粘合剂极性对水处理锂离子电池正负极性能的影响。

IF 3.9 2区 综合性期刊 Q1 MULTIDISCIPLINARY SCIENCES
Andreas Weber, Noah Keim, Pirmin Koch, Marcus Müller, Werner Bauer, Helmut Ehrenberg
{"title":"粘合剂极性对水处理锂离子电池正负极性能的影响。","authors":"Andreas Weber, Noah Keim, Pirmin Koch, Marcus Müller, Werner Bauer, Helmut Ehrenberg","doi":"10.1038/s41598-025-93813-9","DOIUrl":null,"url":null,"abstract":"<p><p>The surface free energy of materials plays a crucial role in defining the interactions between interfaces. In this study, we introduce the theory behind surface free energy and extend its application to solvent-based manufacturing processes of positive (cathode) and negative (anode) electrodes for lithium-ion batteries. By employing binders, namely polyvinylidene difluoride latices and sodium carboxymethyl cellulose, with differing surface free energy compositions, we systematically investigate how surface free energy influences key electrode properties. The binder properties are shown to affect adhesion strength, electrical resistance, and water retention in electrodes, with analogous effects observed in both cathodes and anodes. For cathodes, these differences translate to measurable impacts on cell performance, particularly in terms of rate capability and long-term cycling stability. We also explore how binder induced variations in water retention influence the formation and stability of the solid electrolyte interphase. The findings highlight the critical role of the binder's surface free energy composition in optimizing electrode manufacturing and provide new insights into the interplay between electrode surface chemistry, microstructure, and electrochemical performance.</p>","PeriodicalId":21811,"journal":{"name":"Scientific Reports","volume":"15 1","pages":"10024"},"PeriodicalIF":3.9000,"publicationDate":"2025-03-23","publicationTypes":"Journal Article","fieldsOfStudy":null,"isOpenAccess":false,"openAccessPdf":"https://www.ncbi.nlm.nih.gov/pmc/articles/PMC11930974/pdf/","citationCount":"0","resultStr":"{\"title\":\"The impact of binder polarity on the properties of aqueously processed positive and negative electrodes for lithium-ion batteries.\",\"authors\":\"Andreas Weber, Noah Keim, Pirmin Koch, Marcus Müller, Werner Bauer, Helmut Ehrenberg\",\"doi\":\"10.1038/s41598-025-93813-9\",\"DOIUrl\":null,\"url\":null,\"abstract\":\"<p><p>The surface free energy of materials plays a crucial role in defining the interactions between interfaces. In this study, we introduce the theory behind surface free energy and extend its application to solvent-based manufacturing processes of positive (cathode) and negative (anode) electrodes for lithium-ion batteries. By employing binders, namely polyvinylidene difluoride latices and sodium carboxymethyl cellulose, with differing surface free energy compositions, we systematically investigate how surface free energy influences key electrode properties. The binder properties are shown to affect adhesion strength, electrical resistance, and water retention in electrodes, with analogous effects observed in both cathodes and anodes. For cathodes, these differences translate to measurable impacts on cell performance, particularly in terms of rate capability and long-term cycling stability. We also explore how binder induced variations in water retention influence the formation and stability of the solid electrolyte interphase. The findings highlight the critical role of the binder's surface free energy composition in optimizing electrode manufacturing and provide new insights into the interplay between electrode surface chemistry, microstructure, and electrochemical performance.</p>\",\"PeriodicalId\":21811,\"journal\":{\"name\":\"Scientific Reports\",\"volume\":\"15 1\",\"pages\":\"10024\"},\"PeriodicalIF\":3.9000,\"publicationDate\":\"2025-03-23\",\"publicationTypes\":\"Journal Article\",\"fieldsOfStudy\":null,\"isOpenAccess\":false,\"openAccessPdf\":\"https://www.ncbi.nlm.nih.gov/pmc/articles/PMC11930974/pdf/\",\"citationCount\":\"0\",\"resultStr\":null,\"platform\":\"Semanticscholar\",\"paperid\":null,\"PeriodicalName\":\"Scientific Reports\",\"FirstCategoryId\":\"103\",\"ListUrlMain\":\"https://doi.org/10.1038/s41598-025-93813-9\",\"RegionNum\":2,\"RegionCategory\":\"综合性期刊\",\"ArticlePicture\":[],\"TitleCN\":null,\"AbstractTextCN\":null,\"PMCID\":null,\"EPubDate\":\"\",\"PubModel\":\"\",\"JCR\":\"Q1\",\"JCRName\":\"MULTIDISCIPLINARY SCIENCES\",\"Score\":null,\"Total\":0}","platform":"Semanticscholar","paperid":null,"PeriodicalName":"Scientific Reports","FirstCategoryId":"103","ListUrlMain":"https://doi.org/10.1038/s41598-025-93813-9","RegionNum":2,"RegionCategory":"综合性期刊","ArticlePicture":[],"TitleCN":null,"AbstractTextCN":null,"PMCID":null,"EPubDate":"","PubModel":"","JCR":"Q1","JCRName":"MULTIDISCIPLINARY SCIENCES","Score":null,"Total":0}
引用次数: 0

摘要

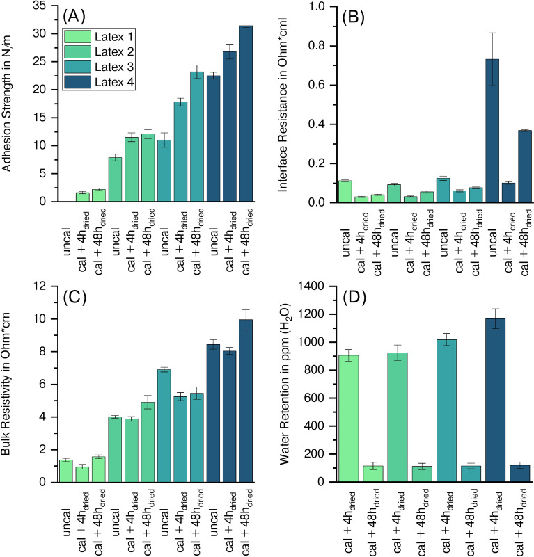
材料的表面自由能对界面间的相互作用起着至关重要的作用。在本研究中,我们介绍了表面自由能背后的理论,并将其应用于锂离子电池正(阴极)和负(阳极)电极的溶剂基制造工艺。通过使用具有不同表面自由能组成的粘合剂,即聚偏二氟乙烯乳液和羧甲基纤维素钠,我们系统地研究了表面自由能如何影响关键电极性能。粘合剂的性质会影响电极中的粘附强度、电阻和保水性,在阴极和阳极中也观察到类似的效果。对于阴极来说,这些差异转化为对电池性能的可测量影响,特别是在速率能力和长期循环稳定性方面。我们还探讨了粘合剂诱导的保水性变化如何影响固体电解质界面的形成和稳定性。研究结果强调了粘结剂的表面自由能组成在优化电极制造中的关键作用,并为电极表面化学、微观结构和电化学性能之间的相互作用提供了新的见解。
本文章由计算机程序翻译,如有差异,请以英文原文为准。

The impact of binder polarity on the properties of aqueously processed positive and negative electrodes for lithium-ion batteries.

The impact of binder polarity on the properties of aqueously processed positive and negative electrodes for lithium-ion batteries.

The impact of binder polarity on the properties of aqueously processed positive and negative electrodes for lithium-ion batteries.

The impact of binder polarity on the properties of aqueously processed positive and negative electrodes for lithium-ion batteries.

The surface free energy of materials plays a crucial role in defining the interactions between interfaces. In this study, we introduce the theory behind surface free energy and extend its application to solvent-based manufacturing processes of positive (cathode) and negative (anode) electrodes for lithium-ion batteries. By employing binders, namely polyvinylidene difluoride latices and sodium carboxymethyl cellulose, with differing surface free energy compositions, we systematically investigate how surface free energy influences key electrode properties. The binder properties are shown to affect adhesion strength, electrical resistance, and water retention in electrodes, with analogous effects observed in both cathodes and anodes. For cathodes, these differences translate to measurable impacts on cell performance, particularly in terms of rate capability and long-term cycling stability. We also explore how binder induced variations in water retention influence the formation and stability of the solid electrolyte interphase. The findings highlight the critical role of the binder's surface free energy composition in optimizing electrode manufacturing and provide new insights into the interplay between electrode surface chemistry, microstructure, and electrochemical performance.

求助全文
通过发布文献求助,成功后即可免费获取论文全文。 去求助
来源期刊
Scientific Reports
Scientific Reports Natural Science Disciplines-
CiteScore
7.50
自引率
4.30%
发文量
19567
审稿时长
3.9 months
期刊介绍: We publish original research from all areas of the natural sciences, psychology, medicine and engineering. You can learn more about what we publish by browsing our specific scientific subject areas below or explore Scientific Reports by browsing all articles and collections. Scientific Reports has a 2-year impact factor: 4.380 (2021), and is the 6th most-cited journal in the world, with more than 540,000 citations in 2020 (Clarivate Analytics, 2021). •Engineering Engineering covers all aspects of engineering, technology, and applied science. It plays a crucial role in the development of technologies to address some of the world''s biggest challenges, helping to save lives and improve the way we live. •Physical sciences Physical sciences are those academic disciplines that aim to uncover the underlying laws of nature — often written in the language of mathematics. It is a collective term for areas of study including astronomy, chemistry, materials science and physics. •Earth and environmental sciences Earth and environmental sciences cover all aspects of Earth and planetary science and broadly encompass solid Earth processes, surface and atmospheric dynamics, Earth system history, climate and climate change, marine and freshwater systems, and ecology. It also considers the interactions between humans and these systems. •Biological sciences Biological sciences encompass all the divisions of natural sciences examining various aspects of vital processes. The concept includes anatomy, physiology, cell biology, biochemistry and biophysics, and covers all organisms from microorganisms, animals to plants. •Health sciences The health sciences study health, disease and healthcare. This field of study aims to develop knowledge, interventions and technology for use in healthcare to improve the treatment of patients.
×
引用
GB/T 7714-2015
复制
MLA
复制
APA
复制
导出至
BibTeX EndNote RefMan NoteFirst NoteExpress
×
提示
您的信息不完整,为了账户安全,请先补充。
现在去补充
×
提示
您因"违规操作"
具体请查看互助需知
我知道了
×
提示
确定
请完成安全验证×
copy
已复制链接
快去分享给好友吧!
我知道了
右上角分享
点击右上角分享
0
联系我们:info@booksci.cn Book学术提供免费学术资源搜索服务,方便国内外学者检索中英文文献。致力于提供最便捷和优质的服务体验。 Copyright © 2023 布克学术 All rights reserved.
京ICP备2023020795号-1
ghs 京公网安备 11010802042870号
Book学术文献互助
Book学术文献互助群
群 号:604180095
Book学术官方微信