[利用机器学习探索外周血相关指标对非小细胞肺癌表皮生长因子受体突变和预后的预测价值]。

Q4 Medicine
Shulei Fu, Shaodi Wen, Jiaqiang Zhang, Xiaoyue Du, Ru Li, Bo Shen
{"title":"[利用机器学习探索外周血相关指标对非小细胞肺癌表皮生长因子受体突变和预后的预测价值]。","authors":"Shulei Fu, Shaodi Wen, Jiaqiang Zhang, Xiaoyue Du, Ru Li, Bo Shen","doi":"10.3779/j.issn.1009-3419.2025.102.05","DOIUrl":null,"url":null,"abstract":"<p><strong>Background: </strong>Epidermal growth factor receptor (EGFR) sensitive mutation is one of the effective targets of targeted therapy for non-small cell lung cancer (NSCLC). However, due to the difficulty of obtaining some primary tissues and the economic factors in some underdeveloped areas, some patients cannot undergo traditional genetic testing. The aim of this study is to establish a machine learning (ML) model using non-invasive peripheral blood markers to explore the biomarkers closely related to EGFR mutation status in NSCLC and evaluate their potential prognostic value.</p><p><strong>Methods: </strong>2642 lung cancer patients who visited Jiangsu Cancer Hospital from November 2016 to May 2023 were retrospectively enrolled and finally 175 NSCLC patients with complete follow-up data were included in the study. The ML model was constructed based on peripheral blood indicators and divided into training set and test set according to the ratio of 8:2. Unsupervised learning algorithms were used for clustering blood features and mutual information method for feature selection, and an ensemble learning algorithm based on Shapley value was designed to calculate the contribution of each feature to the model prediction result. The receiver operating characteristic (ROC) curve was used to evaluate the predictive ability of the model.</p><p><strong>Results: </strong>Through the feature extraction and contribution analysis of the predictive results of the interpretable ML model based on the Shapley value, the top ten indicators with the highest contribution were: pathological type, phosphorus, eosinophils, monocyte count, activated partial thromboplastin time, potassium, total bilirubin, sodium, eosinophil percentage, and total cholesterol. The area under the curve (AUC) of the model was 0.80. In addition, patients with hyponatremia and squamous cell carcinoma group had a poor prognosis (P<0.05).</p><p><strong>Conclusions: </strong>The interpretable model constructed in this study provides a new approach for the prediction of EGFR mutation status in NSCLC patients, which provides a scientific basis for the diagnosis and treatment of patients who cannot undergo genetic testing.</p>","PeriodicalId":39317,"journal":{"name":"中国肺癌杂志","volume":"28 2","pages":"105-113"},"PeriodicalIF":0.0000,"publicationDate":"2025-02-20","publicationTypes":"Journal Article","fieldsOfStudy":null,"isOpenAccess":false,"openAccessPdf":"https://www.ncbi.nlm.nih.gov/pmc/articles/PMC11931235/pdf/","citationCount":"0","resultStr":"{\"title\":\"[Exploration of the Predictive Value of Peripheral Blood-related Indicators for EGFR \\u2029Mutations and Prognosis in Non-small Cell Lung Cancer Using Machine Learning].\",\"authors\":\"Shulei Fu, Shaodi Wen, Jiaqiang Zhang, Xiaoyue Du, Ru Li, Bo Shen\",\"doi\":\"10.3779/j.issn.1009-3419.2025.102.05\",\"DOIUrl\":null,\"url\":null,\"abstract\":\"<p><strong>Background: </strong>Epidermal growth factor receptor (EGFR) sensitive mutation is one of the effective targets of targeted therapy for non-small cell lung cancer (NSCLC). However, due to the difficulty of obtaining some primary tissues and the economic factors in some underdeveloped areas, some patients cannot undergo traditional genetic testing. The aim of this study is to establish a machine learning (ML) model using non-invasive peripheral blood markers to explore the biomarkers closely related to EGFR mutation status in NSCLC and evaluate their potential prognostic value.</p><p><strong>Methods: </strong>2642 lung cancer patients who visited Jiangsu Cancer Hospital from November 2016 to May 2023 were retrospectively enrolled and finally 175 NSCLC patients with complete follow-up data were included in the study. The ML model was constructed based on peripheral blood indicators and divided into training set and test set according to the ratio of 8:2. Unsupervised learning algorithms were used for clustering blood features and mutual information method for feature selection, and an ensemble learning algorithm based on Shapley value was designed to calculate the contribution of each feature to the model prediction result. The receiver operating characteristic (ROC) curve was used to evaluate the predictive ability of the model.</p><p><strong>Results: </strong>Through the feature extraction and contribution analysis of the predictive results of the interpretable ML model based on the Shapley value, the top ten indicators with the highest contribution were: pathological type, phosphorus, eosinophils, monocyte count, activated partial thromboplastin time, potassium, total bilirubin, sodium, eosinophil percentage, and total cholesterol. The area under the curve (AUC) of the model was 0.80. In addition, patients with hyponatremia and squamous cell carcinoma group had a poor prognosis (P<0.05).</p><p><strong>Conclusions: </strong>The interpretable model constructed in this study provides a new approach for the prediction of EGFR mutation status in NSCLC patients, which provides a scientific basis for the diagnosis and treatment of patients who cannot undergo genetic testing.</p>\",\"PeriodicalId\":39317,\"journal\":{\"name\":\"中国肺癌杂志\",\"volume\":\"28 2\",\"pages\":\"105-113\"},\"PeriodicalIF\":0.0000,\"publicationDate\":\"2025-02-20\",\"publicationTypes\":\"Journal Article\",\"fieldsOfStudy\":null,\"isOpenAccess\":false,\"openAccessPdf\":\"https://www.ncbi.nlm.nih.gov/pmc/articles/PMC11931235/pdf/\",\"citationCount\":\"0\",\"resultStr\":null,\"platform\":\"Semanticscholar\",\"paperid\":null,\"PeriodicalName\":\"中国肺癌杂志\",\"FirstCategoryId\":\"3\",\"ListUrlMain\":\"https://doi.org/10.3779/j.issn.1009-3419.2025.102.05\",\"RegionNum\":0,\"RegionCategory\":null,\"ArticlePicture\":[],\"TitleCN\":null,\"AbstractTextCN\":null,\"PMCID\":null,\"EPubDate\":\"\",\"PubModel\":\"\",\"JCR\":\"Q4\",\"JCRName\":\"Medicine\",\"Score\":null,\"Total\":0}","platform":"Semanticscholar","paperid":null,"PeriodicalName":"中国肺癌杂志","FirstCategoryId":"3","ListUrlMain":"https://doi.org/10.3779/j.issn.1009-3419.2025.102.05","RegionNum":0,"RegionCategory":null,"ArticlePicture":[],"TitleCN":null,"AbstractTextCN":null,"PMCID":null,"EPubDate":"","PubModel":"","JCR":"Q4","JCRName":"Medicine","Score":null,"Total":0}
引用次数: 0

摘要

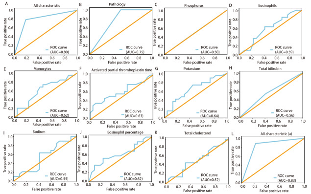
背景:表皮生长因子受体(EGFR)敏感突变是非小细胞肺癌(NSCLC)靶向治疗的有效靶点之一。然而,由于一些原发组织难以获得以及一些欠发达地区的经济因素,一些患者无法进行传统的基因检测。本研究旨在利用无创外周血标志物建立机器学习(ML)模型,探索与NSCLC中EGFR突变状态密切相关的生物标志物,并评估其潜在的预后价值。方法:回顾性纳入2016年11月至2023年5月在江苏省肿瘤医院就诊的2642例肺癌患者,最终纳入175例随访资料完整的NSCLC患者。基于外周血指标构建ML模型,按8:2的比例分为训练集和测试集。采用无监督学习算法对血液特征进行聚类,采用互信息法对特征进行选择,设计了基于Shapley值的集成学习算法,计算各特征对模型预测结果的贡献。采用受试者工作特征(ROC)曲线评价模型的预测能力。结果:通过基于Shapley值的可解释性ML模型预测结果的特征提取和贡献分析,贡献最大的前10个指标为:病理类型、磷、嗜酸性粒细胞、单核细胞计数、活化部分凝血活素时间、钾、总胆红素、钠、嗜酸性粒细胞百分比、总胆固醇。模型的曲线下面积(AUC)为0.80。结论:本研究构建的可解释性模型为预测NSCLC患者EGFR突变状态提供了一种新的方法,为无法进行基因检测的患者的诊断和治疗提供了科学依据。
本文章由计算机程序翻译,如有差异,请以英文原文为准。

[Exploration of the Predictive Value of Peripheral Blood-related Indicators for EGFR 
Mutations and Prognosis in Non-small Cell Lung Cancer Using Machine Learning].

[Exploration of the Predictive Value of Peripheral Blood-related Indicators for EGFR 
Mutations and Prognosis in Non-small Cell Lung Cancer Using Machine Learning].

[Exploration of the Predictive Value of Peripheral Blood-related Indicators for EGFR 
Mutations and Prognosis in Non-small Cell Lung Cancer Using Machine Learning].

[Exploration of the Predictive Value of Peripheral Blood-related Indicators for EGFR 
Mutations and Prognosis in Non-small Cell Lung Cancer Using Machine Learning].

Background: Epidermal growth factor receptor (EGFR) sensitive mutation is one of the effective targets of targeted therapy for non-small cell lung cancer (NSCLC). However, due to the difficulty of obtaining some primary tissues and the economic factors in some underdeveloped areas, some patients cannot undergo traditional genetic testing. The aim of this study is to establish a machine learning (ML) model using non-invasive peripheral blood markers to explore the biomarkers closely related to EGFR mutation status in NSCLC and evaluate their potential prognostic value.

Methods: 2642 lung cancer patients who visited Jiangsu Cancer Hospital from November 2016 to May 2023 were retrospectively enrolled and finally 175 NSCLC patients with complete follow-up data were included in the study. The ML model was constructed based on peripheral blood indicators and divided into training set and test set according to the ratio of 8:2. Unsupervised learning algorithms were used for clustering blood features and mutual information method for feature selection, and an ensemble learning algorithm based on Shapley value was designed to calculate the contribution of each feature to the model prediction result. The receiver operating characteristic (ROC) curve was used to evaluate the predictive ability of the model.

Results: Through the feature extraction and contribution analysis of the predictive results of the interpretable ML model based on the Shapley value, the top ten indicators with the highest contribution were: pathological type, phosphorus, eosinophils, monocyte count, activated partial thromboplastin time, potassium, total bilirubin, sodium, eosinophil percentage, and total cholesterol. The area under the curve (AUC) of the model was 0.80. In addition, patients with hyponatremia and squamous cell carcinoma group had a poor prognosis (P<0.05).

Conclusions: The interpretable model constructed in this study provides a new approach for the prediction of EGFR mutation status in NSCLC patients, which provides a scientific basis for the diagnosis and treatment of patients who cannot undergo genetic testing.

求助全文
通过发布文献求助,成功后即可免费获取论文全文。 去求助
来源期刊
中国肺癌杂志
中国肺癌杂志 Medicine-Pulmonary and Respiratory Medicine
CiteScore
1.40
自引率
0.00%
发文量
5131
审稿时长
14 weeks
期刊介绍: Chinese Journal of Lung Cancer(CJLC, pISSN 1009-3419, eISSN 1999-6187), a monthly Open Access journal, is hosted by Chinese Anti-Cancer Association, Chinese Antituberculosis Association, Tianjin Medical University General Hospital. CJLC was indexed in DOAJ, EMBASE/SCOPUS, Chemical Abstract(CA), CSA-Biological Science, HINARI, EBSCO-CINAHL,CABI Abstract, Global Health, CNKI, etc. Editor-in-Chief: Professor Qinghua ZHOU.
×
引用
GB/T 7714-2015
复制
MLA
复制
APA
复制
导出至
BibTeX EndNote RefMan NoteFirst NoteExpress
×
提示
您的信息不完整,为了账户安全,请先补充。
现在去补充
×
提示
您因"违规操作"
具体请查看互助需知
我知道了
×
提示
确定
请完成安全验证×
copy
已复制链接
快去分享给好友吧!
我知道了
右上角分享
点击右上角分享
0
联系我们:info@booksci.cn Book学术提供免费学术资源搜索服务,方便国内外学者检索中英文文献。致力于提供最便捷和优质的服务体验。 Copyright © 2023 布克学术 All rights reserved.
京ICP备2023020795号-1
ghs 京公网安备 11010802042870号
Book学术文献互助
Book学术文献互助群
群 号:604180095
Book学术官方微信