血液微生物群作为认知衰退标志物的回顾性研究:对检测大韩民国阿尔茨海默病和遗忘性轻度认知障碍的影响。

IF 1.6 Q3 PUBLIC, ENVIRONMENTAL & OCCUPATIONAL HEALTH
Youngchan Park, Jong-Young Lee, Eek-Sung Lee
{"title":"血液微生物群作为认知衰退标志物的回顾性研究:对检测大韩民国阿尔茨海默病和遗忘性轻度认知障碍的影响。","authors":"Youngchan Park, Jong-Young Lee, Eek-Sung Lee","doi":"10.24171/j.phrp.2024.0329","DOIUrl":null,"url":null,"abstract":"<p><strong>Background: </strong>This study aimed to investigate the relationship between blood microbiota, specifically bacterial DNA, and cognitive decline in individuals with subjective cognitive decline (SCD) and amnestic mild cognitive impairment (aMCI). The objective was to identify potential microbial signatures that could serve as biomarkers for cognitive deterioration.</p><p><strong>Methods: </strong>Forty-seven participants were recruited, including 13 with aMCI, 20 with SCD, and 14 normal cognition (NC). Blood samples were collected, and microbial DNA was analyzed using 16S rRNA sequencing on the Illumina MiSeq platform. Bioinformatics analyses-including α- and β-diversity measures and differential abundance testing (using edgeR)-were employed to assess microbial diversity and differences in bacterial composition among groups. Logistic regression models were used to evaluate the predictive impact of the microbiota on cognitive decline.</p><p><strong>Results: </strong>Microbial diversity differed significantly between groups, with NC exhibiting the highest α-diversity. Both the aMCI and SCD groups showed reduced diversity. Taxa such as Bacteroidia, Alphaproteobacteria, and Clostridia were significantly decreased in the aMCI group compared to NC (p< 0.05). In contrast, Gammaproteobacteria increased significantly in the aMCI group compared to both NC and SCD, indicating progressive microbial changes from SCD to aMCI. No significant differences were found between the NC and SCD groups.</p><p><strong>Conclusion: </strong>Distinct bacterial taxa-particularly the increase in Gammaproteobacteria along with decreases in Bacteroidia, Alphaproteobacteria, and Clostridia-are associated with the progression of cognitive decline. These findings suggest that blood microbiota could serve as potential biomarkers for the early detection of aMCI. However, the small sample size and the lack of control for confounding factors such as diet and medication limit the findings. Larger studies are needed to validate these results and further explore the role of microbiota in neurodegeneration.</p>","PeriodicalId":38949,"journal":{"name":"Osong Public Health and Research Perspectives","volume":" ","pages":"141-151"},"PeriodicalIF":1.6000,"publicationDate":"2025-04-01","publicationTypes":"Journal Article","fieldsOfStudy":null,"isOpenAccess":false,"openAccessPdf":"https://www.ncbi.nlm.nih.gov/pmc/articles/PMC12066232/pdf/","citationCount":"0","resultStr":"{\"title\":\"A retrospective study on blood microbiota as a marker for cognitive decline: implications for detecting Alzheimer's disease and amnestic mild cognitive impairment in Republic of Korea.\",\"authors\":\"Youngchan Park, Jong-Young Lee, Eek-Sung Lee\",\"doi\":\"10.24171/j.phrp.2024.0329\",\"DOIUrl\":null,\"url\":null,\"abstract\":\"<p><strong>Background: </strong>This study aimed to investigate the relationship between blood microbiota, specifically bacterial DNA, and cognitive decline in individuals with subjective cognitive decline (SCD) and amnestic mild cognitive impairment (aMCI). The objective was to identify potential microbial signatures that could serve as biomarkers for cognitive deterioration.</p><p><strong>Methods: </strong>Forty-seven participants were recruited, including 13 with aMCI, 20 with SCD, and 14 normal cognition (NC). Blood samples were collected, and microbial DNA was analyzed using 16S rRNA sequencing on the Illumina MiSeq platform. Bioinformatics analyses-including α- and β-diversity measures and differential abundance testing (using edgeR)-were employed to assess microbial diversity and differences in bacterial composition among groups. Logistic regression models were used to evaluate the predictive impact of the microbiota on cognitive decline.</p><p><strong>Results: </strong>Microbial diversity differed significantly between groups, with NC exhibiting the highest α-diversity. Both the aMCI and SCD groups showed reduced diversity. Taxa such as Bacteroidia, Alphaproteobacteria, and Clostridia were significantly decreased in the aMCI group compared to NC (p< 0.05). In contrast, Gammaproteobacteria increased significantly in the aMCI group compared to both NC and SCD, indicating progressive microbial changes from SCD to aMCI. No significant differences were found between the NC and SCD groups.</p><p><strong>Conclusion: </strong>Distinct bacterial taxa-particularly the increase in Gammaproteobacteria along with decreases in Bacteroidia, Alphaproteobacteria, and Clostridia-are associated with the progression of cognitive decline. These findings suggest that blood microbiota could serve as potential biomarkers for the early detection of aMCI. However, the small sample size and the lack of control for confounding factors such as diet and medication limit the findings. Larger studies are needed to validate these results and further explore the role of microbiota in neurodegeneration.</p>\",\"PeriodicalId\":38949,\"journal\":{\"name\":\"Osong Public Health and Research Perspectives\",\"volume\":\" \",\"pages\":\"141-151\"},\"PeriodicalIF\":1.6000,\"publicationDate\":\"2025-04-01\",\"publicationTypes\":\"Journal Article\",\"fieldsOfStudy\":null,\"isOpenAccess\":false,\"openAccessPdf\":\"https://www.ncbi.nlm.nih.gov/pmc/articles/PMC12066232/pdf/\",\"citationCount\":\"0\",\"resultStr\":null,\"platform\":\"Semanticscholar\",\"paperid\":null,\"PeriodicalName\":\"Osong Public Health and Research Perspectives\",\"FirstCategoryId\":\"1085\",\"ListUrlMain\":\"https://doi.org/10.24171/j.phrp.2024.0329\",\"RegionNum\":0,\"RegionCategory\":null,\"ArticlePicture\":[],\"TitleCN\":null,\"AbstractTextCN\":null,\"PMCID\":null,\"EPubDate\":\"2025/3/24 0:00:00\",\"PubModel\":\"Epub\",\"JCR\":\"Q3\",\"JCRName\":\"PUBLIC, ENVIRONMENTAL & OCCUPATIONAL HEALTH\",\"Score\":null,\"Total\":0}","platform":"Semanticscholar","paperid":null,"PeriodicalName":"Osong Public Health and Research Perspectives","FirstCategoryId":"1085","ListUrlMain":"https://doi.org/10.24171/j.phrp.2024.0329","RegionNum":0,"RegionCategory":null,"ArticlePicture":[],"TitleCN":null,"AbstractTextCN":null,"PMCID":null,"EPubDate":"2025/3/24 0:00:00","PubModel":"Epub","JCR":"Q3","JCRName":"PUBLIC, ENVIRONMENTAL & OCCUPATIONAL HEALTH","Score":null,"Total":0}
引用次数: 0

摘要

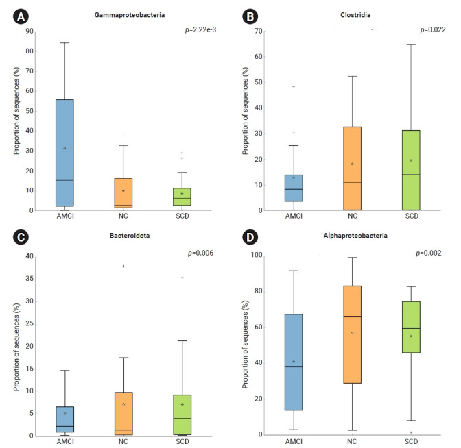
目的:本研究旨在探讨血液微生物群(特别是细菌DNA)与主观认知衰退(SCD)和遗忘性轻度认知障碍(aMCI)患者认知能力下降之间的关系。目的是识别可能作为认知退化生物标志物的潜在微生物特征。方法:招募47例受试者,其中aMCI 13例,SCD 20例,认知正常(NC) 14例。采集血样,在Illumina MiSeq平台上采用16S rRNA测序分析微生物DNA。生物信息学分析——包括α-和β-多样性测量和差异丰度测试(使用edgeR)——被用来评估微生物多样性和组间细菌组成的差异。使用逻辑回归模型来评估微生物群对认知能力下降的预测影响。结果:各组间微生物多样性差异显著,以NC组α-多样性最高。aMCI组和SCD组的多样性均有所降低。与NC相比,aMCI组的细菌类群如Bacteroidia、Alphaproteobacteria和Clostridia显著减少(p)。结论:不同的细菌类群-特别是γ变形菌群的增加以及Bacteroidia、Alphaproteobacteria和Clostridia的减少-与认知能力下降的进展有关。这些发现表明,血液微生物群可以作为aMCI早期检测的潜在生物标志物。然而,样本量小,缺乏对饮食和药物等混杂因素的控制,限制了研究结果。需要更大规模的研究来验证这些结果,并进一步探索微生物群在神经变性中的作用。
本文章由计算机程序翻译,如有差异,请以英文原文为准。

A retrospective study on blood microbiota as a marker for cognitive decline: implications for detecting Alzheimer's disease and amnestic mild cognitive impairment in Republic of Korea.

A retrospective study on blood microbiota as a marker for cognitive decline: implications for detecting Alzheimer's disease and amnestic mild cognitive impairment in Republic of Korea.

A retrospective study on blood microbiota as a marker for cognitive decline: implications for detecting Alzheimer's disease and amnestic mild cognitive impairment in Republic of Korea.

A retrospective study on blood microbiota as a marker for cognitive decline: implications for detecting Alzheimer's disease and amnestic mild cognitive impairment in Republic of Korea.

Background: This study aimed to investigate the relationship between blood microbiota, specifically bacterial DNA, and cognitive decline in individuals with subjective cognitive decline (SCD) and amnestic mild cognitive impairment (aMCI). The objective was to identify potential microbial signatures that could serve as biomarkers for cognitive deterioration.

Methods: Forty-seven participants were recruited, including 13 with aMCI, 20 with SCD, and 14 normal cognition (NC). Blood samples were collected, and microbial DNA was analyzed using 16S rRNA sequencing on the Illumina MiSeq platform. Bioinformatics analyses-including α- and β-diversity measures and differential abundance testing (using edgeR)-were employed to assess microbial diversity and differences in bacterial composition among groups. Logistic regression models were used to evaluate the predictive impact of the microbiota on cognitive decline.

Results: Microbial diversity differed significantly between groups, with NC exhibiting the highest α-diversity. Both the aMCI and SCD groups showed reduced diversity. Taxa such as Bacteroidia, Alphaproteobacteria, and Clostridia were significantly decreased in the aMCI group compared to NC (p< 0.05). In contrast, Gammaproteobacteria increased significantly in the aMCI group compared to both NC and SCD, indicating progressive microbial changes from SCD to aMCI. No significant differences were found between the NC and SCD groups.

Conclusion: Distinct bacterial taxa-particularly the increase in Gammaproteobacteria along with decreases in Bacteroidia, Alphaproteobacteria, and Clostridia-are associated with the progression of cognitive decline. These findings suggest that blood microbiota could serve as potential biomarkers for the early detection of aMCI. However, the small sample size and the lack of control for confounding factors such as diet and medication limit the findings. Larger studies are needed to validate these results and further explore the role of microbiota in neurodegeneration.

求助全文
通过发布文献求助,成功后即可免费获取论文全文。 去求助
来源期刊
Osong Public Health and Research Perspectives
Osong Public Health and Research Perspectives Medicine-Public Health, Environmental and Occupational Health
CiteScore
10.30
自引率
2.30%
发文量
44
审稿时长
16 weeks
×
引用
GB/T 7714-2015
复制
MLA
复制
APA
复制
导出至
BibTeX EndNote RefMan NoteFirst NoteExpress
×
提示
您的信息不完整,为了账户安全,请先补充。
现在去补充
×
提示
您因"违规操作"
具体请查看互助需知
我知道了
×
提示
确定
请完成安全验证×
copy
已复制链接
快去分享给好友吧!
我知道了
右上角分享
点击右上角分享
0
联系我们:info@booksci.cn Book学术提供免费学术资源搜索服务,方便国内外学者检索中英文文献。致力于提供最便捷和优质的服务体验。 Copyright © 2023 布克学术 All rights reserved.
京ICP备2023020795号-1
ghs 京公网安备 11010802042870号
Book学术文献互助
Book学术文献互助群
群 号:604180095
Book学术官方微信