血清基质金属蛋白酶-9作为阻塞性睡眠呼吸暂停严重程度的潜在生物标志物。

IF 2 4区 医学 Q3 CLINICAL NEUROLOGY
So Yeon Kim, Hyunyee Yoon, Seung Ho Choi, Jaeyoung Cho
{"title":"血清基质金属蛋白酶-9作为阻塞性睡眠呼吸暂停严重程度的潜在生物标志物。","authors":"So Yeon Kim, Hyunyee Yoon, Seung Ho Choi, Jaeyoung Cho","doi":"10.1007/s11325-025-03287-2","DOIUrl":null,"url":null,"abstract":"<p><strong>Purpose: </strong>We aimed to investigate the associations between serum matrix metalloproteinase (MMP)-2 and MMP-9 levels and obstructive sleep apnea (OSA) severity with a focus on nocturnal hypoxemia.</p><p><strong>Methods: </strong>The OSA patients (n = 105) were recruited from a prospective sleep apnea cohort after polysomnography, with 27 healthy volunteers as the controls. OSA severity was assessed via the apnea-hypopnea index (AHI) and percent night time with SpO<sub>2</sub> < 90% (T90).</p><p><strong>Results: </strong>The serum MMP-9 levels were significantly higher in the OSA patients (AHI ≥ 5/h, 68.8 ± 44.9 ng/mL) than the controls (49.0 ± 18.6 ng/mL, p < 0.001). The MMP-2 levels showed no significant differences. When grouped into T90 quartiles, the MMP-9 levels were higher in the OSA patients in the highest quartile compared to those in the lowest quartile or the controls (90.6 ± 56.3 ng/mL vs. 56.9 ± 31.9 ng/mL, p = 0.022; 90.6 ± 56.3 ng/mL vs. 49.0 ± 18.6 ng/mL, p = 0.002, respectively). The MMP-9 levels correlated with T90 and the AHI (r = 0.36, p < 0.001; r = 0.35, p < 0.001, respectively). Multiple linear regression confirmed a significant association between MMP-9 and T90 after adjusting for body mass index, smoking status, and comorbidities (β = 0.53, p = 0.013). A similar association was observed for the AHI (β = 0.48, p = 0.019).</p><p><strong>Conclusion: </strong>We concluded that serum MMP-9 levels are independently associated with OSA severity, particularly with T90 and the AHI, which suggests that MMP-9 could be a biomarker for OSA severity.</p>","PeriodicalId":21862,"journal":{"name":"Sleep and Breathing","volume":"29 2","pages":"134"},"PeriodicalIF":2.0000,"publicationDate":"2025-03-21","publicationTypes":"Journal Article","fieldsOfStudy":null,"isOpenAccess":false,"openAccessPdf":"https://www.ncbi.nlm.nih.gov/pmc/articles/PMC11928356/pdf/","citationCount":"0","resultStr":"{\"title\":\"Serum matrix metalloproteinase-9 as a potential biomarker for obstructive sleep apnea severity.\",\"authors\":\"So Yeon Kim, Hyunyee Yoon, Seung Ho Choi, Jaeyoung Cho\",\"doi\":\"10.1007/s11325-025-03287-2\",\"DOIUrl\":null,\"url\":null,\"abstract\":\"<p><strong>Purpose: </strong>We aimed to investigate the associations between serum matrix metalloproteinase (MMP)-2 and MMP-9 levels and obstructive sleep apnea (OSA) severity with a focus on nocturnal hypoxemia.</p><p><strong>Methods: </strong>The OSA patients (n = 105) were recruited from a prospective sleep apnea cohort after polysomnography, with 27 healthy volunteers as the controls. OSA severity was assessed via the apnea-hypopnea index (AHI) and percent night time with SpO<sub>2</sub> < 90% (T90).</p><p><strong>Results: </strong>The serum MMP-9 levels were significantly higher in the OSA patients (AHI ≥ 5/h, 68.8 ± 44.9 ng/mL) than the controls (49.0 ± 18.6 ng/mL, p < 0.001). The MMP-2 levels showed no significant differences. When grouped into T90 quartiles, the MMP-9 levels were higher in the OSA patients in the highest quartile compared to those in the lowest quartile or the controls (90.6 ± 56.3 ng/mL vs. 56.9 ± 31.9 ng/mL, p = 0.022; 90.6 ± 56.3 ng/mL vs. 49.0 ± 18.6 ng/mL, p = 0.002, respectively). The MMP-9 levels correlated with T90 and the AHI (r = 0.36, p < 0.001; r = 0.35, p < 0.001, respectively). Multiple linear regression confirmed a significant association between MMP-9 and T90 after adjusting for body mass index, smoking status, and comorbidities (β = 0.53, p = 0.013). A similar association was observed for the AHI (β = 0.48, p = 0.019).</p><p><strong>Conclusion: </strong>We concluded that serum MMP-9 levels are independently associated with OSA severity, particularly with T90 and the AHI, which suggests that MMP-9 could be a biomarker for OSA severity.</p>\",\"PeriodicalId\":21862,\"journal\":{\"name\":\"Sleep and Breathing\",\"volume\":\"29 2\",\"pages\":\"134\"},\"PeriodicalIF\":2.0000,\"publicationDate\":\"2025-03-21\",\"publicationTypes\":\"Journal Article\",\"fieldsOfStudy\":null,\"isOpenAccess\":false,\"openAccessPdf\":\"https://www.ncbi.nlm.nih.gov/pmc/articles/PMC11928356/pdf/\",\"citationCount\":\"0\",\"resultStr\":null,\"platform\":\"Semanticscholar\",\"paperid\":null,\"PeriodicalName\":\"Sleep and Breathing\",\"FirstCategoryId\":\"3\",\"ListUrlMain\":\"https://doi.org/10.1007/s11325-025-03287-2\",\"RegionNum\":4,\"RegionCategory\":\"医学\",\"ArticlePicture\":[],\"TitleCN\":null,\"AbstractTextCN\":null,\"PMCID\":null,\"EPubDate\":\"\",\"PubModel\":\"\",\"JCR\":\"Q3\",\"JCRName\":\"CLINICAL NEUROLOGY\",\"Score\":null,\"Total\":0}","platform":"Semanticscholar","paperid":null,"PeriodicalName":"Sleep and Breathing","FirstCategoryId":"3","ListUrlMain":"https://doi.org/10.1007/s11325-025-03287-2","RegionNum":4,"RegionCategory":"医学","ArticlePicture":[],"TitleCN":null,"AbstractTextCN":null,"PMCID":null,"EPubDate":"","PubModel":"","JCR":"Q3","JCRName":"CLINICAL NEUROLOGY","Score":null,"Total":0}
引用次数: 0

摘要

目的:我们旨在研究血清基质金属蛋白酶(MMP)-2和MMP-9水平与阻塞性睡眠呼吸暂停(OSA)严重程度之间的关系,重点是夜间低氧血症。方法:采用多导睡眠法从睡眠呼吸暂停队列中招募OSA患者105例,健康志愿者27例作为对照。结果:OSA患者血清MMP-9水平(AHI≥5/h, 68.8±44.9 ng/mL)显著高于对照组(49.0±18.6 ng/mL, p)。结论:血清MMP-9水平与OSA严重程度独立相关,特别是与T90和AHI相关,提示MMP-9可能是OSA严重程度的生物标志物。
本文章由计算机程序翻译,如有差异,请以英文原文为准。

Serum matrix metalloproteinase-9 as a potential biomarker for obstructive sleep apnea severity.

Serum matrix metalloproteinase-9 as a potential biomarker for obstructive sleep apnea severity.

Serum matrix metalloproteinase-9 as a potential biomarker for obstructive sleep apnea severity.

Purpose: We aimed to investigate the associations between serum matrix metalloproteinase (MMP)-2 and MMP-9 levels and obstructive sleep apnea (OSA) severity with a focus on nocturnal hypoxemia.

Methods: The OSA patients (n = 105) were recruited from a prospective sleep apnea cohort after polysomnography, with 27 healthy volunteers as the controls. OSA severity was assessed via the apnea-hypopnea index (AHI) and percent night time with SpO2 < 90% (T90).

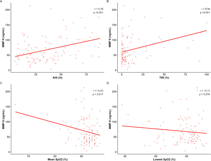
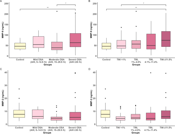
Results: The serum MMP-9 levels were significantly higher in the OSA patients (AHI ≥ 5/h, 68.8 ± 44.9 ng/mL) than the controls (49.0 ± 18.6 ng/mL, p < 0.001). The MMP-2 levels showed no significant differences. When grouped into T90 quartiles, the MMP-9 levels were higher in the OSA patients in the highest quartile compared to those in the lowest quartile or the controls (90.6 ± 56.3 ng/mL vs. 56.9 ± 31.9 ng/mL, p = 0.022; 90.6 ± 56.3 ng/mL vs. 49.0 ± 18.6 ng/mL, p = 0.002, respectively). The MMP-9 levels correlated with T90 and the AHI (r = 0.36, p < 0.001; r = 0.35, p < 0.001, respectively). Multiple linear regression confirmed a significant association between MMP-9 and T90 after adjusting for body mass index, smoking status, and comorbidities (β = 0.53, p = 0.013). A similar association was observed for the AHI (β = 0.48, p = 0.019).

Conclusion: We concluded that serum MMP-9 levels are independently associated with OSA severity, particularly with T90 and the AHI, which suggests that MMP-9 could be a biomarker for OSA severity.

求助全文
通过发布文献求助,成功后即可免费获取论文全文。 去求助
来源期刊
Sleep and Breathing
Sleep and Breathing 医学-呼吸系统
CiteScore
5.20
自引率
4.00%
发文量
222
审稿时长
3-8 weeks
期刊介绍: The journal Sleep and Breathing aims to reflect the state of the art in the international science and practice of sleep medicine. The journal is based on the recognition that management of sleep disorders requires a multi-disciplinary approach and diverse perspectives. The initial focus of Sleep and Breathing is on timely and original studies that collect, intervene, or otherwise inform all clinicians and scientists in medicine, dentistry and oral surgery, otolaryngology, and epidemiology on the management of the upper airway during sleep. Furthermore, Sleep and Breathing endeavors to bring readers cutting edge information about all evolving aspects of common sleep disorders or disruptions, such as insomnia and shift work. The journal includes not only patient studies, but also studies that emphasize the principles of physiology and pathophysiology or illustrate potentially novel approaches to diagnosis and treatment. In addition, the journal features articles that describe patient-oriented and cost-benefit health outcomes research. Thus, with peer review by an international Editorial Board and prompt English-language publication, Sleep and Breathing provides rapid dissemination of clinical and clinically related scientific information. But it also does more: it is dedicated to making the most important developments in sleep disordered breathing easily accessible to clinicians who are treating sleep apnea by presenting well-chosen, well-written, and highly organized information that is useful for patient care.
×
引用
GB/T 7714-2015
复制
MLA
复制
APA
复制
导出至
BibTeX EndNote RefMan NoteFirst NoteExpress
×
提示
您的信息不完整,为了账户安全,请先补充。
现在去补充
×
提示
您因"违规操作"
具体请查看互助需知
我知道了
×
提示
确定
请完成安全验证×
copy
已复制链接
快去分享给好友吧!
我知道了
右上角分享
点击右上角分享
0
联系我们:info@booksci.cn Book学术提供免费学术资源搜索服务,方便国内外学者检索中英文文献。致力于提供最便捷和优质的服务体验。 Copyright © 2023 布克学术 All rights reserved.
京ICP备2023020795号-1
ghs 京公网安备 11010802042870号
Book学术文献互助
Book学术文献互助群
群 号:604180095
Book学术官方微信