利用局部伪发电机抑制热力学极限中的非微扰规整误差

IF 5.8 1区 物理与天体物理 Q1 PHYSICS, MULTIDISCIPLINARY
Communications Physics Pub Date : 2025-01-01 Epub Date: 2025-03-18 DOI:10.1038/s42005-025-02035-y
Maarten Van Damme, Julius Mildenberger, Fabian Grusdt, Philipp Hauke, Jad C Halimeh
{"title":"利用局部伪发电机抑制热力学极限中的非微扰规整误差","authors":"Maarten Van Damme, Julius Mildenberger, Fabian Grusdt, Philipp Hauke, Jad C Halimeh","doi":"10.1038/s42005-025-02035-y","DOIUrl":null,"url":null,"abstract":"<p><p>With recent progress in quantum simulations of lattice-gauge theories, it is becoming a pressing question how to reliably protect the gauge symmetry that defines such models. Recently, an experimentally feasible gauge-protection scheme has been proposed that is based on the concept of a local pseudogenerator, which is required to act identically to the full gauge-symmetry generator in the target gauge sector, but not necessarily outside of it. The scheme has been analytically and numerically shown to reliably stabilize lattice gauge theories in the presence of perturbative errors on finite-size analog quantum-simulation devices. In this work, through uniform matrix product state calculations, we demonstrate the efficacy of this scheme for nonperturbative errors in analog quantum simulators up to all accessible evolution times in the thermodynamic limit, where it is a priori neither established nor expected that this scheme will succeed. Our results indicate the presence of an emergent gauge symmetry in an adjusted gauge theory even in the thermodynamic limit, which is beyond our analytic predictions. Additionally, we show through quantum circuit model calculations that gauge protection with local pseudogenerators also successfully suppresses gauge violations on finite quantum computers that discretize time through Trotterization. Our results firm up the robustness and feasibility of the local pseudogenerator as a viable tool for enforcing gauge invariance in modern quantum simulators and noisy intermediate-scale quantum devices.</p>","PeriodicalId":10540,"journal":{"name":"Communications Physics","volume":"8 1","pages":"106"},"PeriodicalIF":5.8000,"publicationDate":"2025-01-01","publicationTypes":"Journal Article","fieldsOfStudy":null,"isOpenAccess":false,"openAccessPdf":"https://www.ncbi.nlm.nih.gov/pmc/articles/PMC11919730/pdf/","citationCount":"0","resultStr":"{\"title\":\"Suppressing nonperturbative gauge errors in the thermodynamic limit using local pseudogenerators.\",\"authors\":\"Maarten Van Damme, Julius Mildenberger, Fabian Grusdt, Philipp Hauke, Jad C Halimeh\",\"doi\":\"10.1038/s42005-025-02035-y\",\"DOIUrl\":null,\"url\":null,\"abstract\":\"<p><p>With recent progress in quantum simulations of lattice-gauge theories, it is becoming a pressing question how to reliably protect the gauge symmetry that defines such models. Recently, an experimentally feasible gauge-protection scheme has been proposed that is based on the concept of a local pseudogenerator, which is required to act identically to the full gauge-symmetry generator in the target gauge sector, but not necessarily outside of it. The scheme has been analytically and numerically shown to reliably stabilize lattice gauge theories in the presence of perturbative errors on finite-size analog quantum-simulation devices. In this work, through uniform matrix product state calculations, we demonstrate the efficacy of this scheme for nonperturbative errors in analog quantum simulators up to all accessible evolution times in the thermodynamic limit, where it is a priori neither established nor expected that this scheme will succeed. Our results indicate the presence of an emergent gauge symmetry in an adjusted gauge theory even in the thermodynamic limit, which is beyond our analytic predictions. Additionally, we show through quantum circuit model calculations that gauge protection with local pseudogenerators also successfully suppresses gauge violations on finite quantum computers that discretize time through Trotterization. Our results firm up the robustness and feasibility of the local pseudogenerator as a viable tool for enforcing gauge invariance in modern quantum simulators and noisy intermediate-scale quantum devices.</p>\",\"PeriodicalId\":10540,\"journal\":{\"name\":\"Communications Physics\",\"volume\":\"8 1\",\"pages\":\"106\"},\"PeriodicalIF\":5.8000,\"publicationDate\":\"2025-01-01\",\"publicationTypes\":\"Journal Article\",\"fieldsOfStudy\":null,\"isOpenAccess\":false,\"openAccessPdf\":\"https://www.ncbi.nlm.nih.gov/pmc/articles/PMC11919730/pdf/\",\"citationCount\":\"0\",\"resultStr\":null,\"platform\":\"Semanticscholar\",\"paperid\":null,\"PeriodicalName\":\"Communications Physics\",\"FirstCategoryId\":\"101\",\"ListUrlMain\":\"https://doi.org/10.1038/s42005-025-02035-y\",\"RegionNum\":1,\"RegionCategory\":\"物理与天体物理\",\"ArticlePicture\":[],\"TitleCN\":null,\"AbstractTextCN\":null,\"PMCID\":null,\"EPubDate\":\"2025/3/18 0:00:00\",\"PubModel\":\"Epub\",\"JCR\":\"Q1\",\"JCRName\":\"PHYSICS, MULTIDISCIPLINARY\",\"Score\":null,\"Total\":0}","platform":"Semanticscholar","paperid":null,"PeriodicalName":"Communications Physics","FirstCategoryId":"101","ListUrlMain":"https://doi.org/10.1038/s42005-025-02035-y","RegionNum":1,"RegionCategory":"物理与天体物理","ArticlePicture":[],"TitleCN":null,"AbstractTextCN":null,"PMCID":null,"EPubDate":"2025/3/18 0:00:00","PubModel":"Epub","JCR":"Q1","JCRName":"PHYSICS, MULTIDISCIPLINARY","Score":null,"Total":0}
引用次数: 0

摘要

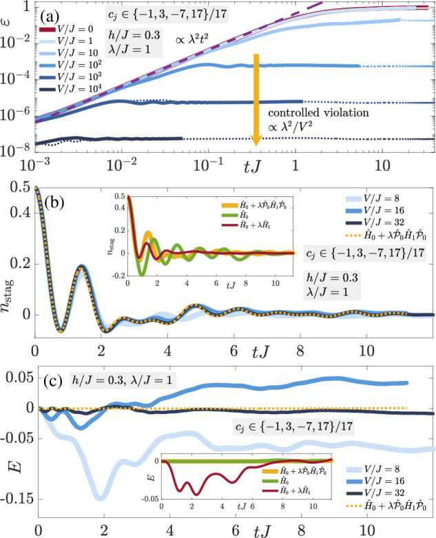
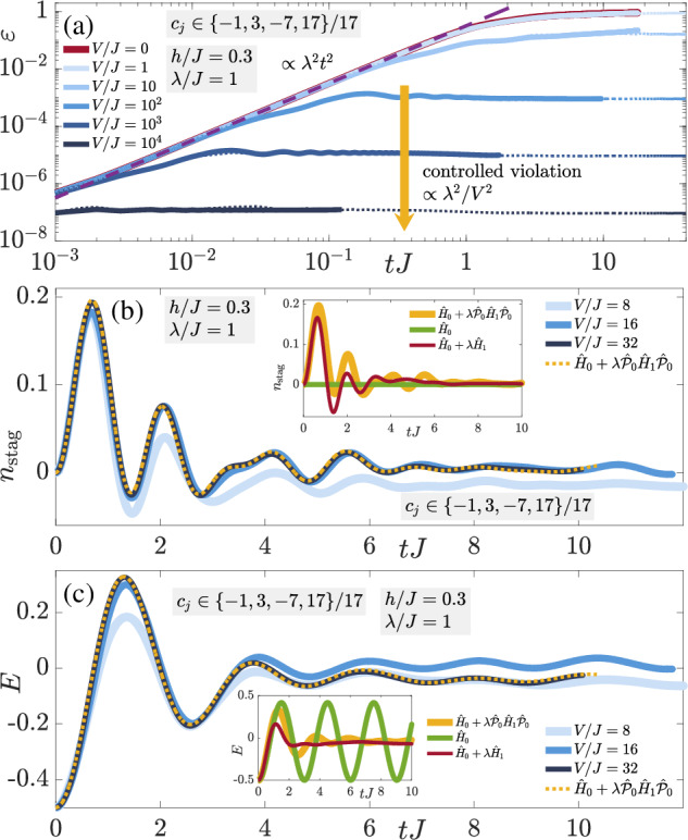
随着晶格规范理论的量子模拟的最新进展,如何可靠地保护定义这些模型的规范对称性成为一个紧迫的问题。最近,基于局部伪发生器的概念,提出了一种实验上可行的量规保护方案,该方案要求在目标量规扇区内与全量规对称发生器工作相同,但不一定在目标量规扇区外。在有限尺寸模拟量子模拟器件上,该方案在存在微扰误差的情况下可靠地稳定了晶格规范理论。在这项工作中,通过均匀矩阵积状态计算,我们证明了该方案在模拟量子模拟器中的非摄动误差的有效性,直到热力学极限下所有可访问的进化时间,其中先验地既不建立也不期望该方案会成功。我们的结果表明,即使在热力学极限下,在调整规范理论中也存在紧急规范对称,这超出了我们的分析预测。此外,我们通过量子电路模型计算表明,局部伪发生器的规范保护也成功地抑制了通过Trotterization离散时间的有限量子计算机上的规范违规。我们的结果证实了局部伪发生器作为现代量子模拟器和有噪声的中等规模量子器件中强制规范不变性的可行工具的鲁棒性和可行性。
本文章由计算机程序翻译,如有差异,请以英文原文为准。

Suppressing nonperturbative gauge errors in the thermodynamic limit using local pseudogenerators.

Suppressing nonperturbative gauge errors in the thermodynamic limit using local pseudogenerators.

Suppressing nonperturbative gauge errors in the thermodynamic limit using local pseudogenerators.

Suppressing nonperturbative gauge errors in the thermodynamic limit using local pseudogenerators.

With recent progress in quantum simulations of lattice-gauge theories, it is becoming a pressing question how to reliably protect the gauge symmetry that defines such models. Recently, an experimentally feasible gauge-protection scheme has been proposed that is based on the concept of a local pseudogenerator, which is required to act identically to the full gauge-symmetry generator in the target gauge sector, but not necessarily outside of it. The scheme has been analytically and numerically shown to reliably stabilize lattice gauge theories in the presence of perturbative errors on finite-size analog quantum-simulation devices. In this work, through uniform matrix product state calculations, we demonstrate the efficacy of this scheme for nonperturbative errors in analog quantum simulators up to all accessible evolution times in the thermodynamic limit, where it is a priori neither established nor expected that this scheme will succeed. Our results indicate the presence of an emergent gauge symmetry in an adjusted gauge theory even in the thermodynamic limit, which is beyond our analytic predictions. Additionally, we show through quantum circuit model calculations that gauge protection with local pseudogenerators also successfully suppresses gauge violations on finite quantum computers that discretize time through Trotterization. Our results firm up the robustness and feasibility of the local pseudogenerator as a viable tool for enforcing gauge invariance in modern quantum simulators and noisy intermediate-scale quantum devices.

求助全文
通过发布文献求助,成功后即可免费获取论文全文。 去求助
来源期刊
Communications Physics
Communications Physics Physics and Astronomy-General Physics and Astronomy
CiteScore
8.40
自引率
3.60%
发文量
276
审稿时长
13 weeks
期刊介绍: Communications Physics is an open access journal from Nature Research publishing high-quality research, reviews and commentary in all areas of the physical sciences. Research papers published by the journal represent significant advances bringing new insight to a specialized area of research in physics. We also aim to provide a community forum for issues of importance to all physicists, regardless of sub-discipline. The scope of the journal covers all areas of experimental, applied, fundamental, and interdisciplinary physical sciences. Primary research published in Communications Physics includes novel experimental results, new techniques or computational methods that may influence the work of others in the sub-discipline. We also consider submissions from adjacent research fields where the central advance of the study is of interest to physicists, for example material sciences, physical chemistry and technologies.
×
引用
GB/T 7714-2015
复制
MLA
复制
APA
复制
导出至
BibTeX EndNote RefMan NoteFirst NoteExpress
×
提示
您的信息不完整,为了账户安全,请先补充。
现在去补充
×
提示
您因"违规操作"
具体请查看互助需知
我知道了
×
提示
确定
请完成安全验证×
copy
已复制链接
快去分享给好友吧!
我知道了
右上角分享
点击右上角分享
0
联系我们:info@booksci.cn Book学术提供免费学术资源搜索服务,方便国内外学者检索中英文文献。致力于提供最便捷和优质的服务体验。 Copyright © 2023 布克学术 All rights reserved.
京ICP备2023020795号-1
ghs 京公网安备 11010802042870号
Book学术文献互助
Book学术文献互助群
群 号:604180095
Book学术官方微信