在离体猪肌腱模型中用剪切波弹性成像对肌腱病变的超声定量表征。

IF 3.6 Q1 RADIOLOGY, NUCLEAR MEDICINE & MEDICAL IMAGING
Quinn Steiner, Albert Wang, Laura Slane, Scott Hetzel, Ryan DeWall, Darryl Thelen, Kenneth Lee
{"title":"在离体猪肌腱模型中用剪切波弹性成像对肌腱病变的超声定量表征。","authors":"Quinn Steiner, Albert Wang, Laura Slane, Scott Hetzel, Ryan DeWall, Darryl Thelen, Kenneth Lee","doi":"10.1186/s41747-024-00542-1","DOIUrl":null,"url":null,"abstract":"<p><strong>Background: </strong>Early detection and treatment of tendinopathy may prevent progression to partial tears or complete rupture. Shear wave elastography (SWE) may help address the need for better tendon pathology characterization. This study aimed to quantify the effect of structural damage in an ex vivo animal tendinopathy model using SWE.</p><p><strong>Methods: </strong>Forty-two porcine flexor tendons were injected with a 0.05-mL bolus of 1.5% collagenase solution to induce focal structural damage without surface tears. Control tendons were injected with saline (n = 42). Twenty-one tendons from each group were incubated at 37 °C for 3.5 h, while the remaining 21 from each group were incubated for 7 h. Each group was then divided into three groups of seven, and tendon incisions were made at 25%, 50%, and 75% of the tendon thickness. Tendons were mechanically stretched axially during simultaneous collection of SWE at the injection site.</p><p><strong>Results: </strong>There were significant differences in shear wave speed (SWS) (saline > collagenase) at 3.5-h incubation (p < 0.001) and 7-h incubation (p < 0.001). Additionally, there was a significant difference in SWS between tendons cut at 25% and tendons cut at 50% and 75% (p = 0.040 and p = 0.001, respectively). Collagenase-treated tendons ruptured at a lower force than saline-treated tendons at both incubation times (both p < 0.001) when controlling for cut depth. Tendons treated with collagenase ruptured at a lower force than the saline control group at each cut thickness (all p < 0.001) controlling for incubation time.</p><p><strong>Conclusion: </strong>In a controlled ex vivo porcine model, SWE can be used to detect structural damage associated with tendinopathy.</p><p><strong>Relevance statement: </strong>Shear wave elastography can be used to show differences in abnormal tendons that may be translatable to clinical use as an adjunctive measure of tendon elasticity and injury.</p><p><strong>Key points: </strong>Tendon abnormality was quantitatively characterized using shear wave elastography in an ex vivo porcine experimental model. Shear wave speed was an accurate imaging biomarker for tendon health. Shear wave elastography was effective at detecting the extent of tendon damage. Tendons with decreased shear wave speed measurements rupture at smaller applied mechanical force.</p>","PeriodicalId":36926,"journal":{"name":"European Radiology Experimental","volume":"9 1","pages":"33"},"PeriodicalIF":3.6000,"publicationDate":"2025-03-20","publicationTypes":"Journal Article","fieldsOfStudy":null,"isOpenAccess":false,"openAccessPdf":"https://www.ncbi.nlm.nih.gov/pmc/articles/PMC11926283/pdf/","citationCount":"0","resultStr":"{\"title\":\"Ultrasound quantitative characterization of tendinopathy with shear wave elastography in an ex vivo porcine tendon model.\",\"authors\":\"Quinn Steiner, Albert Wang, Laura Slane, Scott Hetzel, Ryan DeWall, Darryl Thelen, Kenneth Lee\",\"doi\":\"10.1186/s41747-024-00542-1\",\"DOIUrl\":null,\"url\":null,\"abstract\":\"<p><strong>Background: </strong>Early detection and treatment of tendinopathy may prevent progression to partial tears or complete rupture. Shear wave elastography (SWE) may help address the need for better tendon pathology characterization. This study aimed to quantify the effect of structural damage in an ex vivo animal tendinopathy model using SWE.</p><p><strong>Methods: </strong>Forty-two porcine flexor tendons were injected with a 0.05-mL bolus of 1.5% collagenase solution to induce focal structural damage without surface tears. Control tendons were injected with saline (n = 42). Twenty-one tendons from each group were incubated at 37 °C for 3.5 h, while the remaining 21 from each group were incubated for 7 h. Each group was then divided into three groups of seven, and tendon incisions were made at 25%, 50%, and 75% of the tendon thickness. Tendons were mechanically stretched axially during simultaneous collection of SWE at the injection site.</p><p><strong>Results: </strong>There were significant differences in shear wave speed (SWS) (saline > collagenase) at 3.5-h incubation (p < 0.001) and 7-h incubation (p < 0.001). Additionally, there was a significant difference in SWS between tendons cut at 25% and tendons cut at 50% and 75% (p = 0.040 and p = 0.001, respectively). Collagenase-treated tendons ruptured at a lower force than saline-treated tendons at both incubation times (both p < 0.001) when controlling for cut depth. Tendons treated with collagenase ruptured at a lower force than the saline control group at each cut thickness (all p < 0.001) controlling for incubation time.</p><p><strong>Conclusion: </strong>In a controlled ex vivo porcine model, SWE can be used to detect structural damage associated with tendinopathy.</p><p><strong>Relevance statement: </strong>Shear wave elastography can be used to show differences in abnormal tendons that may be translatable to clinical use as an adjunctive measure of tendon elasticity and injury.</p><p><strong>Key points: </strong>Tendon abnormality was quantitatively characterized using shear wave elastography in an ex vivo porcine experimental model. Shear wave speed was an accurate imaging biomarker for tendon health. Shear wave elastography was effective at detecting the extent of tendon damage. Tendons with decreased shear wave speed measurements rupture at smaller applied mechanical force.</p>\",\"PeriodicalId\":36926,\"journal\":{\"name\":\"European Radiology Experimental\",\"volume\":\"9 1\",\"pages\":\"33\"},\"PeriodicalIF\":3.6000,\"publicationDate\":\"2025-03-20\",\"publicationTypes\":\"Journal Article\",\"fieldsOfStudy\":null,\"isOpenAccess\":false,\"openAccessPdf\":\"https://www.ncbi.nlm.nih.gov/pmc/articles/PMC11926283/pdf/\",\"citationCount\":\"0\",\"resultStr\":null,\"platform\":\"Semanticscholar\",\"paperid\":null,\"PeriodicalName\":\"European Radiology Experimental\",\"FirstCategoryId\":\"1085\",\"ListUrlMain\":\"https://doi.org/10.1186/s41747-024-00542-1\",\"RegionNum\":0,\"RegionCategory\":null,\"ArticlePicture\":[],\"TitleCN\":null,\"AbstractTextCN\":null,\"PMCID\":null,\"EPubDate\":\"\",\"PubModel\":\"\",\"JCR\":\"Q1\",\"JCRName\":\"RADIOLOGY, NUCLEAR MEDICINE & MEDICAL IMAGING\",\"Score\":null,\"Total\":0}","platform":"Semanticscholar","paperid":null,"PeriodicalName":"European Radiology Experimental","FirstCategoryId":"1085","ListUrlMain":"https://doi.org/10.1186/s41747-024-00542-1","RegionNum":0,"RegionCategory":null,"ArticlePicture":[],"TitleCN":null,"AbstractTextCN":null,"PMCID":null,"EPubDate":"","PubModel":"","JCR":"Q1","JCRName":"RADIOLOGY, NUCLEAR MEDICINE & MEDICAL IMAGING","Score":null,"Total":0}
引用次数: 0

摘要

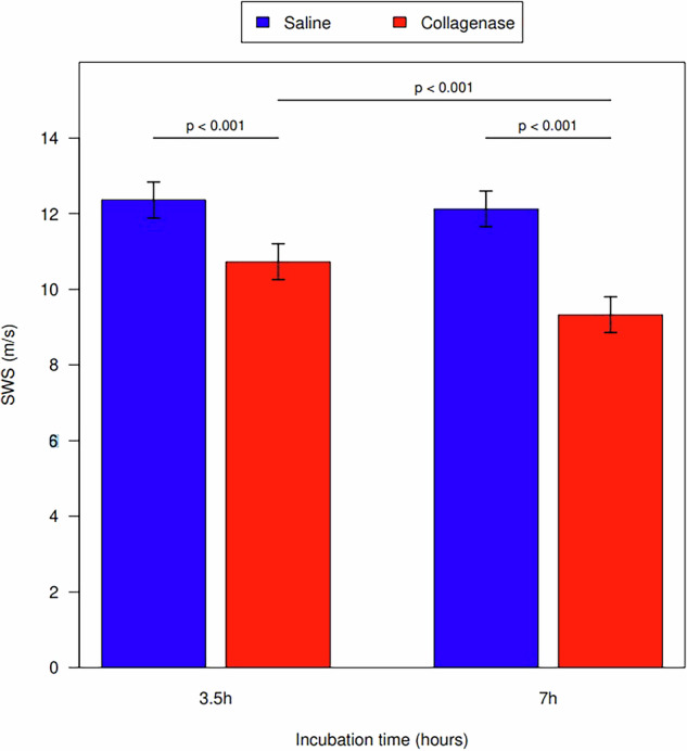
背景:早期发现和治疗肌腱病变可以防止进展为部分撕裂或完全破裂。剪切波弹性成像(SWE)可以帮助解决对肌腱病理特征更好的需求。本研究旨在用SWE量化离体动物肌腱病变模型中结构损伤的影响。方法:将42根猪屈肌腱注射0.05 ml 1.5%胶原酶溶液,诱导局灶性结构损伤,无表面撕裂。对照组肌腱注射生理盐水(n = 42)。每组21根肌腱37℃孵育3.5 h,每组21根肌腱孵育7 h。然后将每组分为三组,每组7人,分别在肌腱厚度的25%、50%和75%处进行肌腱切口。在注射部位同时收集SWE时,对肌腱进行机械轴向拉伸。结果:在孵育3.5 h时,剪切波速度(SWS)(生理盐水>胶原酶)差异有统计学意义(p)。结论:在猪离体模型中,SWE可用于检测与肌腱病变相关的结构损伤。相关声明:横波弹性成像可用于显示异常肌腱的差异,可转化为临床应用,作为肌腱弹性和损伤的辅助测量。重点:在离体猪实验模型中,用横波弹性成像定量表征了肌腱异常。横波速度是肌腱健康的准确成像生物标志物。横波弹性图是检测肌腱损伤程度的有效方法。剪切波速降低的肌腱在较小的机械力作用下断裂。
本文章由计算机程序翻译,如有差异,请以英文原文为准。

Ultrasound quantitative characterization of tendinopathy with shear wave elastography in an ex vivo porcine tendon model.

Ultrasound quantitative characterization of tendinopathy with shear wave elastography in an ex vivo porcine tendon model.

Ultrasound quantitative characterization of tendinopathy with shear wave elastography in an ex vivo porcine tendon model.

Ultrasound quantitative characterization of tendinopathy with shear wave elastography in an ex vivo porcine tendon model.

Background: Early detection and treatment of tendinopathy may prevent progression to partial tears or complete rupture. Shear wave elastography (SWE) may help address the need for better tendon pathology characterization. This study aimed to quantify the effect of structural damage in an ex vivo animal tendinopathy model using SWE.

Methods: Forty-two porcine flexor tendons were injected with a 0.05-mL bolus of 1.5% collagenase solution to induce focal structural damage without surface tears. Control tendons were injected with saline (n = 42). Twenty-one tendons from each group were incubated at 37 °C for 3.5 h, while the remaining 21 from each group were incubated for 7 h. Each group was then divided into three groups of seven, and tendon incisions were made at 25%, 50%, and 75% of the tendon thickness. Tendons were mechanically stretched axially during simultaneous collection of SWE at the injection site.

Results: There were significant differences in shear wave speed (SWS) (saline > collagenase) at 3.5-h incubation (p < 0.001) and 7-h incubation (p < 0.001). Additionally, there was a significant difference in SWS between tendons cut at 25% and tendons cut at 50% and 75% (p = 0.040 and p = 0.001, respectively). Collagenase-treated tendons ruptured at a lower force than saline-treated tendons at both incubation times (both p < 0.001) when controlling for cut depth. Tendons treated with collagenase ruptured at a lower force than the saline control group at each cut thickness (all p < 0.001) controlling for incubation time.

Conclusion: In a controlled ex vivo porcine model, SWE can be used to detect structural damage associated with tendinopathy.

Relevance statement: Shear wave elastography can be used to show differences in abnormal tendons that may be translatable to clinical use as an adjunctive measure of tendon elasticity and injury.

Key points: Tendon abnormality was quantitatively characterized using shear wave elastography in an ex vivo porcine experimental model. Shear wave speed was an accurate imaging biomarker for tendon health. Shear wave elastography was effective at detecting the extent of tendon damage. Tendons with decreased shear wave speed measurements rupture at smaller applied mechanical force.

求助全文
通过发布文献求助,成功后即可免费获取论文全文。 去求助
来源期刊
European Radiology Experimental
European Radiology Experimental Medicine-Radiology, Nuclear Medicine and Imaging
CiteScore
6.70
自引率
2.60%
发文量
56
审稿时长
18 weeks
×
引用
GB/T 7714-2015
复制
MLA
复制
APA
复制
导出至
BibTeX EndNote RefMan NoteFirst NoteExpress
×
提示
您的信息不完整,为了账户安全,请先补充。
现在去补充
×
提示
您因"违规操作"
具体请查看互助需知
我知道了
×
提示
确定
请完成安全验证×
copy
已复制链接
快去分享给好友吧!
我知道了
右上角分享
点击右上角分享
0
联系我们:info@booksci.cn Book学术提供免费学术资源搜索服务,方便国内外学者检索中英文文献。致力于提供最便捷和优质的服务体验。 Copyright © 2023 布克学术 All rights reserved.
京ICP备2023020795号-1
ghs 京公网安备 11010802042870号
Book学术文献互助
Book学术文献互助群
群 号:604180095
Book学术官方微信