类风湿性关节炎与牙周炎之间的关系:一项基于双样本泯灭随机分析的研究。

IF 2.1 3区 医学 Q2 DENTISTRY, ORAL SURGERY & MEDICINE
Q Cai, C Li, Z Quan, X Yang, T Chen, X Han, X Xu
{"title":"类风湿性关节炎与牙周炎之间的关系:一项基于双样本泯灭随机分析的研究。","authors":"Q Cai, C Li, Z Quan, X Yang, T Chen, X Han, X Xu","doi":"10.4317/medoral.26848","DOIUrl":null,"url":null,"abstract":"<p><strong>Background: </strong>The association between Rheumatoid arthritis (RA) and Periodontitis (PD) has been increasingly recognised, yet traditional epidemiological studies face challenges in establishing associations. Therefore, this study aims to genetically assess the association between RA and PD through Mendelian randomisation (MR) analysis, using genetic variations as instrumental variables.</p><p><strong>Material and methods: </strong>Data on RA and PD were downloaded from the EBI website. The RA data contained 8,255 cases and 409,001 controls, with a total of 24,175,266 SNPs; the chronic PD data contained 950 cases and 409,001 controls, with a total of 11,842,647 SNPs; the acute PD data contained 128 cases and 456,220 controls, with a total of 11,842,647 SNPs. Additionally, the potential association between RA and PD was investigated. The intercept between Mendelian randomisation (MR)-Egger regression, MR-PRESSO test results and funnel plots was used to analyse the horizontal pleiotropy of SNPs along with the effect of individual SNPs on inverse-variance weighting (IVW) analysis results, assessed using the leave-one-out method.</p><p><strong>Results: </strong>In total, 26 SNPs highly associated with RA were screened; MR-Egger regression (OR=1.242, 95% CI (1.032-1.494), P=0.031), WM (OR=1.190, 95% CI (1.015-1.395), P=0.032), IVW (OR=1.191, 95% CI (1.053-1.348), P=0.006) and weighted mode (OR=1.212, 95% CI (1.043-1.409), P=0.019) suggested that RA was a likelihood factor for chronic PD, whereas RA was not associated with the incidence of acute PD, and the Cochran's Q test indicated no statistical heterogeneity between SNPs highly associated with RA. Moreover, analyses using the intercept between the MR-Egger regression, MR-PRESSO test results and funnel plot revealed no horizontal pleiotropy in SNPs highly associated with RA.</p><p><strong>Conclusions: </strong>Rheumatoid arthritis was genetically identified as a likelihood factor for PD and the onset of chronic PD, but no association was observed between RA and acute PD.</p>","PeriodicalId":49016,"journal":{"name":"Medicina Oral Patologia Oral Y Cirugia Bucal","volume":" ","pages":"e354-e362"},"PeriodicalIF":2.1000,"publicationDate":"2025-05-01","publicationTypes":"Journal Article","fieldsOfStudy":null,"isOpenAccess":false,"openAccessPdf":"https://www.ncbi.nlm.nih.gov/pmc/articles/PMC12019653/pdf/","citationCount":"0","resultStr":"{\"title\":\"Association between rheumatoid arthritis and periodontitis: a study based on a two-sample mendelian randomisation analysis.\",\"authors\":\"Q Cai, C Li, Z Quan, X Yang, T Chen, X Han, X Xu\",\"doi\":\"10.4317/medoral.26848\",\"DOIUrl\":null,\"url\":null,\"abstract\":\"<p><strong>Background: </strong>The association between Rheumatoid arthritis (RA) and Periodontitis (PD) has been increasingly recognised, yet traditional epidemiological studies face challenges in establishing associations. Therefore, this study aims to genetically assess the association between RA and PD through Mendelian randomisation (MR) analysis, using genetic variations as instrumental variables.</p><p><strong>Material and methods: </strong>Data on RA and PD were downloaded from the EBI website. The RA data contained 8,255 cases and 409,001 controls, with a total of 24,175,266 SNPs; the chronic PD data contained 950 cases and 409,001 controls, with a total of 11,842,647 SNPs; the acute PD data contained 128 cases and 456,220 controls, with a total of 11,842,647 SNPs. Additionally, the potential association between RA and PD was investigated. The intercept between Mendelian randomisation (MR)-Egger regression, MR-PRESSO test results and funnel plots was used to analyse the horizontal pleiotropy of SNPs along with the effect of individual SNPs on inverse-variance weighting (IVW) analysis results, assessed using the leave-one-out method.</p><p><strong>Results: </strong>In total, 26 SNPs highly associated with RA were screened; MR-Egger regression (OR=1.242, 95% CI (1.032-1.494), P=0.031), WM (OR=1.190, 95% CI (1.015-1.395), P=0.032), IVW (OR=1.191, 95% CI (1.053-1.348), P=0.006) and weighted mode (OR=1.212, 95% CI (1.043-1.409), P=0.019) suggested that RA was a likelihood factor for chronic PD, whereas RA was not associated with the incidence of acute PD, and the Cochran's Q test indicated no statistical heterogeneity between SNPs highly associated with RA. Moreover, analyses using the intercept between the MR-Egger regression, MR-PRESSO test results and funnel plot revealed no horizontal pleiotropy in SNPs highly associated with RA.</p><p><strong>Conclusions: </strong>Rheumatoid arthritis was genetically identified as a likelihood factor for PD and the onset of chronic PD, but no association was observed between RA and acute PD.</p>\",\"PeriodicalId\":49016,\"journal\":{\"name\":\"Medicina Oral Patologia Oral Y Cirugia Bucal\",\"volume\":\" \",\"pages\":\"e354-e362\"},\"PeriodicalIF\":2.1000,\"publicationDate\":\"2025-05-01\",\"publicationTypes\":\"Journal Article\",\"fieldsOfStudy\":null,\"isOpenAccess\":false,\"openAccessPdf\":\"https://www.ncbi.nlm.nih.gov/pmc/articles/PMC12019653/pdf/\",\"citationCount\":\"0\",\"resultStr\":null,\"platform\":\"Semanticscholar\",\"paperid\":null,\"PeriodicalName\":\"Medicina Oral Patologia Oral Y Cirugia Bucal\",\"FirstCategoryId\":\"3\",\"ListUrlMain\":\"https://doi.org/10.4317/medoral.26848\",\"RegionNum\":3,\"RegionCategory\":\"医学\",\"ArticlePicture\":[],\"TitleCN\":null,\"AbstractTextCN\":null,\"PMCID\":null,\"EPubDate\":\"\",\"PubModel\":\"\",\"JCR\":\"Q2\",\"JCRName\":\"DENTISTRY, ORAL SURGERY & MEDICINE\",\"Score\":null,\"Total\":0}","platform":"Semanticscholar","paperid":null,"PeriodicalName":"Medicina Oral Patologia Oral Y Cirugia Bucal","FirstCategoryId":"3","ListUrlMain":"https://doi.org/10.4317/medoral.26848","RegionNum":3,"RegionCategory":"医学","ArticlePicture":[],"TitleCN":null,"AbstractTextCN":null,"PMCID":null,"EPubDate":"","PubModel":"","JCR":"Q2","JCRName":"DENTISTRY, ORAL SURGERY & MEDICINE","Score":null,"Total":0}
引用次数: 0

摘要

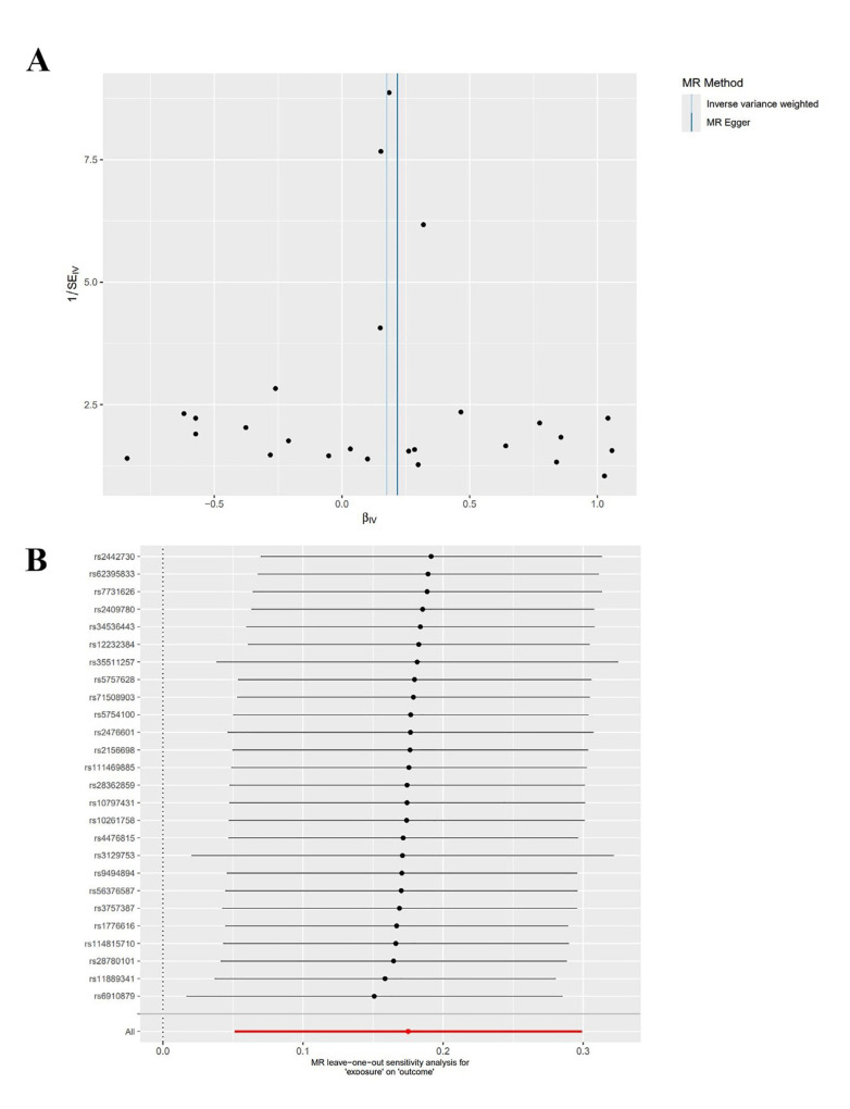
背景:类风湿关节炎(RA)和牙周炎(PD)之间的关联已被越来越多的人认识到,然而传统的流行病学研究在建立关联方面面临挑战。因此,本研究旨在通过孟德尔随机化(MR)分析,以遗传变异作为工具变量,从遗传学角度评估RA和PD之间的关联。材料和方法:RA和PD数据从EBI网站下载。RA数据包含8,255例病例和409,001例对照,共有24,175,266个snp;慢性PD数据包含950例病例和409,001例对照,共有11,842,647个snp;急性PD数据包含128例病例和456220例对照,共有11,842,647个snp。此外,还研究了RA和PD之间的潜在关联。利用孟德尔随机化(MR)-艾格回归、MR- presso测试结果和漏斗图之间的截距分析snp的水平多效性,以及单个snp对反方差加权(IVW)分析结果的影响,采用留一法进行评估。结果:共筛选到26个与RA高度相关的snp;MR-Egger回归(OR=1.242, 95% CI (1.032 ~ 1.494), P=0.031)、WM (OR=1.190, 95% CI (1.015 ~ 1.395), P=0.032)、IVW (OR=1.191, 95% CI (1.053 ~ 1.348), P=0.006)和加权模型(OR=1.212, 95% CI (1.043 ~ 1.409), P=0.019)提示RA是慢性PD的可能因素,而RA与急性PD的发病率无关,且科克兰Q检验显示RA高度相关的snp间无统计学异质性。此外,使用MR-Egger回归、MR-PRESSO测试结果和漏斗图之间的截距分析显示,与RA高度相关的snp没有水平多效性。结论:类风湿关节炎被遗传学鉴定为PD和慢性PD发病的可能因素,但RA和急性PD之间未观察到关联。
本文章由计算机程序翻译,如有差异,请以英文原文为准。

Association between rheumatoid arthritis and periodontitis: a study based on a two-sample mendelian randomisation analysis.

Association between rheumatoid arthritis and periodontitis: a study based on a two-sample mendelian randomisation analysis.

Association between rheumatoid arthritis and periodontitis: a study based on a two-sample mendelian randomisation analysis.

Association between rheumatoid arthritis and periodontitis: a study based on a two-sample mendelian randomisation analysis.

Background: The association between Rheumatoid arthritis (RA) and Periodontitis (PD) has been increasingly recognised, yet traditional epidemiological studies face challenges in establishing associations. Therefore, this study aims to genetically assess the association between RA and PD through Mendelian randomisation (MR) analysis, using genetic variations as instrumental variables.

Material and methods: Data on RA and PD were downloaded from the EBI website. The RA data contained 8,255 cases and 409,001 controls, with a total of 24,175,266 SNPs; the chronic PD data contained 950 cases and 409,001 controls, with a total of 11,842,647 SNPs; the acute PD data contained 128 cases and 456,220 controls, with a total of 11,842,647 SNPs. Additionally, the potential association between RA and PD was investigated. The intercept between Mendelian randomisation (MR)-Egger regression, MR-PRESSO test results and funnel plots was used to analyse the horizontal pleiotropy of SNPs along with the effect of individual SNPs on inverse-variance weighting (IVW) analysis results, assessed using the leave-one-out method.

Results: In total, 26 SNPs highly associated with RA were screened; MR-Egger regression (OR=1.242, 95% CI (1.032-1.494), P=0.031), WM (OR=1.190, 95% CI (1.015-1.395), P=0.032), IVW (OR=1.191, 95% CI (1.053-1.348), P=0.006) and weighted mode (OR=1.212, 95% CI (1.043-1.409), P=0.019) suggested that RA was a likelihood factor for chronic PD, whereas RA was not associated with the incidence of acute PD, and the Cochran's Q test indicated no statistical heterogeneity between SNPs highly associated with RA. Moreover, analyses using the intercept between the MR-Egger regression, MR-PRESSO test results and funnel plot revealed no horizontal pleiotropy in SNPs highly associated with RA.

Conclusions: Rheumatoid arthritis was genetically identified as a likelihood factor for PD and the onset of chronic PD, but no association was observed between RA and acute PD.

求助全文
通过发布文献求助,成功后即可免费获取论文全文。 去求助
来源期刊
Medicina Oral Patologia Oral Y Cirugia Bucal
Medicina Oral Patologia Oral Y Cirugia Bucal DENTISTRY, ORAL SURGERY & MEDICINE-
CiteScore
4.60
自引率
0.00%
发文量
52
审稿时长
3-8 weeks
期刊介绍: 1. Oral Medicine and Pathology: Clinicopathological as well as medical or surgical management aspects of diseases affecting oral mucosa, salivary glands, maxillary bones, as well as orofacial neurological disorders, and systemic conditions with an impact on the oral cavity. 2. Oral Surgery: Surgical management aspects of diseases affecting oral mucosa, salivary glands, maxillary bones, teeth, implants, oral surgical procedures. Surgical management of diseases affecting head and neck areas. 3. Medically compromised patients in Dentistry: Articles discussing medical problems in Odontology will also be included, with a special focus on the clinico-odontological management of medically compromised patients, and considerations regarding high-risk or disabled patients. 4. Implantology 5. Periodontology
×
引用
GB/T 7714-2015
复制
MLA
复制
APA
复制
导出至
BibTeX EndNote RefMan NoteFirst NoteExpress
×
提示
您的信息不完整,为了账户安全,请先补充。
现在去补充
×
提示
您因"违规操作"
具体请查看互助需知
我知道了
×
提示
确定
请完成安全验证×
copy
已复制链接
快去分享给好友吧!
我知道了
右上角分享
点击右上角分享
0
联系我们:info@booksci.cn Book学术提供免费学术资源搜索服务,方便国内外学者检索中英文文献。致力于提供最便捷和优质的服务体验。 Copyright © 2023 布克学术 All rights reserved.
京ICP备2023020795号-1
ghs 京公网安备 11010802042870号
Book学术文献互助
Book学术文献互助群
群 号:604180095
Book学术官方微信