美沙酮和丁丙诺啡作为成瘾治疗药物对炎症和渴望的不同影响取决于它们的剂量。

IF 1.8 Q3 PHARMACOLOGY & PHARMACY
Pharmacy Pub Date : 2025-03-06 DOI:10.3390/pharmacy13020040
Christonikos Leventelis, Aristidis S Veskoukis, Andrea Paola Rojas Gil, Panagiotis Papadopoulos, Maria Garderi, Asimina Angeli, Antzouletta Kampitsi, Maria Tsironi
{"title":"美沙酮和丁丙诺啡作为成瘾治疗药物对炎症和渴望的不同影响取决于它们的剂量。","authors":"Christonikos Leventelis, Aristidis S Veskoukis, Andrea Paola Rojas Gil, Panagiotis Papadopoulos, Maria Garderi, Asimina Angeli, Antzouletta Kampitsi, Maria Tsironi","doi":"10.3390/pharmacy13020040","DOIUrl":null,"url":null,"abstract":"<p><p>Buprenorphine and methadone are widely used as medication for addiction treatment (MAT) in patients with opioid use disorders. However, there is no compelling evidence of their impact on the immune-endocrine response. Therefore, the aim of this study was to examine the effects of the aforementioned medications on craving and on biomarkers of inflammation and cortisol, approaching the dose issue concurrently. Sixty-six patients (thirty-four under methadone and thirty-two under buprenorphine) who had just entered a MAT program and were stabilized with the suitable administered doses after a two-week process were divided into four groups based on medication dose (i.e., methadone high dose, buprenorphine high dose, methadone medium dose, and buprenorphine medium dose). The heroin craving questionnaire for craving assessment was completed, and the blood biomarkers were measured on Days 1 and 180. According to the results, high doses of both medications were accompanied by low levels of craving, cortisol, and inflammation on Day 1, and no alterations were observed on Day 180. On the contrary, medium doses reduced the tested psychosocial and biochemical parameters in terms of time, indicating a positive action for the patients. Concludingly, modifications in MAT doses are needed soon after the stabilization process to prevent inflammation and avoid relapse, thus helping opioid-addicted patients toward rehabilitation.</p>","PeriodicalId":30544,"journal":{"name":"Pharmacy","volume":"13 2","pages":""},"PeriodicalIF":1.8000,"publicationDate":"2025-03-06","publicationTypes":"Journal Article","fieldsOfStudy":null,"isOpenAccess":false,"openAccessPdf":"https://www.ncbi.nlm.nih.gov/pmc/articles/PMC11932288/pdf/","citationCount":"0","resultStr":"{\"title\":\"Methadone and Buprenorphine as Medication for Addiction Treatment Diversely Affect Inflammation and Craving Depending on Their Doses.\",\"authors\":\"Christonikos Leventelis, Aristidis S Veskoukis, Andrea Paola Rojas Gil, Panagiotis Papadopoulos, Maria Garderi, Asimina Angeli, Antzouletta Kampitsi, Maria Tsironi\",\"doi\":\"10.3390/pharmacy13020040\",\"DOIUrl\":null,\"url\":null,\"abstract\":\"<p><p>Buprenorphine and methadone are widely used as medication for addiction treatment (MAT) in patients with opioid use disorders. However, there is no compelling evidence of their impact on the immune-endocrine response. Therefore, the aim of this study was to examine the effects of the aforementioned medications on craving and on biomarkers of inflammation and cortisol, approaching the dose issue concurrently. Sixty-six patients (thirty-four under methadone and thirty-two under buprenorphine) who had just entered a MAT program and were stabilized with the suitable administered doses after a two-week process were divided into four groups based on medication dose (i.e., methadone high dose, buprenorphine high dose, methadone medium dose, and buprenorphine medium dose). The heroin craving questionnaire for craving assessment was completed, and the blood biomarkers were measured on Days 1 and 180. According to the results, high doses of both medications were accompanied by low levels of craving, cortisol, and inflammation on Day 1, and no alterations were observed on Day 180. On the contrary, medium doses reduced the tested psychosocial and biochemical parameters in terms of time, indicating a positive action for the patients. Concludingly, modifications in MAT doses are needed soon after the stabilization process to prevent inflammation and avoid relapse, thus helping opioid-addicted patients toward rehabilitation.</p>\",\"PeriodicalId\":30544,\"journal\":{\"name\":\"Pharmacy\",\"volume\":\"13 2\",\"pages\":\"\"},\"PeriodicalIF\":1.8000,\"publicationDate\":\"2025-03-06\",\"publicationTypes\":\"Journal Article\",\"fieldsOfStudy\":null,\"isOpenAccess\":false,\"openAccessPdf\":\"https://www.ncbi.nlm.nih.gov/pmc/articles/PMC11932288/pdf/\",\"citationCount\":\"0\",\"resultStr\":null,\"platform\":\"Semanticscholar\",\"paperid\":null,\"PeriodicalName\":\"Pharmacy\",\"FirstCategoryId\":\"1085\",\"ListUrlMain\":\"https://doi.org/10.3390/pharmacy13020040\",\"RegionNum\":0,\"RegionCategory\":null,\"ArticlePicture\":[],\"TitleCN\":null,\"AbstractTextCN\":null,\"PMCID\":null,\"EPubDate\":\"\",\"PubModel\":\"\",\"JCR\":\"Q3\",\"JCRName\":\"PHARMACOLOGY & PHARMACY\",\"Score\":null,\"Total\":0}","platform":"Semanticscholar","paperid":null,"PeriodicalName":"Pharmacy","FirstCategoryId":"1085","ListUrlMain":"https://doi.org/10.3390/pharmacy13020040","RegionNum":0,"RegionCategory":null,"ArticlePicture":[],"TitleCN":null,"AbstractTextCN":null,"PMCID":null,"EPubDate":"","PubModel":"","JCR":"Q3","JCRName":"PHARMACOLOGY & PHARMACY","Score":null,"Total":0}
引用次数: 0

摘要

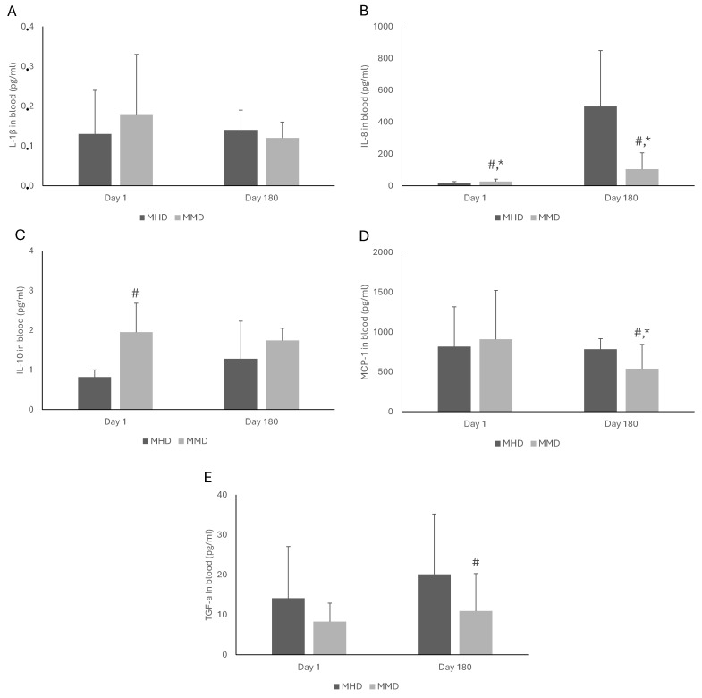
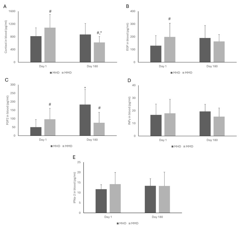
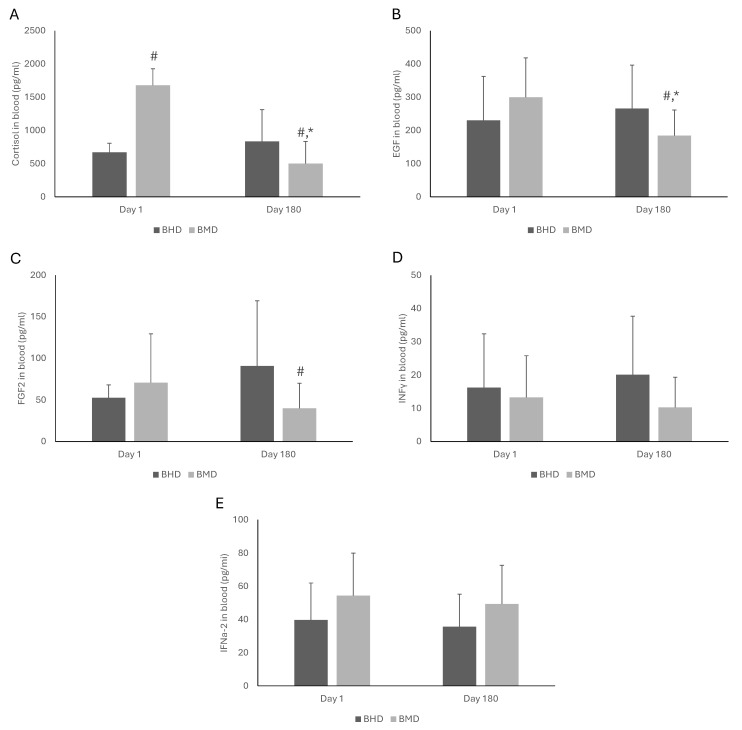
丁丙诺啡和美沙酮被广泛用于阿片类药物使用障碍患者的成瘾治疗(MAT)。然而,没有令人信服的证据表明它们对免疫内分泌反应的影响。因此,本研究的目的是研究上述药物对渴望、炎症和皮质醇生物标志物的影响,同时探讨剂量问题。66例刚进入MAT项目的患者(美沙酮组34例,丁丙诺啡组32例),经过两周的治疗后,以合适的给药剂量稳定下来,根据给药剂量(即美沙酮高剂量、丁丙诺啡高剂量、美沙酮中剂量、丁丙诺啡中剂量)分为四组。分别于第1天和第180天完成海洛因渴望问卷,并测定血液生物标志物。根据结果,高剂量的两种药物在第1天都伴随着低水平的渴望、皮质醇和炎症,而在第180天没有观察到任何变化。相反,中等剂量在时间上降低了测试的社会心理和生化参数,表明对患者有积极作用。总之,需要在稳定过程后不久调整MAT剂量,以预防炎症和避免复发,从而帮助阿片类药物成瘾患者康复。
本文章由计算机程序翻译,如有差异,请以英文原文为准。

Methadone and Buprenorphine as Medication for Addiction Treatment Diversely Affect Inflammation and Craving Depending on Their Doses.

Methadone and Buprenorphine as Medication for Addiction Treatment Diversely Affect Inflammation and Craving Depending on Their Doses.

Methadone and Buprenorphine as Medication for Addiction Treatment Diversely Affect Inflammation and Craving Depending on Their Doses.

Methadone and Buprenorphine as Medication for Addiction Treatment Diversely Affect Inflammation and Craving Depending on Their Doses.

Buprenorphine and methadone are widely used as medication for addiction treatment (MAT) in patients with opioid use disorders. However, there is no compelling evidence of their impact on the immune-endocrine response. Therefore, the aim of this study was to examine the effects of the aforementioned medications on craving and on biomarkers of inflammation and cortisol, approaching the dose issue concurrently. Sixty-six patients (thirty-four under methadone and thirty-two under buprenorphine) who had just entered a MAT program and were stabilized with the suitable administered doses after a two-week process were divided into four groups based on medication dose (i.e., methadone high dose, buprenorphine high dose, methadone medium dose, and buprenorphine medium dose). The heroin craving questionnaire for craving assessment was completed, and the blood biomarkers were measured on Days 1 and 180. According to the results, high doses of both medications were accompanied by low levels of craving, cortisol, and inflammation on Day 1, and no alterations were observed on Day 180. On the contrary, medium doses reduced the tested psychosocial and biochemical parameters in terms of time, indicating a positive action for the patients. Concludingly, modifications in MAT doses are needed soon after the stabilization process to prevent inflammation and avoid relapse, thus helping opioid-addicted patients toward rehabilitation.

求助全文
通过发布文献求助,成功后即可免费获取论文全文。 去求助
来源期刊
Pharmacy
Pharmacy PHARMACOLOGY & PHARMACY-
自引率
9.10%
发文量
141
审稿时长
11 weeks
×
引用
GB/T 7714-2015
复制
MLA
复制
APA
复制
导出至
BibTeX EndNote RefMan NoteFirst NoteExpress
×
提示
您的信息不完整,为了账户安全,请先补充。
现在去补充
×
提示
您因"违规操作"
具体请查看互助需知
我知道了
×
提示
确定
请完成安全验证×
copy
已复制链接
快去分享给好友吧!
我知道了
右上角分享
点击右上角分享
0
联系我们:info@booksci.cn Book学术提供免费学术资源搜索服务,方便国内外学者检索中英文文献。致力于提供最便捷和优质的服务体验。 Copyright © 2023 布克学术 All rights reserved.
京ICP备2023020795号-1
ghs 京公网安备 11010802042870号
Book学术文献互助
Book学术文献互助群
群 号:604180095
Book学术官方微信