在两个欧洲队列中,在多个尿液样本中评估产前暴露于合成酚和类固醇激素体内平衡失调。

IF 9.8 1区 环境科学与生态学 Q1 ENVIRONMENTAL SCIENCES
Environmental Health Perspectives Pub Date : 2025-05-01 Epub Date: 2025-05-22 DOI:10.1289/EHP15117
Paulina Jedynak, Mariona Bustamante, Matthieu Rolland, Vicente Mustieles, Cathrine Thomsen, Amrit K Sakhi, Azemira Sabaredzovic, Maria Foraster, Mireia Gascon, Maria Dolores Gómez-Roig, Elisa Llurba, Ioar Rivas, Isabelle Ouellet-Morin, Sam Bayat, Sarah Lyon-Caen, Oscar J Pozo, Martine Vrijheid, Jordi Sunyer, Rémy Slama, Payam Dadvand, Claire Philippat
{"title":"在两个欧洲队列中,在多个尿液样本中评估产前暴露于合成酚和类固醇激素体内平衡失调。","authors":"Paulina Jedynak, Mariona Bustamante, Matthieu Rolland, Vicente Mustieles, Cathrine Thomsen, Amrit K Sakhi, Azemira Sabaredzovic, Maria Foraster, Mireia Gascon, Maria Dolores Gómez-Roig, Elisa Llurba, Ioar Rivas, Isabelle Ouellet-Morin, Sam Bayat, Sarah Lyon-Caen, Oscar J Pozo, Martine Vrijheid, Jordi Sunyer, Rémy Slama, Payam Dadvand, Claire Philippat","doi":"10.1289/EHP15117","DOIUrl":null,"url":null,"abstract":"<p><strong>Background: </strong>Some synthetic phenols alter hormonal pathways involved in successful pregnancy and fetal development. Despite high within-subject temporal variability of phenols, previous studies mostly utilized spot urine samples to assess pregnancy exposure. Herein, we investigated associations between pregnancy exposure to eight phenols assessed in multiple pooled urine samples and steroid hormones assessed in maternal hair reflecting cumulative hormone levels over the previous weeks to months.</p><p><strong>Methods: </strong>We assessed phenol-hormone associations in 928 pregnant women from two pooled cohorts recruited in Spain [Barcelona Life Study Cohort (BiSC), 2018-2021] and France [Assessment of Air Pollution exposure during Pregnancy and Effect on Health (SEPAGES), 2014-2017] using pools of up to 21 samples each, collected in early pregnancy (median gestational age: 18.0 wk), as well as hair collected in late pregnancy (BiSC) or at birth (SEPAGES). We measured two bisphenols, four parabens, benzophenone-3, and triclosan along with metabolites of three adrenal (<math><mrow><mo>∑</mo><mtext>cortisol</mtext></mrow></math>, <math><mrow><mo>∑</mo><mtext>cortisone</mtext></mrow></math>, and 11-dehydrocorticosterone) and two reproductive (progesterone and testosterone) hormones. We ran adjusted linear regressions for each exposure biomarker-outcome pair and Bayesian kernel machine regression for phenols mixture.</p><p><strong>Results: </strong>Bisphenol S was associated with higher cortisol and 11-dehydrocorticosterone concentrations. Propylparaben was associated with lower levels of cortisol, cortisone, and 11-dehydrocorticosterone, while methylparaben was linked to a reduction in cortisol levels. Interestingly, associations identified for parabens were stronger for women carrying female fetuses. No associations for phenol mixture were detected.</p><p><strong>Conclusions: </strong>Our study suggests that pregnancy exposure to bisphenol S and some parabens (propyl- and methylparaben) may affect production of maternal corticosteroid hormones that are important for a successful pregnancy and fetal development. https://doi.org/10.1289/EHP15117.</p>","PeriodicalId":11862,"journal":{"name":"Environmental Health Perspectives","volume":" ","pages":"57011"},"PeriodicalIF":9.8000,"publicationDate":"2025-05-01","publicationTypes":"Journal Article","fieldsOfStudy":null,"isOpenAccess":false,"openAccessPdf":"https://www.ncbi.nlm.nih.gov/pmc/articles/PMC12097533/pdf/","citationCount":"0","resultStr":"{\"title\":\"Prenatal Exposure to Synthetic Phenols Assessed in Multiple Urine Samples and Dysregulation of Steroid Hormone Homeostasis in Two European Cohorts.\",\"authors\":\"Paulina Jedynak, Mariona Bustamante, Matthieu Rolland, Vicente Mustieles, Cathrine Thomsen, Amrit K Sakhi, Azemira Sabaredzovic, Maria Foraster, Mireia Gascon, Maria Dolores Gómez-Roig, Elisa Llurba, Ioar Rivas, Isabelle Ouellet-Morin, Sam Bayat, Sarah Lyon-Caen, Oscar J Pozo, Martine Vrijheid, Jordi Sunyer, Rémy Slama, Payam Dadvand, Claire Philippat\",\"doi\":\"10.1289/EHP15117\",\"DOIUrl\":null,\"url\":null,\"abstract\":\"<p><strong>Background: </strong>Some synthetic phenols alter hormonal pathways involved in successful pregnancy and fetal development. Despite high within-subject temporal variability of phenols, previous studies mostly utilized spot urine samples to assess pregnancy exposure. Herein, we investigated associations between pregnancy exposure to eight phenols assessed in multiple pooled urine samples and steroid hormones assessed in maternal hair reflecting cumulative hormone levels over the previous weeks to months.</p><p><strong>Methods: </strong>We assessed phenol-hormone associations in 928 pregnant women from two pooled cohorts recruited in Spain [Barcelona Life Study Cohort (BiSC), 2018-2021] and France [Assessment of Air Pollution exposure during Pregnancy and Effect on Health (SEPAGES), 2014-2017] using pools of up to 21 samples each, collected in early pregnancy (median gestational age: 18.0 wk), as well as hair collected in late pregnancy (BiSC) or at birth (SEPAGES). We measured two bisphenols, four parabens, benzophenone-3, and triclosan along with metabolites of three adrenal (<math><mrow><mo>∑</mo><mtext>cortisol</mtext></mrow></math>, <math><mrow><mo>∑</mo><mtext>cortisone</mtext></mrow></math>, and 11-dehydrocorticosterone) and two reproductive (progesterone and testosterone) hormones. We ran adjusted linear regressions for each exposure biomarker-outcome pair and Bayesian kernel machine regression for phenols mixture.</p><p><strong>Results: </strong>Bisphenol S was associated with higher cortisol and 11-dehydrocorticosterone concentrations. Propylparaben was associated with lower levels of cortisol, cortisone, and 11-dehydrocorticosterone, while methylparaben was linked to a reduction in cortisol levels. Interestingly, associations identified for parabens were stronger for women carrying female fetuses. No associations for phenol mixture were detected.</p><p><strong>Conclusions: </strong>Our study suggests that pregnancy exposure to bisphenol S and some parabens (propyl- and methylparaben) may affect production of maternal corticosteroid hormones that are important for a successful pregnancy and fetal development. https://doi.org/10.1289/EHP15117.</p>\",\"PeriodicalId\":11862,\"journal\":{\"name\":\"Environmental Health Perspectives\",\"volume\":\" \",\"pages\":\"57011\"},\"PeriodicalIF\":9.8000,\"publicationDate\":\"2025-05-01\",\"publicationTypes\":\"Journal Article\",\"fieldsOfStudy\":null,\"isOpenAccess\":false,\"openAccessPdf\":\"https://www.ncbi.nlm.nih.gov/pmc/articles/PMC12097533/pdf/\",\"citationCount\":\"0\",\"resultStr\":null,\"platform\":\"Semanticscholar\",\"paperid\":null,\"PeriodicalName\":\"Environmental Health Perspectives\",\"FirstCategoryId\":\"93\",\"ListUrlMain\":\"https://doi.org/10.1289/EHP15117\",\"RegionNum\":1,\"RegionCategory\":\"环境科学与生态学\",\"ArticlePicture\":[],\"TitleCN\":null,\"AbstractTextCN\":null,\"PMCID\":null,\"EPubDate\":\"2025/5/22 0:00:00\",\"PubModel\":\"Epub\",\"JCR\":\"Q1\",\"JCRName\":\"ENVIRONMENTAL SCIENCES\",\"Score\":null,\"Total\":0}","platform":"Semanticscholar","paperid":null,"PeriodicalName":"Environmental Health Perspectives","FirstCategoryId":"93","ListUrlMain":"https://doi.org/10.1289/EHP15117","RegionNum":1,"RegionCategory":"环境科学与生态学","ArticlePicture":[],"TitleCN":null,"AbstractTextCN":null,"PMCID":null,"EPubDate":"2025/5/22 0:00:00","PubModel":"Epub","JCR":"Q1","JCRName":"ENVIRONMENTAL SCIENCES","Score":null,"Total":0}
引用次数: 0

摘要

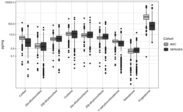
背景:一些合成酚类物质改变了参与成功妊娠和胎儿发育的激素通路。尽管酚类物质在受试者体内的时间差异很大,但以前的研究大多利用尿样来评估妊娠暴露。在此,我们研究了妊娠期间暴露于多个汇集尿液样本中评估的八种酚类物质与母亲头发中评估的类固醇激素之间的关系,这些激素反映了前几周到几个月的累积激素水平。方法:我们从西班牙(BiSC, 2018-2021)和法国(SEPAGES, 2014-2017)招募的两个合并队列中评估了928名孕妇的酚激素相关性,每个队列使用多达21个样本,收集于妊娠早期(中位胎龄:18.0周),以及妊娠晚期(BiSC)或出生时(SEPAGES)收集的头发。我们测量了两种双酚类、四种对羟基苯甲酸酯类、二苯甲酮-3和三氯生,以及三种肾上腺激素(Σcortisol、Σcortisone、11-脱氢皮质酮)和两种生殖激素(孕酮、睾酮)的代谢物。我们对每个暴露结果对进行了调整后的线性回归,并对酚类混合物进行了贝叶斯核机回归。结果:双酚S与较高的皮质醇和11-脱氢皮质酮浓度相关。对羟基苯甲酸丙酯与皮质醇、可的松和11-脱氢皮质酮水平降低有关,而对羟基苯甲酸甲酯与皮质醇水平降低有关。有趣的是,对羟基苯甲酸酯与女性胎儿的关联更强。没有发现酚类混合物的关联。结论:我们的研究表明,妊娠暴露于双酚S和一些对羟基苯甲酸酯(丙基和对羟基苯甲酸甲酯)可能会影响母体皮质类固醇激素的产生,而皮质类固醇激素对成功妊娠和胎儿发育至关重要。
本文章由计算机程序翻译,如有差异,请以英文原文为准。

Prenatal Exposure to Synthetic Phenols Assessed in Multiple Urine Samples and Dysregulation of Steroid Hormone Homeostasis in Two European Cohorts.

Prenatal Exposure to Synthetic Phenols Assessed in Multiple Urine Samples and Dysregulation of Steroid Hormone Homeostasis in Two European Cohorts.

Prenatal Exposure to Synthetic Phenols Assessed in Multiple Urine Samples and Dysregulation of Steroid Hormone Homeostasis in Two European Cohorts.

Prenatal Exposure to Synthetic Phenols Assessed in Multiple Urine Samples and Dysregulation of Steroid Hormone Homeostasis in Two European Cohorts.

Background: Some synthetic phenols alter hormonal pathways involved in successful pregnancy and fetal development. Despite high within-subject temporal variability of phenols, previous studies mostly utilized spot urine samples to assess pregnancy exposure. Herein, we investigated associations between pregnancy exposure to eight phenols assessed in multiple pooled urine samples and steroid hormones assessed in maternal hair reflecting cumulative hormone levels over the previous weeks to months.

Methods: We assessed phenol-hormone associations in 928 pregnant women from two pooled cohorts recruited in Spain [Barcelona Life Study Cohort (BiSC), 2018-2021] and France [Assessment of Air Pollution exposure during Pregnancy and Effect on Health (SEPAGES), 2014-2017] using pools of up to 21 samples each, collected in early pregnancy (median gestational age: 18.0 wk), as well as hair collected in late pregnancy (BiSC) or at birth (SEPAGES). We measured two bisphenols, four parabens, benzophenone-3, and triclosan along with metabolites of three adrenal (cortisol, cortisone, and 11-dehydrocorticosterone) and two reproductive (progesterone and testosterone) hormones. We ran adjusted linear regressions for each exposure biomarker-outcome pair and Bayesian kernel machine regression for phenols mixture.

Results: Bisphenol S was associated with higher cortisol and 11-dehydrocorticosterone concentrations. Propylparaben was associated with lower levels of cortisol, cortisone, and 11-dehydrocorticosterone, while methylparaben was linked to a reduction in cortisol levels. Interestingly, associations identified for parabens were stronger for women carrying female fetuses. No associations for phenol mixture were detected.

Conclusions: Our study suggests that pregnancy exposure to bisphenol S and some parabens (propyl- and methylparaben) may affect production of maternal corticosteroid hormones that are important for a successful pregnancy and fetal development. https://doi.org/10.1289/EHP15117.

求助全文
通过发布文献求助,成功后即可免费获取论文全文。 去求助
来源期刊
Environmental Health Perspectives
Environmental Health Perspectives 环境科学-公共卫生、环境卫生与职业卫生
CiteScore
14.40
自引率
2.90%
发文量
388
审稿时长
6 months
期刊介绍: Environmental Health Perspectives (EHP) is a monthly peer-reviewed journal supported by the National Institute of Environmental Health Sciences, part of the National Institutes of Health under the U.S. Department of Health and Human Services. Its mission is to facilitate discussions on the connections between the environment and human health by publishing top-notch research and news. EHP ranks third in Public, Environmental, and Occupational Health, fourth in Toxicology, and fifth in Environmental Sciences.
×
引用
GB/T 7714-2015
复制
MLA
复制
APA
复制
导出至
BibTeX EndNote RefMan NoteFirst NoteExpress
×
提示
您的信息不完整,为了账户安全,请先补充。
现在去补充
×
提示
您因"违规操作"
具体请查看互助需知
我知道了
×
提示
确定
请完成安全验证×
copy
已复制链接
快去分享给好友吧!
我知道了
右上角分享
点击右上角分享
0
联系我们:info@booksci.cn Book学术提供免费学术资源搜索服务,方便国内外学者检索中英文文献。致力于提供最便捷和优质的服务体验。 Copyright © 2023 布克学术 All rights reserved.
京ICP备2023020795号-1
ghs 京公网安备 11010802042870号
Book学术文献互助
Book学术文献互助群
群 号:604180095
Book学术官方微信