一种新的人工耳蜗跨阻抗矩阵异常模式。

IF 1.8 Q1 AUDIOLOGY & SPEECH-LANGUAGE PATHOLOGY
Erica Pizzol, Sara Ghiselli, Patrizia Frontera, Daria Salsi, Domenico Cuda
{"title":"一种新的人工耳蜗跨阻抗矩阵异常模式。","authors":"Erica Pizzol, Sara Ghiselli, Patrizia Frontera, Daria Salsi, Domenico Cuda","doi":"10.3390/audiolres15020024","DOIUrl":null,"url":null,"abstract":"<p><p>In our clinical setting, we have identified a novel pattern of Trans-Impedance Matrix (TIM) measurement that we call 'scatter', a measure characterised by a loss of definition in the heat and line maps. <b>Objective:</b> the aim of this study was to describe the basic characteristics of the anomaly pattern. The secondary purpose is to evaluate correlations between the \"scatter\" pattern and normal TIM by considering different parameters. <b>Methods:</b> the experimental sample, therefore, consisted of 565 patients (81.1% of people with a checked TIM at follow-up; M: 279, F: 286 and mean age: 27 years (sd 26). The scatter pattern was found in 55 devices (9.7%). We classified this pattern as severe (20 devices) or mild (35 devices) according to the visual extent of the abnormality. We considered the visual extension of the pattern, device lifetime, type of internal part of the CI, and auditory performance (speech audiometry in quiet at 65 dB and in noise-Ita Matrix Sentence Test). We also analysed two quantitive parameters: Shannon entropy and exponential decay. <b>Results:</b> a difference was found in these two quantitative parameters between the severe scatter, mild scatter, and normal TIM groups (<i>p</i>-value < 0.0001). The severe scatter group seems to be related to the type of device (CI24RE and CI512) and long device life (average 133 months); it did not show differences in audiology performances compared to the other groups. <b>Conclusions:</b> this result gives a numerical validation to the more subjective visual inspection approach. The scatter pattern is a novel, previously undescribed abnormality of TIM. It can vary from moderate to severe. A numerical basis to validate the inspection approach is described here.</p>","PeriodicalId":44133,"journal":{"name":"Audiology Research","volume":"15 2","pages":""},"PeriodicalIF":1.8000,"publicationDate":"2025-03-02","publicationTypes":"Journal Article","fieldsOfStudy":null,"isOpenAccess":false,"openAccessPdf":"https://www.ncbi.nlm.nih.gov/pmc/articles/PMC11932291/pdf/","citationCount":"0","resultStr":"{\"title\":\"A Novel Trans-Impedance Matrix (TIM) Abnormality Pattern in Cochlear Implants.\",\"authors\":\"Erica Pizzol, Sara Ghiselli, Patrizia Frontera, Daria Salsi, Domenico Cuda\",\"doi\":\"10.3390/audiolres15020024\",\"DOIUrl\":null,\"url\":null,\"abstract\":\"<p><p>In our clinical setting, we have identified a novel pattern of Trans-Impedance Matrix (TIM) measurement that we call 'scatter', a measure characterised by a loss of definition in the heat and line maps. <b>Objective:</b> the aim of this study was to describe the basic characteristics of the anomaly pattern. The secondary purpose is to evaluate correlations between the \\\"scatter\\\" pattern and normal TIM by considering different parameters. <b>Methods:</b> the experimental sample, therefore, consisted of 565 patients (81.1% of people with a checked TIM at follow-up; M: 279, F: 286 and mean age: 27 years (sd 26). The scatter pattern was found in 55 devices (9.7%). We classified this pattern as severe (20 devices) or mild (35 devices) according to the visual extent of the abnormality. We considered the visual extension of the pattern, device lifetime, type of internal part of the CI, and auditory performance (speech audiometry in quiet at 65 dB and in noise-Ita Matrix Sentence Test). We also analysed two quantitive parameters: Shannon entropy and exponential decay. <b>Results:</b> a difference was found in these two quantitative parameters between the severe scatter, mild scatter, and normal TIM groups (<i>p</i>-value < 0.0001). The severe scatter group seems to be related to the type of device (CI24RE and CI512) and long device life (average 133 months); it did not show differences in audiology performances compared to the other groups. <b>Conclusions:</b> this result gives a numerical validation to the more subjective visual inspection approach. The scatter pattern is a novel, previously undescribed abnormality of TIM. It can vary from moderate to severe. A numerical basis to validate the inspection approach is described here.</p>\",\"PeriodicalId\":44133,\"journal\":{\"name\":\"Audiology Research\",\"volume\":\"15 2\",\"pages\":\"\"},\"PeriodicalIF\":1.8000,\"publicationDate\":\"2025-03-02\",\"publicationTypes\":\"Journal Article\",\"fieldsOfStudy\":null,\"isOpenAccess\":false,\"openAccessPdf\":\"https://www.ncbi.nlm.nih.gov/pmc/articles/PMC11932291/pdf/\",\"citationCount\":\"0\",\"resultStr\":null,\"platform\":\"Semanticscholar\",\"paperid\":null,\"PeriodicalName\":\"Audiology Research\",\"FirstCategoryId\":\"1085\",\"ListUrlMain\":\"https://doi.org/10.3390/audiolres15020024\",\"RegionNum\":0,\"RegionCategory\":null,\"ArticlePicture\":[],\"TitleCN\":null,\"AbstractTextCN\":null,\"PMCID\":null,\"EPubDate\":\"\",\"PubModel\":\"\",\"JCR\":\"Q1\",\"JCRName\":\"AUDIOLOGY & SPEECH-LANGUAGE PATHOLOGY\",\"Score\":null,\"Total\":0}","platform":"Semanticscholar","paperid":null,"PeriodicalName":"Audiology Research","FirstCategoryId":"1085","ListUrlMain":"https://doi.org/10.3390/audiolres15020024","RegionNum":0,"RegionCategory":null,"ArticlePicture":[],"TitleCN":null,"AbstractTextCN":null,"PMCID":null,"EPubDate":"","PubModel":"","JCR":"Q1","JCRName":"AUDIOLOGY & SPEECH-LANGUAGE PATHOLOGY","Score":null,"Total":0}
引用次数: 0

摘要

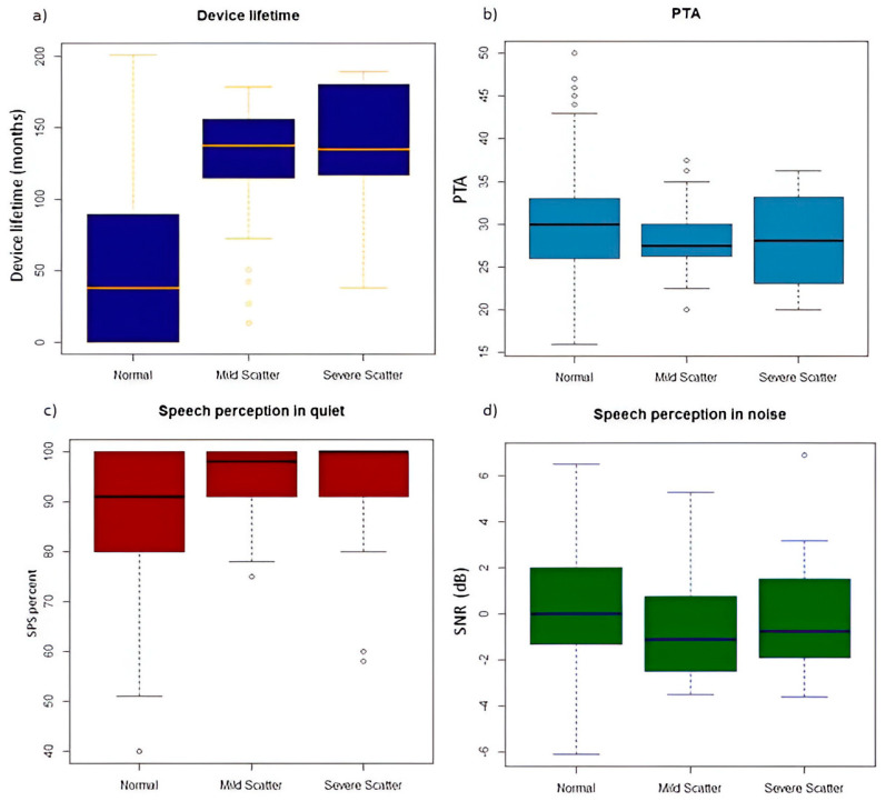
在我们的临床环境中,我们已经确定了一种新的跨阻抗矩阵(TIM)测量模式,我们称之为“散射”,这种测量的特征是在热图和线图中失去定义。目的:本研究的目的是描述异常模式的基本特征。第二个目的是通过考虑不同的参数来评估“散点”模式和正常TIM之间的相关性。方法:因此,实验样本由565例患者组成(81.1%的患者在随访时检查了TIM;男性279人,女性286人,平均年龄27岁(sd 26)。在55个器件中发现散点模式(9.7%)。我们根据异常的视觉程度将这种模式分为严重(20个装置)或轻度(35个装置)。我们考虑了模式的视觉延伸,设备寿命,CI内部部分的类型和听觉表现(在安静的65 dB和噪声- ita矩阵句子测试中的语音听力学)。我们还分析了两个定量参数:香农熵和指数衰减。结果:重度散点组、轻度散点组和正常TIM组在这两个定量参数上存在差异(p值< 0.0001)。严重分散组似乎与设备类型(CI24RE和CI512)和设备寿命长(平均133个月)有关;与其他组相比,它在听力学表现上没有表现出差异。结论:这一结果为更主观的目视检查方法提供了数值验证。散点模式是一种新颖的,以前没有描述过的TIM异常。它可以从中度到严重。这里描述了验证检验方法的数值基础。
本文章由计算机程序翻译,如有差异,请以英文原文为准。

A Novel Trans-Impedance Matrix (TIM) Abnormality Pattern in Cochlear Implants.

A Novel Trans-Impedance Matrix (TIM) Abnormality Pattern in Cochlear Implants.

A Novel Trans-Impedance Matrix (TIM) Abnormality Pattern in Cochlear Implants.

A Novel Trans-Impedance Matrix (TIM) Abnormality Pattern in Cochlear Implants.

In our clinical setting, we have identified a novel pattern of Trans-Impedance Matrix (TIM) measurement that we call 'scatter', a measure characterised by a loss of definition in the heat and line maps. Objective: the aim of this study was to describe the basic characteristics of the anomaly pattern. The secondary purpose is to evaluate correlations between the "scatter" pattern and normal TIM by considering different parameters. Methods: the experimental sample, therefore, consisted of 565 patients (81.1% of people with a checked TIM at follow-up; M: 279, F: 286 and mean age: 27 years (sd 26). The scatter pattern was found in 55 devices (9.7%). We classified this pattern as severe (20 devices) or mild (35 devices) according to the visual extent of the abnormality. We considered the visual extension of the pattern, device lifetime, type of internal part of the CI, and auditory performance (speech audiometry in quiet at 65 dB and in noise-Ita Matrix Sentence Test). We also analysed two quantitive parameters: Shannon entropy and exponential decay. Results: a difference was found in these two quantitative parameters between the severe scatter, mild scatter, and normal TIM groups (p-value < 0.0001). The severe scatter group seems to be related to the type of device (CI24RE and CI512) and long device life (average 133 months); it did not show differences in audiology performances compared to the other groups. Conclusions: this result gives a numerical validation to the more subjective visual inspection approach. The scatter pattern is a novel, previously undescribed abnormality of TIM. It can vary from moderate to severe. A numerical basis to validate the inspection approach is described here.

求助全文
通过发布文献求助,成功后即可免费获取论文全文。 去求助
来源期刊
Audiology Research
Audiology Research AUDIOLOGY & SPEECH-LANGUAGE PATHOLOGY-
CiteScore
2.30
自引率
23.50%
发文量
56
审稿时长
11 weeks
期刊介绍: The mission of Audiology Research is to publish contemporary, ethical, clinically relevant scientific researches related to the basic science and clinical aspects of the auditory and vestibular system and diseases of the ear that can be used by clinicians, scientists and specialists to improve understanding and treatment of patients with audiological and neurotological disorders.
×
引用
GB/T 7714-2015
复制
MLA
复制
APA
复制
导出至
BibTeX EndNote RefMan NoteFirst NoteExpress
×
提示
您的信息不完整,为了账户安全,请先补充。
现在去补充
×
提示
您因"违规操作"
具体请查看互助需知
我知道了
×
提示
确定
请完成安全验证×
copy
已复制链接
快去分享给好友吧!
我知道了
右上角分享
点击右上角分享
0
联系我们:info@booksci.cn Book学术提供免费学术资源搜索服务,方便国内外学者检索中英文文献。致力于提供最便捷和优质的服务体验。 Copyright © 2023 布克学术 All rights reserved.
京ICP备2023020795号-1
ghs 京公网安备 11010802042870号
Book学术文献互助
Book学术文献互助群
群 号:604180095
Book学术官方微信