HTLV-1病毒在Cbl-b、ITCH和PP2A抑制基因调控中的可能踪迹

IF 0.8 Q3 MEDICINE, RESEARCH & EXPERIMENTAL
Atefeh Bahavar, Abdolvahab Moradi, Hamed Mohammadi, Mehdi Norouzi, Sara Khodayar, Sayed-Hamidreza Mozhgani, Alijan Tabarraei
{"title":"HTLV-1病毒在Cbl-b、ITCH和PP2A抑制基因调控中的可能踪迹","authors":"Atefeh Bahavar, Abdolvahab Moradi, Hamed Mohammadi, Mehdi Norouzi, Sara Khodayar, Sayed-Hamidreza Mozhgani, Alijan Tabarraei","doi":"10.22088/IJMCM.BUMS.14.1.472","DOIUrl":null,"url":null,"abstract":"<p><p>For almost 40 years, human T-lymphotropic virus type 1 (HTLV-1) has posed a persistent challenge in managing the major diseases associated with HTLV-1. Intracellular inhibitors are critical regulators of T cell activation, and their function can be influenced by viruses. Because of less studied aspects of HTLV-1 in T cell activation, we evaluated three suppressor genes in patients with HTLV-1-associated myelopathy/tropical spastic paraparesis (HAM/TSP) and asymptomatic carriers (ACs). Thirty samples were collected from three groups from 10/09/2022 to 03/27/2024. To confirm all the samples, ELISA and PCR tests were done. The isolation of peripheral blood mononuclear cells (PBMCs), RNA extraction, and cDNA synthesis were conducted. Subsequently, the expression of <i>Tax trans-activator, HTLV-1 bZIP factor (HBZ), protein phosphatase 2 A (PP2A),</i> and two E3 ligases, including <i>Casitas B</i> <i>lymphoma-b (Cbl-b)</i> and <i>itchy E3 Ubiquitin protein ligase (ITCH),</i> was measured via Real-time PCR. This survey showed a significant increase in ITCH among individuals with HAM/TSP and ACs compared to the healthy group. The <i>PP2A</i> mRNA expression level was upregulated in the ACs; in contrast, the expression levels were approximately similar in the HAM/TSP and healthy groups. Also, the mean expression level of <i>Cbl-b</i> was higher in the ACs than in the other groups; however, it was not statistically significant. Our findings demonstrated that the intercellular suppressor genes could be dysregulated during the HTLV-1 infection, probably as part of the virus's strategic goals. The findings can be helpful for future investigation in the diagnosis and treatment area.</p>","PeriodicalId":14152,"journal":{"name":"International Journal of Molecular and Cellular Medicine","volume":"14 1","pages":"472-482"},"PeriodicalIF":0.8000,"publicationDate":"2025-01-01","publicationTypes":"Journal Article","fieldsOfStudy":null,"isOpenAccess":false,"openAccessPdf":"https://www.ncbi.nlm.nih.gov/pmc/articles/PMC11927157/pdf/","citationCount":"0","resultStr":"{\"title\":\"Possible Trace of HTLV-1 Virus in Modulation of Cbl-b, ITCH, and PP2A Suppressor Genes.\",\"authors\":\"Atefeh Bahavar, Abdolvahab Moradi, Hamed Mohammadi, Mehdi Norouzi, Sara Khodayar, Sayed-Hamidreza Mozhgani, Alijan Tabarraei\",\"doi\":\"10.22088/IJMCM.BUMS.14.1.472\",\"DOIUrl\":null,\"url\":null,\"abstract\":\"<p><p>For almost 40 years, human T-lymphotropic virus type 1 (HTLV-1) has posed a persistent challenge in managing the major diseases associated with HTLV-1. Intracellular inhibitors are critical regulators of T cell activation, and their function can be influenced by viruses. Because of less studied aspects of HTLV-1 in T cell activation, we evaluated three suppressor genes in patients with HTLV-1-associated myelopathy/tropical spastic paraparesis (HAM/TSP) and asymptomatic carriers (ACs). Thirty samples were collected from three groups from 10/09/2022 to 03/27/2024. To confirm all the samples, ELISA and PCR tests were done. The isolation of peripheral blood mononuclear cells (PBMCs), RNA extraction, and cDNA synthesis were conducted. Subsequently, the expression of <i>Tax trans-activator, HTLV-1 bZIP factor (HBZ), protein phosphatase 2 A (PP2A),</i> and two E3 ligases, including <i>Casitas B</i> <i>lymphoma-b (Cbl-b)</i> and <i>itchy E3 Ubiquitin protein ligase (ITCH),</i> was measured via Real-time PCR. This survey showed a significant increase in ITCH among individuals with HAM/TSP and ACs compared to the healthy group. The <i>PP2A</i> mRNA expression level was upregulated in the ACs; in contrast, the expression levels were approximately similar in the HAM/TSP and healthy groups. Also, the mean expression level of <i>Cbl-b</i> was higher in the ACs than in the other groups; however, it was not statistically significant. Our findings demonstrated that the intercellular suppressor genes could be dysregulated during the HTLV-1 infection, probably as part of the virus's strategic goals. The findings can be helpful for future investigation in the diagnosis and treatment area.</p>\",\"PeriodicalId\":14152,\"journal\":{\"name\":\"International Journal of Molecular and Cellular Medicine\",\"volume\":\"14 1\",\"pages\":\"472-482\"},\"PeriodicalIF\":0.8000,\"publicationDate\":\"2025-01-01\",\"publicationTypes\":\"Journal Article\",\"fieldsOfStudy\":null,\"isOpenAccess\":false,\"openAccessPdf\":\"https://www.ncbi.nlm.nih.gov/pmc/articles/PMC11927157/pdf/\",\"citationCount\":\"0\",\"resultStr\":null,\"platform\":\"Semanticscholar\",\"paperid\":null,\"PeriodicalName\":\"International Journal of Molecular and Cellular Medicine\",\"FirstCategoryId\":\"1085\",\"ListUrlMain\":\"https://doi.org/10.22088/IJMCM.BUMS.14.1.472\",\"RegionNum\":0,\"RegionCategory\":null,\"ArticlePicture\":[],\"TitleCN\":null,\"AbstractTextCN\":null,\"PMCID\":null,\"EPubDate\":\"\",\"PubModel\":\"\",\"JCR\":\"Q3\",\"JCRName\":\"MEDICINE, RESEARCH & EXPERIMENTAL\",\"Score\":null,\"Total\":0}","platform":"Semanticscholar","paperid":null,"PeriodicalName":"International Journal of Molecular and Cellular Medicine","FirstCategoryId":"1085","ListUrlMain":"https://doi.org/10.22088/IJMCM.BUMS.14.1.472","RegionNum":0,"RegionCategory":null,"ArticlePicture":[],"TitleCN":null,"AbstractTextCN":null,"PMCID":null,"EPubDate":"","PubModel":"","JCR":"Q3","JCRName":"MEDICINE, RESEARCH & EXPERIMENTAL","Score":null,"Total":0}
引用次数: 0

摘要

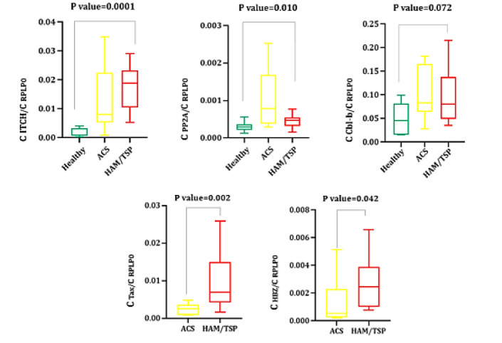
近40年来,人类嗜t淋巴病毒1型(HTLV-1)在管理与HTLV-1相关的主要疾病方面构成了持续的挑战。细胞内抑制剂是T细胞活化的关键调节因子,其功能可受病毒影响。由于HTLV-1在T细胞活化方面的研究较少,我们评估了HTLV-1相关脊髓病/热带痉挛性截瘫(HAM/TSP)和无症状携带者(ACs)患者中的三种抑制基因。从2022年9月10日至2024年3月27日共分三组采集样本30份。为确认所有样本,进行了ELISA和PCR检测。进行外周血单个核细胞(PBMCs)分离、RNA提取和cDNA合成。随后,通过Real-time PCR检测Tax反式激活因子、HTLV-1 bZIP因子(HBZ)、蛋白磷酸化酶2a (PP2A)以及Casitas B淋巴瘤- B (Cbl-b)和瘙痒E3泛素蛋白连接酶(ITCH)两种E3连接酶的表达。该调查显示,与健康组相比,HAM/TSP和ACs患者的瘙痒明显增加。ACs中PP2A mRNA表达水平上调;相比之下,HAM/TSP组和健康组的表达水平大致相似。c -b在ACs组的平均表达量高于其他各组;然而,这在统计学上并不显著。我们的研究结果表明,细胞间抑制基因在HTLV-1感染期间可能失调,这可能是病毒战略目标的一部分。研究结果对今后的诊断和治疗有一定的参考价值。
本文章由计算机程序翻译,如有差异,请以英文原文为准。

Possible Trace of HTLV-1 Virus in Modulation of Cbl-b, ITCH, and PP2A Suppressor Genes.

Possible Trace of HTLV-1 Virus in Modulation of Cbl-b, ITCH, and PP2A Suppressor Genes.

For almost 40 years, human T-lymphotropic virus type 1 (HTLV-1) has posed a persistent challenge in managing the major diseases associated with HTLV-1. Intracellular inhibitors are critical regulators of T cell activation, and their function can be influenced by viruses. Because of less studied aspects of HTLV-1 in T cell activation, we evaluated three suppressor genes in patients with HTLV-1-associated myelopathy/tropical spastic paraparesis (HAM/TSP) and asymptomatic carriers (ACs). Thirty samples were collected from three groups from 10/09/2022 to 03/27/2024. To confirm all the samples, ELISA and PCR tests were done. The isolation of peripheral blood mononuclear cells (PBMCs), RNA extraction, and cDNA synthesis were conducted. Subsequently, the expression of Tax trans-activator, HTLV-1 bZIP factor (HBZ), protein phosphatase 2 A (PP2A), and two E3 ligases, including Casitas B lymphoma-b (Cbl-b) and itchy E3 Ubiquitin protein ligase (ITCH), was measured via Real-time PCR. This survey showed a significant increase in ITCH among individuals with HAM/TSP and ACs compared to the healthy group. The PP2A mRNA expression level was upregulated in the ACs; in contrast, the expression levels were approximately similar in the HAM/TSP and healthy groups. Also, the mean expression level of Cbl-b was higher in the ACs than in the other groups; however, it was not statistically significant. Our findings demonstrated that the intercellular suppressor genes could be dysregulated during the HTLV-1 infection, probably as part of the virus's strategic goals. The findings can be helpful for future investigation in the diagnosis and treatment area.

求助全文
通过发布文献求助,成功后即可免费获取论文全文。 去求助
来源期刊
CiteScore
3.60
自引率
0.00%
发文量
0
期刊介绍: The International Journal of Molecular and Cellular Medicine (IJMCM) is a peer-reviewed, quarterly publication of Cellular and Molecular Biology Research Center (CMBRC), Babol University of Medical Sciences, Babol, Iran. The journal covers all cellular & molecular biology and medicine disciplines such as the genetic basis of disease, biomarker discovery in diagnosis and treatment, genomics and proteomics, bioinformatics, computer applications in human biology, stem cells and tissue engineering, medical biotechnology, nanomedicine, cellular processes related to growth, death and survival, clinical biochemistry, molecular & cellular immunology, molecular and cellular aspects of infectious disease and cancer research. IJMCM is a free access journal. All open access articles published in IJMCM are distributed under the terms of the Creative Commons Attribution CC BY. The journal doesn''t have any submission and article processing charges (APCs).
×
引用
GB/T 7714-2015
复制
MLA
复制
APA
复制
导出至
BibTeX EndNote RefMan NoteFirst NoteExpress
×
提示
您的信息不完整,为了账户安全,请先补充。
现在去补充
×
提示
您因"违规操作"
具体请查看互助需知
我知道了
×
提示
确定
请完成安全验证×
copy
已复制链接
快去分享给好友吧!
我知道了
右上角分享
点击右上角分享
0
联系我们:info@booksci.cn Book学术提供免费学术资源搜索服务,方便国内外学者检索中英文文献。致力于提供最便捷和优质的服务体验。 Copyright © 2023 布克学术 All rights reserved.
京ICP备2023020795号-1
ghs 京公网安备 11010802042870号
Book学术文献互助
Book学术文献互助群
群 号:604180095
Book学术官方微信