tyg相关指标在评估MASLD及重度肝纤维化中的价值。

IF 2.3 4区 医学 Q2 Medicine
Canadian Journal of Gastroenterology and Hepatology Pub Date : 2025-03-13 eCollection Date: 2025-01-01 DOI:10.1155/cjgh/5871321
Haoxuan Zou, Jiejie Xie, Xiaopu Ma, Yan Xie
{"title":"tyg相关指标在评估MASLD及重度肝纤维化中的价值。","authors":"Haoxuan Zou, Jiejie Xie, Xiaopu Ma, Yan Xie","doi":"10.1155/cjgh/5871321","DOIUrl":null,"url":null,"abstract":"<p><p><b>Background:</b> Triglyceride glucose (TyG) and its related index (TyG-body mass index, TyG-BMI) are recognized as markers for nonalcoholic fatty liver disease (NAFLD), but their associations with metabolic dysfunction-associated steatotic liver disease (MASLD) and significant liver fibrosis (SLF) risk are less studied. Therefore, this study explores the effectiveness of these indices in assessing MASLD and SLF risk in the U.S. population. <b>Methods:</b> Utilizing data from the National Health and Nutrition Examination Survey (NHANES), a cross-sectional study involving 5520 participants from the general population was performed. This research measured demographic, anthropometric, biochemical, comorbid, and lifestyle characteristics, all of which are considered risk factors for MASLD/SLF. <b>Results:</b> Upon controlling for confounding variables, only the TyG-BMI was found to have a consistent positive association with the risk of MASLD and SLF. Specifically, for each standard deviation increase, the odds ratio (OR) and 95% confidence interval (CI) were 4.44 (3.64-9.26, <i>p</i> for trend < 0.001) for MASLD and 2.48 (2.15-2.87, <i>p</i> for trend < 0.001) for SLF. Significant interactions were identified among age, sex, and the risk of MASLD associated with the TyG-BMI. The TyG-BMI also had a significant threshold effect on the risk of MASLD at a cutoff point of 180.71. Furthermore, the area under the receiver operating characteristic curve (AUC) revealed that the TyG-BMI better predicted the risk of MASLD and SLF (AUC 0.820, 95% CI 0.810-0.831; AUC 0.729, 95% CI 0.703-0.756, respectively). In addition, the integrated discrimination improvement (IDI), decision curve analysis (DCA), and net reclassification index (NRI) also demonstrated the satisfactory predictive ability of the TyG-BMI. <b>Conclusions:</b> Within this large dataset, the TyG-BMI was independently associated with both the MASLD score and the SLF in the MASLD cohort. Its predictive efficacy consistently surpassed that of TyG and other noninvasive models, indicating that TyG-BMI has potential for the early identification of MASLD and SLF risk.</p>","PeriodicalId":48755,"journal":{"name":"Canadian Journal of Gastroenterology and Hepatology","volume":"2025 ","pages":"5871321"},"PeriodicalIF":2.3000,"publicationDate":"2025-03-13","publicationTypes":"Journal Article","fieldsOfStudy":null,"isOpenAccess":false,"openAccessPdf":"https://www.ncbi.nlm.nih.gov/pmc/articles/PMC11925628/pdf/","citationCount":"0","resultStr":"{\"title\":\"The Value of TyG-Related Indices in Evaluating MASLD and Significant Liver Fibrosis in MASLD.\",\"authors\":\"Haoxuan Zou, Jiejie Xie, Xiaopu Ma, Yan Xie\",\"doi\":\"10.1155/cjgh/5871321\",\"DOIUrl\":null,\"url\":null,\"abstract\":\"<p><p><b>Background:</b> Triglyceride glucose (TyG) and its related index (TyG-body mass index, TyG-BMI) are recognized as markers for nonalcoholic fatty liver disease (NAFLD), but their associations with metabolic dysfunction-associated steatotic liver disease (MASLD) and significant liver fibrosis (SLF) risk are less studied. Therefore, this study explores the effectiveness of these indices in assessing MASLD and SLF risk in the U.S. population. <b>Methods:</b> Utilizing data from the National Health and Nutrition Examination Survey (NHANES), a cross-sectional study involving 5520 participants from the general population was performed. This research measured demographic, anthropometric, biochemical, comorbid, and lifestyle characteristics, all of which are considered risk factors for MASLD/SLF. <b>Results:</b> Upon controlling for confounding variables, only the TyG-BMI was found to have a consistent positive association with the risk of MASLD and SLF. Specifically, for each standard deviation increase, the odds ratio (OR) and 95% confidence interval (CI) were 4.44 (3.64-9.26, <i>p</i> for trend < 0.001) for MASLD and 2.48 (2.15-2.87, <i>p</i> for trend < 0.001) for SLF. Significant interactions were identified among age, sex, and the risk of MASLD associated with the TyG-BMI. The TyG-BMI also had a significant threshold effect on the risk of MASLD at a cutoff point of 180.71. Furthermore, the area under the receiver operating characteristic curve (AUC) revealed that the TyG-BMI better predicted the risk of MASLD and SLF (AUC 0.820, 95% CI 0.810-0.831; AUC 0.729, 95% CI 0.703-0.756, respectively). In addition, the integrated discrimination improvement (IDI), decision curve analysis (DCA), and net reclassification index (NRI) also demonstrated the satisfactory predictive ability of the TyG-BMI. <b>Conclusions:</b> Within this large dataset, the TyG-BMI was independently associated with both the MASLD score and the SLF in the MASLD cohort. Its predictive efficacy consistently surpassed that of TyG and other noninvasive models, indicating that TyG-BMI has potential for the early identification of MASLD and SLF risk.</p>\",\"PeriodicalId\":48755,\"journal\":{\"name\":\"Canadian Journal of Gastroenterology and Hepatology\",\"volume\":\"2025 \",\"pages\":\"5871321\"},\"PeriodicalIF\":2.3000,\"publicationDate\":\"2025-03-13\",\"publicationTypes\":\"Journal Article\",\"fieldsOfStudy\":null,\"isOpenAccess\":false,\"openAccessPdf\":\"https://www.ncbi.nlm.nih.gov/pmc/articles/PMC11925628/pdf/\",\"citationCount\":\"0\",\"resultStr\":null,\"platform\":\"Semanticscholar\",\"paperid\":null,\"PeriodicalName\":\"Canadian Journal of Gastroenterology and Hepatology\",\"FirstCategoryId\":\"3\",\"ListUrlMain\":\"https://doi.org/10.1155/cjgh/5871321\",\"RegionNum\":4,\"RegionCategory\":\"医学\",\"ArticlePicture\":[],\"TitleCN\":null,\"AbstractTextCN\":null,\"PMCID\":null,\"EPubDate\":\"2025/1/1 0:00:00\",\"PubModel\":\"eCollection\",\"JCR\":\"Q2\",\"JCRName\":\"Medicine\",\"Score\":null,\"Total\":0}","platform":"Semanticscholar","paperid":null,"PeriodicalName":"Canadian Journal of Gastroenterology and Hepatology","FirstCategoryId":"3","ListUrlMain":"https://doi.org/10.1155/cjgh/5871321","RegionNum":4,"RegionCategory":"医学","ArticlePicture":[],"TitleCN":null,"AbstractTextCN":null,"PMCID":null,"EPubDate":"2025/1/1 0:00:00","PubModel":"eCollection","JCR":"Q2","JCRName":"Medicine","Score":null,"Total":0}
引用次数: 0

摘要

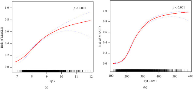
背景:甘油三酯葡萄糖(TyG)及其相关指数(TyG-体重指数,TyG-BMI)被认为是非酒精性脂肪肝(NAFLD)的标志物,但它们与代谢功能障碍相关性脂肪性肝病(MASLD)和重大肝纤维化(SLF)风险之间的关系研究较少。因此,本研究探讨了这些指数在评估美国人群中 MASLD 和 SLF 风险方面的有效性。方法:利用美国国家健康与营养调查(NHANES)的数据,对 5520 名普通人群进行了横断面研究。这项研究测量了人口统计学、人体测量、生化、合并症和生活方式特征,所有这些特征都被认为是 MASLD/SLF 的风险因素。研究结果在控制混杂变量后,发现只有 TyG-BMI 与罹患 MASLD 和 SLF 的风险呈一致的正相关。具体来说,每增加一个标准差,MASLD 的几率比(OR)和 95% 置信区间(CI)分别为 4.44(3.64-9.26,趋势 p <0.001),SLF 的几率比(OR)和 95% 置信区间(CI)分别为 2.48(2.15-2.87,趋势 p <0.001)。在年龄、性别和与 TyG-BMI 相关的 MASLD 风险之间发现了显著的交互作用。以 180.71 为临界点,TyG-BMI 对 MASLD 风险也有显著的临界效应。此外,接收者操作特征曲线下面积(AUC)显示,TyG-BMI 能更好地预测 MASLD 和 SLF 的风险(AUC 分别为 0.820,95% CI 0.810-0.831;AUC 0.729,95% CI 0.703-0.756)。此外,综合判别改进(IDI)、决策曲线分析(DCA)和净再分类指数(NRI)也证明了 TyG-BMI 令人满意的预测能力。结论在这一大型数据集中,TyG-BMI 与 MASLD 队列中的 MASLD 评分和 SLF 都有独立关联。其预测效果一直超过 TyG 和其他无创模型,表明 TyG-BMI 有潜力用于早期识别 MASLD 和 SLF 风险。
本文章由计算机程序翻译,如有差异,请以英文原文为准。

The Value of TyG-Related Indices in Evaluating MASLD and Significant Liver Fibrosis in MASLD.

The Value of TyG-Related Indices in Evaluating MASLD and Significant Liver Fibrosis in MASLD.

The Value of TyG-Related Indices in Evaluating MASLD and Significant Liver Fibrosis in MASLD.

The Value of TyG-Related Indices in Evaluating MASLD and Significant Liver Fibrosis in MASLD.

Background: Triglyceride glucose (TyG) and its related index (TyG-body mass index, TyG-BMI) are recognized as markers for nonalcoholic fatty liver disease (NAFLD), but their associations with metabolic dysfunction-associated steatotic liver disease (MASLD) and significant liver fibrosis (SLF) risk are less studied. Therefore, this study explores the effectiveness of these indices in assessing MASLD and SLF risk in the U.S. population. Methods: Utilizing data from the National Health and Nutrition Examination Survey (NHANES), a cross-sectional study involving 5520 participants from the general population was performed. This research measured demographic, anthropometric, biochemical, comorbid, and lifestyle characteristics, all of which are considered risk factors for MASLD/SLF. Results: Upon controlling for confounding variables, only the TyG-BMI was found to have a consistent positive association with the risk of MASLD and SLF. Specifically, for each standard deviation increase, the odds ratio (OR) and 95% confidence interval (CI) were 4.44 (3.64-9.26, p for trend < 0.001) for MASLD and 2.48 (2.15-2.87, p for trend < 0.001) for SLF. Significant interactions were identified among age, sex, and the risk of MASLD associated with the TyG-BMI. The TyG-BMI also had a significant threshold effect on the risk of MASLD at a cutoff point of 180.71. Furthermore, the area under the receiver operating characteristic curve (AUC) revealed that the TyG-BMI better predicted the risk of MASLD and SLF (AUC 0.820, 95% CI 0.810-0.831; AUC 0.729, 95% CI 0.703-0.756, respectively). In addition, the integrated discrimination improvement (IDI), decision curve analysis (DCA), and net reclassification index (NRI) also demonstrated the satisfactory predictive ability of the TyG-BMI. Conclusions: Within this large dataset, the TyG-BMI was independently associated with both the MASLD score and the SLF in the MASLD cohort. Its predictive efficacy consistently surpassed that of TyG and other noninvasive models, indicating that TyG-BMI has potential for the early identification of MASLD and SLF risk.

求助全文
通过发布文献求助,成功后即可免费获取论文全文。 去求助
来源期刊
CiteScore
4.80
自引率
0.00%
发文量
0
审稿时长
37 weeks
期刊介绍: Canadian Journal of Gastroenterology and Hepatology is a peer-reviewed, open access journal that publishes original research articles, review articles, and clinical studies in all areas of gastroenterology and liver disease - medicine and surgery. The Canadian Journal of Gastroenterology and Hepatology is sponsored by the Canadian Association of Gastroenterology and the Canadian Association for the Study of the Liver.
×
引用
GB/T 7714-2015
复制
MLA
复制
APA
复制
导出至
BibTeX EndNote RefMan NoteFirst NoteExpress
×
提示
您的信息不完整,为了账户安全,请先补充。
现在去补充
×
提示
您因"违规操作"
具体请查看互助需知
我知道了
×
提示
确定
请完成安全验证×
copy
已复制链接
快去分享给好友吧!
我知道了
右上角分享
点击右上角分享
0
联系我们:info@booksci.cn Book学术提供免费学术资源搜索服务,方便国内外学者检索中英文文献。致力于提供最便捷和优质的服务体验。 Copyright © 2023 布克学术 All rights reserved.
京ICP备2023020795号-1
ghs 京公网安备 11010802042870号
Book学术文献互助
Book学术文献互助群
群 号:604180095
Book学术官方微信