一项评估荧光光能对犬指间真菌抗菌管理效果的盲法随机分体临床试验。

IF 1.4 3区 农林科学 Q3 DERMATOLOGY
Veterinary dermatology Pub Date : 2025-06-01 Epub Date: 2025-03-21 DOI:10.1111/vde.13340
A Lange, U Mayer, E Bensignor, L Cornegliani, D Ferreira, I Matricoti, M Mosca, L Ordeix, D Pin, F Scarampella, E Videmont, A Yu, O Fantini
{"title":"一项评估荧光光能对犬指间真菌抗菌管理效果的盲法随机分体临床试验。","authors":"A Lange, U Mayer, E Bensignor, L Cornegliani, D Ferreira, I Matricoti, M Mosca, L Ordeix, D Pin, F Scarampella, E Videmont, A Yu, O Fantini","doi":"10.1111/vde.13340","DOIUrl":null,"url":null,"abstract":"<p><strong>Background: </strong>Canine interdigital furunculosis (CIF) is a complex, relapsing inflammatory condition, typically complicated by deep bacterial infections requiring prolonged systemic antibiotics.</p><p><strong>Hypothesis/objectives: </strong>This split-body study, where dogs acted as their own control, evaluated whether the adjunctive use of fluorescent light energy (FLE) could shorten the time to clinical resolution of CIF and minimise systemic antimicrobial use.</p><p><strong>Animals: </strong>Thirty-five client-owned dogs with signs of interdigital furunculosis in at least two paws.</p><p><strong>Materials and methods: </strong>This prospective, single-blinded, randomised, split-body multicentre clinical trial treated dogs with systemic antibiotics based on bacterial culture and sensitivity. One paw per dog was randomly selected using a coin-toss method for weekly FLE application, while the other paw served as a control. Dogs were scored every 2 weeks over 56 days on two parameters: a global lesion score (including haemorrhagic vesicles, fistulae with draining tracts, crusts and ulcers) and neutrophils engulfing bacteria score (NES, 0-4). Time to clinical resolution and lesion scores were assessed and compared between groups.</p><p><strong>Results: </strong>At Day (D)28 and D56, the FLE group showed significantly more healed paws (50% and 88%, p = 0.021) compared to the control (17% and 54%, p = 0.008). The median time to clinical resolution was shorter for the FLE group (35 days) compared to the control group (56 days, p = 0.017). No difference in NES score was observed between groups.</p><p><strong>Conclusions and clinical relevance: </strong>This blinded, randomised, split-body clinical trial demonstrated that FLE is an effective adjunctive therapy for CIF. It reduces the time to clinical resolution and increases the resolution rate while minimising the need for antibiotics.</p>","PeriodicalId":23599,"journal":{"name":"Veterinary dermatology","volume":" ","pages":"291-301"},"PeriodicalIF":1.4000,"publicationDate":"2025-06-01","publicationTypes":"Journal Article","fieldsOfStudy":null,"isOpenAccess":false,"openAccessPdf":"https://www.ncbi.nlm.nih.gov/pmc/articles/PMC12058574/pdf/","citationCount":"0","resultStr":"{\"title\":\"A blinded randomised split-body clinical trial evaluating the effect of fluorescent light energy on antimicrobial management of canine interdigital furunculosis.\",\"authors\":\"A Lange, U Mayer, E Bensignor, L Cornegliani, D Ferreira, I Matricoti, M Mosca, L Ordeix, D Pin, F Scarampella, E Videmont, A Yu, O Fantini\",\"doi\":\"10.1111/vde.13340\",\"DOIUrl\":null,\"url\":null,\"abstract\":\"<p><strong>Background: </strong>Canine interdigital furunculosis (CIF) is a complex, relapsing inflammatory condition, typically complicated by deep bacterial infections requiring prolonged systemic antibiotics.</p><p><strong>Hypothesis/objectives: </strong>This split-body study, where dogs acted as their own control, evaluated whether the adjunctive use of fluorescent light energy (FLE) could shorten the time to clinical resolution of CIF and minimise systemic antimicrobial use.</p><p><strong>Animals: </strong>Thirty-five client-owned dogs with signs of interdigital furunculosis in at least two paws.</p><p><strong>Materials and methods: </strong>This prospective, single-blinded, randomised, split-body multicentre clinical trial treated dogs with systemic antibiotics based on bacterial culture and sensitivity. One paw per dog was randomly selected using a coin-toss method for weekly FLE application, while the other paw served as a control. Dogs were scored every 2 weeks over 56 days on two parameters: a global lesion score (including haemorrhagic vesicles, fistulae with draining tracts, crusts and ulcers) and neutrophils engulfing bacteria score (NES, 0-4). Time to clinical resolution and lesion scores were assessed and compared between groups.</p><p><strong>Results: </strong>At Day (D)28 and D56, the FLE group showed significantly more healed paws (50% and 88%, p = 0.021) compared to the control (17% and 54%, p = 0.008). The median time to clinical resolution was shorter for the FLE group (35 days) compared to the control group (56 days, p = 0.017). No difference in NES score was observed between groups.</p><p><strong>Conclusions and clinical relevance: </strong>This blinded, randomised, split-body clinical trial demonstrated that FLE is an effective adjunctive therapy for CIF. It reduces the time to clinical resolution and increases the resolution rate while minimising the need for antibiotics.</p>\",\"PeriodicalId\":23599,\"journal\":{\"name\":\"Veterinary dermatology\",\"volume\":\" \",\"pages\":\"291-301\"},\"PeriodicalIF\":1.4000,\"publicationDate\":\"2025-06-01\",\"publicationTypes\":\"Journal Article\",\"fieldsOfStudy\":null,\"isOpenAccess\":false,\"openAccessPdf\":\"https://www.ncbi.nlm.nih.gov/pmc/articles/PMC12058574/pdf/\",\"citationCount\":\"0\",\"resultStr\":null,\"platform\":\"Semanticscholar\",\"paperid\":null,\"PeriodicalName\":\"Veterinary dermatology\",\"FirstCategoryId\":\"97\",\"ListUrlMain\":\"https://doi.org/10.1111/vde.13340\",\"RegionNum\":3,\"RegionCategory\":\"农林科学\",\"ArticlePicture\":[],\"TitleCN\":null,\"AbstractTextCN\":null,\"PMCID\":null,\"EPubDate\":\"2025/3/21 0:00:00\",\"PubModel\":\"Epub\",\"JCR\":\"Q3\",\"JCRName\":\"DERMATOLOGY\",\"Score\":null,\"Total\":0}","platform":"Semanticscholar","paperid":null,"PeriodicalName":"Veterinary dermatology","FirstCategoryId":"97","ListUrlMain":"https://doi.org/10.1111/vde.13340","RegionNum":3,"RegionCategory":"农林科学","ArticlePicture":[],"TitleCN":null,"AbstractTextCN":null,"PMCID":null,"EPubDate":"2025/3/21 0:00:00","PubModel":"Epub","JCR":"Q3","JCRName":"DERMATOLOGY","Score":null,"Total":0}
引用次数: 0

摘要

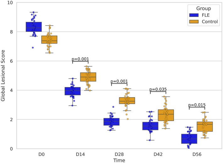
犬指间疖病(CIF)是一种复杂的、反复发作的炎症,通常伴有深部细菌感染,需要长期的全身抗生素治疗。假设/目的:这项分体研究,狗作为自己的对照,评估辅助使用荧光光能(FLE)是否可以缩短CIF临床解决的时间,并最大限度地减少全身抗菌药物的使用。动物:35只客户拥有的狗,至少两只爪子有指间疖病的迹象。材料和方法:这项前瞻性、单盲、随机、多中心临床试验根据细菌培养和敏感性对犬进行全身抗生素治疗。每只狗用抛硬币的方法随机选择一只爪子进行每周的FLE应用,而另一只爪子作为对照。在56天内,每2周对狗进行两个参数评分:整体病变评分(包括出血性囊泡、带引流管的瘘管、结痂和溃疡)和中性粒细胞吞噬细菌评分(NES, 0-4)。评估并比较两组临床缓解时间和病变评分。结果:在第28天和第56天,FLE组的爪子愈合率(50%和88%,p = 0.021)明显高于对照组(17%和54%,p = 0.008)。与对照组(56天,p = 0.017)相比,FLE组到临床缓解的中位时间(35天)更短。各组间NES评分无差异。结论和临床意义:这项盲法、随机、分体临床试验表明,FLE是一种有效的CIF辅助治疗。它减少了临床解决的时间,提高了解决率,同时最大限度地减少了对抗生素的需求。
本文章由计算机程序翻译,如有差异,请以英文原文为准。

A blinded randomised split-body clinical trial evaluating the effect of fluorescent light energy on antimicrobial management of canine interdigital furunculosis.

A blinded randomised split-body clinical trial evaluating the effect of fluorescent light energy on antimicrobial management of canine interdigital furunculosis.

A blinded randomised split-body clinical trial evaluating the effect of fluorescent light energy on antimicrobial management of canine interdigital furunculosis.

A blinded randomised split-body clinical trial evaluating the effect of fluorescent light energy on antimicrobial management of canine interdigital furunculosis.

Background: Canine interdigital furunculosis (CIF) is a complex, relapsing inflammatory condition, typically complicated by deep bacterial infections requiring prolonged systemic antibiotics.

Hypothesis/objectives: This split-body study, where dogs acted as their own control, evaluated whether the adjunctive use of fluorescent light energy (FLE) could shorten the time to clinical resolution of CIF and minimise systemic antimicrobial use.

Animals: Thirty-five client-owned dogs with signs of interdigital furunculosis in at least two paws.

Materials and methods: This prospective, single-blinded, randomised, split-body multicentre clinical trial treated dogs with systemic antibiotics based on bacterial culture and sensitivity. One paw per dog was randomly selected using a coin-toss method for weekly FLE application, while the other paw served as a control. Dogs were scored every 2 weeks over 56 days on two parameters: a global lesion score (including haemorrhagic vesicles, fistulae with draining tracts, crusts and ulcers) and neutrophils engulfing bacteria score (NES, 0-4). Time to clinical resolution and lesion scores were assessed and compared between groups.

Results: At Day (D)28 and D56, the FLE group showed significantly more healed paws (50% and 88%, p = 0.021) compared to the control (17% and 54%, p = 0.008). The median time to clinical resolution was shorter for the FLE group (35 days) compared to the control group (56 days, p = 0.017). No difference in NES score was observed between groups.

Conclusions and clinical relevance: This blinded, randomised, split-body clinical trial demonstrated that FLE is an effective adjunctive therapy for CIF. It reduces the time to clinical resolution and increases the resolution rate while minimising the need for antibiotics.

求助全文
通过发布文献求助,成功后即可免费获取论文全文。 去求助
来源期刊
Veterinary dermatology
Veterinary dermatology 农林科学-兽医学
CiteScore
3.20
自引率
21.40%
发文量
92
审稿时长
12-24 weeks
期刊介绍: Veterinary Dermatology is a bi-monthly, peer-reviewed, international journal which publishes papers on all aspects of the skin of mammals, birds, reptiles, amphibians and fish. Scientific research papers, clinical case reports and reviews covering the following aspects of dermatology will be considered for publication: -Skin structure (anatomy, histology, ultrastructure) -Skin function (physiology, biochemistry, pharmacology, immunology, genetics) -Skin microbiology and parasitology -Dermatopathology -Pathogenesis, diagnosis and treatment of skin diseases -New disease entities
×
引用
GB/T 7714-2015
复制
MLA
复制
APA
复制
导出至
BibTeX EndNote RefMan NoteFirst NoteExpress
×
提示
您的信息不完整,为了账户安全,请先补充。
现在去补充
×
提示
您因"违规操作"
具体请查看互助需知
我知道了
×
提示
确定
请完成安全验证×
copy
已复制链接
快去分享给好友吧!
我知道了
右上角分享
点击右上角分享
0
联系我们:info@booksci.cn Book学术提供免费学术资源搜索服务,方便国内外学者检索中英文文献。致力于提供最便捷和优质的服务体验。 Copyright © 2023 布克学术 All rights reserved.
京ICP备2023020795号-1
ghs 京公网安备 11010802042870号
Book学术文献互助
Book学术文献互助群
群 号:604180095
Book学术官方微信