</p><p><strong>Methods: </strong>A retrospective multisite case series was conducted on patients not achieving SVR with initial DAA treatment post-NAT+ HCV SOT between September 2016 and September 2022 across four tertiary medical centers in the United States.</p><p><strong>Results: </strong>Thirteen patients were identified, predominantly receiving HCV NAT+ kidneys (77%) and SOF/VEL for 12 weeks as initial DAA therapy (43%). Baseline resistance testing was not performed. Median time to treatment initiation post-SOT was 35 [IQR 22-41] days, and to retreatment postpositive viral load was 35 days [IQR 17-76]. Most patients (62%) were retreated with sofosbuvir/velpatasvir/voxilaprevir (SOF/VEL/VOX) for 12 weeks. Two patients required retreatment extension with SOF/VEL/VOX and SOF/VEL/VOX + ribavirin (RBV) from 12 to 24 weeks due to persistent viremia. Only one patient did not achieve SVR following retreatment with SOF/VEL/VOX for 12 weeks but did achieve SVR after a third course of treatment with SOF + GLE/PIB + RBV for 24 weeks.</p><p><strong>Conclusion: </strong>Despite initial DAA failures, all HCV-negative SOT recipients achieved SVR following one or more courses of retreatment with DAAs.</p>","PeriodicalId":23318,"journal":{"name":"Transplant Infectious Disease","volume":" ","pages":"e70024"},"PeriodicalIF":2.6000,"publicationDate":"2025-03-24","publicationTypes":"Journal Article","fieldsOfStudy":null,"isOpenAccess":false,"openAccessPdf":"https://www.ncbi.nlm.nih.gov/pmc/articles/PMC12205276/pdf/","citationCount":"0","resultStr":"{\"title\":\"Direct-Acting Antiviral Treatment Failure and Retreatment Strategies Following Hepatitis C-Positive Solid Organ Transplantation in Hepatitis C-Negative Recipients: A Multicenter Case Series.\",\"authors\":\"Alicia B Carver, Claire Özoral, Morgan Lange, Alysa Mattise, Kristen Whelchel, Roman Perri\",\"doi\":\"10.1111/tid.70024\",\"DOIUrl\":null,\"url\":null,\"abstract\":\"<p><strong>Background: </strong>Transplanting solid organs from hepatitis C virus (HCV) nucleic acid testing (NAT+) donors (D+) into HCV-negative recipients (R-) has become more common with the development of curative direct-acting antiviral (DAA) treatment. Limited information exists to guide retreatment strategies for patients not achieving sustained virologic response (SVR) with DAAs. This multisite case series examines retreatment strategies and subsequent SVR rates in HCV-negative solid-organ transplant (SOT) recipients who did not achieve SVR following reactive initial DAA therapy following NAT+ SOT.</p><p><strong>Methods: </strong>A retrospective multisite case series was conducted on patients not achieving SVR with initial DAA treatment post-NAT+ HCV SOT between September 2016 and September 2022 across four tertiary medical centers in the United States.</p><p><strong>Results: </strong>Thirteen patients were identified, predominantly receiving HCV NAT+ kidneys (77%) and SOF/VEL for 12 weeks as initial DAA therapy (43%). Baseline resistance testing was not performed. Median time to treatment initiation post-SOT was 35 [IQR 22-41] days, and to retreatment postpositive viral load was 35 days [IQR 17-76]. Most patients (62%) were retreated with sofosbuvir/velpatasvir/voxilaprevir (SOF/VEL/VOX) for 12 weeks. Two patients required retreatment extension with SOF/VEL/VOX and SOF/VEL/VOX + ribavirin (RBV) from 12 to 24 weeks due to persistent viremia. Only one patient did not achieve SVR following retreatment with SOF/VEL/VOX for 12 weeks but did achieve SVR after a third course of treatment with SOF + GLE/PIB + RBV for 24 weeks.</p><p><strong>Conclusion: </strong>Despite initial DAA failures, all HCV-negative SOT recipients achieved SVR following one or more courses of retreatment with DAAs.</p>\",\"PeriodicalId\":23318,\"journal\":{\"name\":\"Transplant Infectious Disease\",\"volume\":\" \",\"pages\":\"e70024\"},\"PeriodicalIF\":2.6000,\"publicationDate\":\"2025-03-24\",\"publicationTypes\":\"Journal Article\",\"fieldsOfStudy\":null,\"isOpenAccess\":false,\"openAccessPdf\":\"https://www.ncbi.nlm.nih.gov/pmc/articles/PMC12205276/pdf/\",\"citationCount\":\"0\",\"resultStr\":null,\"platform\":\"Semanticscholar\",\"paperid\":null,\"PeriodicalName\":\"Transplant Infectious Disease\",\"FirstCategoryId\":\"3\",\"ListUrlMain\":\"https://doi.org/10.1111/tid.70024\",\"RegionNum\":4,\"RegionCategory\":\"医学\",\"ArticlePicture\":[],\"TitleCN\":null,\"AbstractTextCN\":null,\"PMCID\":null,\"EPubDate\":\"\",\"PubModel\":\"\",\"JCR\":\"Q3\",\"JCRName\":\"IMMUNOLOGY\",\"Score\":null,\"Total\":0}","platform":"Semanticscholar","paperid":null,"PeriodicalName":"Transplant Infectious Disease","FirstCategoryId":"3","ListUrlMain":"https://doi.org/10.1111/tid.70024","RegionNum":4,"RegionCategory":"医学","ArticlePicture":[],"TitleCN":null,"AbstractTextCN":null,"PMCID":null,"EPubDate":"","PubModel":"","JCR":"Q3","JCRName":"IMMUNOLOGY","Score":null,"Total":0}
引用次数: 0

摘要

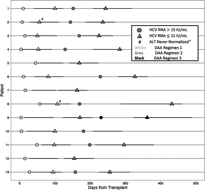
背景:随着直接作用抗病毒疗法(DAA)的发展,将丙型肝炎病毒(HCV)核酸检测(NAT+)供体(D+)的实体器官移植给 HCV 阴性受体(R-)已变得越来越普遍。对于使用 DAA 治疗未获得持续病毒学应答(SVR)的患者,用于指导再治疗策略的信息非常有限。本多站病例系列研究了NAT+ SOT后经反应性初始DAA治疗未获得SVR的HCV阴性实体器官移植(SOT)受者的再治疗策略和后续SVR率:2016年9月至2022年9月期间,美国四家三级医疗中心对NAT+ HCV SOT后初始DAA治疗未达到SVR的患者进行了回顾性多点病例系列研究:共发现13例患者,主要接受HCV NAT+肾脏(77%)和SOF/VEL 12周的初始DAA治疗(43%)。未进行基线耐药性检测。SOT后开始治疗的中位时间为35天[IQR 22-41],病毒载量阳性后再治疗的中位时间为35天[IQR 17-76]。大多数患者(62%)接受了为期 12 周的索非布韦/韦帕他韦/沃西普韦(SOF/VEL/VOX)再治疗。两名患者由于病毒血症持续存在,需要延长索非布韦/VEL/VOX和索非布韦/VEL/VOX+利巴韦林(RBV)的再治疗时间,从12周延长至24周。只有一名患者在接受为期12周的SOF/VEL/VOX再治疗后未获得SVR,但在接受为期24周的SOF + GLE/PIB + RBV第三个疗程后获得了SVR:尽管最初的DAA治疗失败,但所有HCV阴性的SOT受者在接受一个或多个疗程的DAA再治疗后都获得了SVR。
本文章由计算机程序翻译,如有差异,请以英文原文为准。

Direct-Acting Antiviral Treatment Failure and Retreatment Strategies Following Hepatitis C-Positive Solid Organ Transplantation in Hepatitis C-Negative Recipients: A Multicenter Case Series.

Direct-Acting Antiviral Treatment Failure and Retreatment Strategies Following Hepatitis C-Positive Solid Organ Transplantation in Hepatitis C-Negative Recipients: A Multicenter Case Series.

Direct-Acting Antiviral Treatment Failure and Retreatment Strategies Following Hepatitis C-Positive Solid Organ Transplantation in Hepatitis C-Negative Recipients: A Multicenter Case Series.

Background: Transplanting solid organs from hepatitis C virus (HCV) nucleic acid testing (NAT+) donors (D+) into HCV-negative recipients (R-) has become more common with the development of curative direct-acting antiviral (DAA) treatment. Limited information exists to guide retreatment strategies for patients not achieving sustained virologic response (SVR) with DAAs. This multisite case series examines retreatment strategies and subsequent SVR rates in HCV-negative solid-organ transplant (SOT) recipients who did not achieve SVR following reactive initial DAA therapy following NAT+ SOT.

Methods: A retrospective multisite case series was conducted on patients not achieving SVR with initial DAA treatment post-NAT+ HCV SOT between September 2016 and September 2022 across four tertiary medical centers in the United States.

Results: Thirteen patients were identified, predominantly receiving HCV NAT+ kidneys (77%) and SOF/VEL for 12 weeks as initial DAA therapy (43%). Baseline resistance testing was not performed. Median time to treatment initiation post-SOT was 35 [IQR 22-41] days, and to retreatment postpositive viral load was 35 days [IQR 17-76]. Most patients (62%) were retreated with sofosbuvir/velpatasvir/voxilaprevir (SOF/VEL/VOX) for 12 weeks. Two patients required retreatment extension with SOF/VEL/VOX and SOF/VEL/VOX + ribavirin (RBV) from 12 to 24 weeks due to persistent viremia. Only one patient did not achieve SVR following retreatment with SOF/VEL/VOX for 12 weeks but did achieve SVR after a third course of treatment with SOF + GLE/PIB + RBV for 24 weeks.

Conclusion: Despite initial DAA failures, all HCV-negative SOT recipients achieved SVR following one or more courses of retreatment with DAAs.

求助全文
通过发布文献求助,成功后即可免费获取论文全文。 去求助
来源期刊
Transplant Infectious Disease
Transplant Infectious Disease 医学-传染病学
CiteScore
5.30
自引率
7.70%
发文量
210
审稿时长
4-8 weeks
期刊介绍: Transplant Infectious Disease has been established as a forum for presenting the most current information on the prevention and treatment of infection complicating organ and bone marrow transplantation. The point of view of the journal is that infection and allograft rejection (or graft-versus-host disease) are closely intertwined, and that advances in one area will have immediate consequences on the other. The interaction of the transplant recipient with potential microbial invaders, the impact of immunosuppressive strategies on this interaction, and the effects of cytokines, growth factors, and chemokines liberated during the course of infections, rejection, or graft-versus-host disease are central to the interests and mission of this journal. Transplant Infectious Disease is aimed at disseminating the latest information relevant to the infectious disease complications of transplantation to clinicians and scientists involved in bone marrow, kidney, liver, heart, lung, intestinal, and pancreatic transplantation. The infectious disease consequences and concerns regarding innovative transplant strategies, from novel immunosuppressive agents to xenotransplantation, are very much a concern of this journal. In addition, this journal feels a particular responsibility to inform primary care practitioners in the community, who increasingly are sharing the responsibility for the care of these patients, of the special considerations regarding the prevention and treatment of infection in transplant recipients. As exemplified by the international editorial board, articles are sought throughout the world that address both general issues and those of a more restricted geographic import.
×
引用
GB/T 7714-2015
复制
MLA
复制
APA
复制
导出至
BibTeX EndNote RefMan NoteFirst NoteExpress
×
提示
您的信息不完整,为了账户安全,请先补充。
现在去补充
×
提示
您因"违规操作"
具体请查看互助需知
我知道了
×
提示
确定
请完成安全验证×
copy
已复制链接
快去分享给好友吧!
我知道了
右上角分享
点击右上角分享
0
联系我们:info@booksci.cn Book学术提供免费学术资源搜索服务,方便国内外学者检索中英文文献。致力于提供最便捷和优质的服务体验。 Copyright © 2023 布克学术 All rights reserved.
京ICP备2023020795号-1
ghs 京公网安备 11010802042870号
Book学术文献互助
Book学术文献互助群
群 号:604180095
Book学术官方微信