风险承担行为可预测斑马鱼一贯的、可遗传的应对方式。

IF 2.3 4区 医学 Q3 NEUROSCIENCES
Lianne Koets, Tim van der Kwaak, Marcel Schaaf, Christian Tudorache
{"title":"风险承担行为可预测斑马鱼一贯的、可遗传的应对方式。","authors":"Lianne Koets, Tim van der Kwaak, Marcel Schaaf, Christian Tudorache","doi":"10.1186/s12868-025-00944-w","DOIUrl":null,"url":null,"abstract":"<p><strong>Background: </strong>Coping styles are individually coherent sets of behavioural and physiological responses to stress. Coping styles are thought to remain consistent across context and time, and display a certain level of heritability. Here, we examined whether risk taking is a predictor for consistency and heritability of stress coping styles in both larval and adult zebrafish (Danio rerio).</p><p><strong>Results: </strong>A group emergence test where fish emerge from a familiar housing compartment into a potentially dangerous novel environment, established the level of risk taking of F0 generation adult zebrafish. The degree of risk taking appeared to be consistent over time and context. Then, the F0 risk taking degree was further correlated with various behavioural parameters related to stress coping of the F1 and F2 generations. In larval fish, these parameters were measured during a light dark challenge which elicits an anxiety like response. In adults, they were measured during a single emergence test and a combined open field and mirror biting test, estimating the degree of risk taking and the level of explorativeness and aggressiveness. The results show that (i) parental risk taking behaviour is a good predictor for a large number of larval and adult behavioural parameters, within and between generations; (ii) a number of these parameters are consistent over ontogenetic (larval and adult) stages within the same generation, and (iii) four of these parameters representing risk taking, aggressiveness, and swimming behaviour, were correlated over multiple generations, establishing heritability of coping styles.</p><p><strong>Conclusion: </strong>We conclude that risk taking behaviour is a strong predictor of coping style within and between generations and behavioural parameters associated with risk taking are consistent over time and heritable over generations.</p>","PeriodicalId":9031,"journal":{"name":"BMC Neuroscience","volume":"26 1","pages":"25"},"PeriodicalIF":2.3000,"publicationDate":"2025-03-20","publicationTypes":"Journal Article","fieldsOfStudy":null,"isOpenAccess":false,"openAccessPdf":"https://www.ncbi.nlm.nih.gov/pmc/articles/PMC11924662/pdf/","citationCount":"0","resultStr":"{\"title\":\"Risk taking behaviour predicts consistent and heritable coping styles in zebrafish.\",\"authors\":\"Lianne Koets, Tim van der Kwaak, Marcel Schaaf, Christian Tudorache\",\"doi\":\"10.1186/s12868-025-00944-w\",\"DOIUrl\":null,\"url\":null,\"abstract\":\"<p><strong>Background: </strong>Coping styles are individually coherent sets of behavioural and physiological responses to stress. Coping styles are thought to remain consistent across context and time, and display a certain level of heritability. Here, we examined whether risk taking is a predictor for consistency and heritability of stress coping styles in both larval and adult zebrafish (Danio rerio).</p><p><strong>Results: </strong>A group emergence test where fish emerge from a familiar housing compartment into a potentially dangerous novel environment, established the level of risk taking of F0 generation adult zebrafish. The degree of risk taking appeared to be consistent over time and context. Then, the F0 risk taking degree was further correlated with various behavioural parameters related to stress coping of the F1 and F2 generations. In larval fish, these parameters were measured during a light dark challenge which elicits an anxiety like response. In adults, they were measured during a single emergence test and a combined open field and mirror biting test, estimating the degree of risk taking and the level of explorativeness and aggressiveness. The results show that (i) parental risk taking behaviour is a good predictor for a large number of larval and adult behavioural parameters, within and between generations; (ii) a number of these parameters are consistent over ontogenetic (larval and adult) stages within the same generation, and (iii) four of these parameters representing risk taking, aggressiveness, and swimming behaviour, were correlated over multiple generations, establishing heritability of coping styles.</p><p><strong>Conclusion: </strong>We conclude that risk taking behaviour is a strong predictor of coping style within and between generations and behavioural parameters associated with risk taking are consistent over time and heritable over generations.</p>\",\"PeriodicalId\":9031,\"journal\":{\"name\":\"BMC Neuroscience\",\"volume\":\"26 1\",\"pages\":\"25\"},\"PeriodicalIF\":2.3000,\"publicationDate\":\"2025-03-20\",\"publicationTypes\":\"Journal Article\",\"fieldsOfStudy\":null,\"isOpenAccess\":false,\"openAccessPdf\":\"https://www.ncbi.nlm.nih.gov/pmc/articles/PMC11924662/pdf/\",\"citationCount\":\"0\",\"resultStr\":null,\"platform\":\"Semanticscholar\",\"paperid\":null,\"PeriodicalName\":\"BMC Neuroscience\",\"FirstCategoryId\":\"3\",\"ListUrlMain\":\"https://doi.org/10.1186/s12868-025-00944-w\",\"RegionNum\":4,\"RegionCategory\":\"医学\",\"ArticlePicture\":[],\"TitleCN\":null,\"AbstractTextCN\":null,\"PMCID\":null,\"EPubDate\":\"\",\"PubModel\":\"\",\"JCR\":\"Q3\",\"JCRName\":\"NEUROSCIENCES\",\"Score\":null,\"Total\":0}","platform":"Semanticscholar","paperid":null,"PeriodicalName":"BMC Neuroscience","FirstCategoryId":"3","ListUrlMain":"https://doi.org/10.1186/s12868-025-00944-w","RegionNum":4,"RegionCategory":"医学","ArticlePicture":[],"TitleCN":null,"AbstractTextCN":null,"PMCID":null,"EPubDate":"","PubModel":"","JCR":"Q3","JCRName":"NEUROSCIENCES","Score":null,"Total":0}
引用次数: 0

摘要

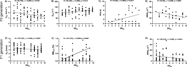
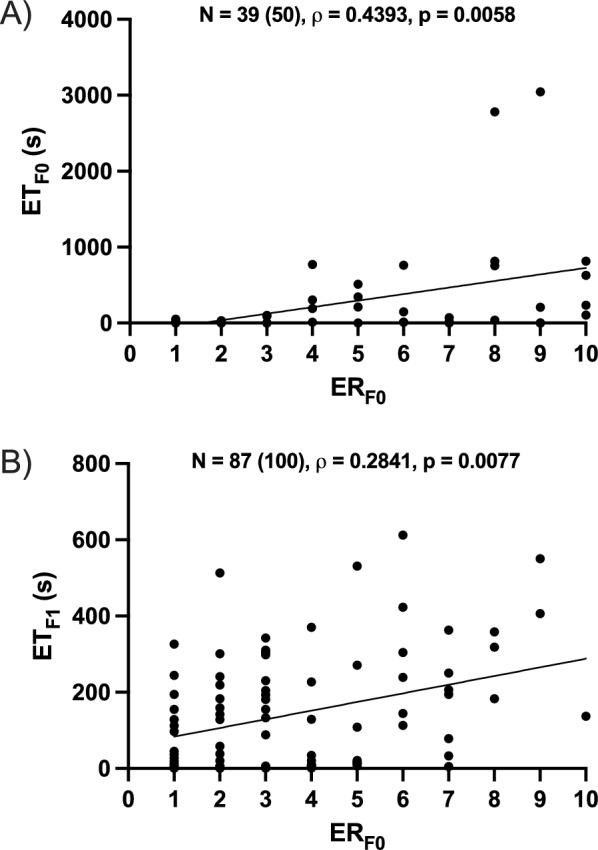
背景:应对方式是个体对压力一致的行为和生理反应。应对方式被认为在不同的环境和时间里保持一致,并表现出一定程度的遗传性。在这里,我们研究了风险承担是否能预测斑马鱼幼鱼和成年斑马鱼的压力应对方式的一致性和遗传性。结果:一组出现测试,鱼从一个熟悉的住房隔间出现到一个潜在的危险的新环境,确定了F0代成年斑马鱼的风险承担水平。冒险的程度似乎随着时间和环境的变化而保持一致。然后,F0风险承担程度进一步与F1和F2代应激应对相关的各种行为参数相关。在幼鱼中,这些参数是在引起焦虑样反应的光暗挑战期间测量的。在成人中,他们通过一个单一的出现测试和一个结合开放场地和镜子咬测试来测量,估计冒险程度和探索性和攻击性的水平。结果表明:(1)亲代冒险行为可以很好地预测代内和代间幼虫和成虫的大量行为参数;(ii)这些参数中的许多在同一代的个体发育阶段(幼虫和成虫)是一致的;(iii)这些参数中代表冒险、攻击性和游泳行为的四个参数在多代之间是相关的,从而建立了应对方式的遗传性。结论:我们得出的结论是,冒险行为是应对方式的一个强有力的预测因素,与冒险相关的行为参数随着时间的推移是一致的,并且可以遗传给几代人。
本文章由计算机程序翻译,如有差异,请以英文原文为准。

Risk taking behaviour predicts consistent and heritable coping styles in zebrafish.

Risk taking behaviour predicts consistent and heritable coping styles in zebrafish.

Risk taking behaviour predicts consistent and heritable coping styles in zebrafish.

Risk taking behaviour predicts consistent and heritable coping styles in zebrafish.

Background: Coping styles are individually coherent sets of behavioural and physiological responses to stress. Coping styles are thought to remain consistent across context and time, and display a certain level of heritability. Here, we examined whether risk taking is a predictor for consistency and heritability of stress coping styles in both larval and adult zebrafish (Danio rerio).

Results: A group emergence test where fish emerge from a familiar housing compartment into a potentially dangerous novel environment, established the level of risk taking of F0 generation adult zebrafish. The degree of risk taking appeared to be consistent over time and context. Then, the F0 risk taking degree was further correlated with various behavioural parameters related to stress coping of the F1 and F2 generations. In larval fish, these parameters were measured during a light dark challenge which elicits an anxiety like response. In adults, they were measured during a single emergence test and a combined open field and mirror biting test, estimating the degree of risk taking and the level of explorativeness and aggressiveness. The results show that (i) parental risk taking behaviour is a good predictor for a large number of larval and adult behavioural parameters, within and between generations; (ii) a number of these parameters are consistent over ontogenetic (larval and adult) stages within the same generation, and (iii) four of these parameters representing risk taking, aggressiveness, and swimming behaviour, were correlated over multiple generations, establishing heritability of coping styles.

Conclusion: We conclude that risk taking behaviour is a strong predictor of coping style within and between generations and behavioural parameters associated with risk taking are consistent over time and heritable over generations.

求助全文
通过发布文献求助,成功后即可免费获取论文全文。 去求助
来源期刊
BMC Neuroscience
BMC Neuroscience 医学-神经科学
CiteScore
3.90
自引率
0.00%
发文量
64
审稿时长
16 months
期刊介绍: BMC Neuroscience is an open access, peer-reviewed journal that considers articles on all aspects of neuroscience, welcoming studies that provide insight into the molecular, cellular, developmental, genetic and genomic, systems, network, cognitive and behavioral aspects of nervous system function in both health and disease. Both experimental and theoretical studies are within scope, as are studies that describe methodological approaches to monitoring or manipulating nervous system function.
×
引用
GB/T 7714-2015
复制
MLA
复制
APA
复制
导出至
BibTeX EndNote RefMan NoteFirst NoteExpress
×
提示
您的信息不完整,为了账户安全,请先补充。
现在去补充
×
提示
您因"违规操作"
具体请查看互助需知
我知道了
×
提示
确定
请完成安全验证×
copy
已复制链接
快去分享给好友吧!
我知道了
右上角分享
点击右上角分享
0
联系我们:info@booksci.cn Book学术提供免费学术资源搜索服务,方便国内外学者检索中英文文献。致力于提供最便捷和优质的服务体验。 Copyright © 2023 布克学术 All rights reserved.
京ICP备2023020795号-1
ghs 京公网安备 11010802042870号
Book学术文献互助
Book学术文献互助群
群 号:604180095
Book学术官方微信