[毒脉汤改善脾虚湿热型外阴阴道念珠菌病阴道菌群的机制:基于宏基因组学和代谢组学的研究]。

Q3 Medicine
Yue Han, Su Shen, Jie Fu, Qingling Ren
{"title":"[毒脉汤改善脾虚湿热型外阴阴道念珠菌病阴道菌群的机制:基于宏基因组学和代谢组学的研究]。","authors":"Yue Han, Su Shen, Jie Fu, Qingling Ren","doi":"10.12182/20250160110","DOIUrl":null,"url":null,"abstract":"<p><strong>Objective: </strong>To explore the mechanism by which Wandai Decoction prevents and treats vulvovaginal candidiasis (VVC) of the spleen deficiency and excessive dampness type and restores the vaginal flora structure, and to identify the potential metabolic pathways involved using metagenomics and metabolomics.</p><p><strong>Methods: </strong>Twenty VVC patients who met the inclusion criteria were randomly assigned to a Wandai Decoction group and a fluconazole group (<i>n</i> = 10 in each group). Subjects in the fluconazole group were given a single oral dose of 150 mg fluconazole, while those in the Wandai Decoction group took the Wandai Decoction orally for 14 days. The vulvovaginal signs and symptoms (VSS) scores of both patient groups were evaluated before and after treatment. Vaginal secretions were collected before and after treatment. The Illumina sequencing and the liquid chromatography with tandem mass spectrometry (LC-MS/MS) platform were used to conduct metagenomic and metabolomics analyses of the vaginal secretions, respectively.</p><p><strong>Results: </strong>The VSS score results showed that the VSS scores of both groups decreased after treatment compared with those before treatment (<i>P</i> < 0.01), and there was no statistically significant difference in the VSS scores between the two groups after treatment. Metagenomics results showed that, after treatment, the vaginal microbial communities in the Wandai Decoction group were of CST Ⅱ and Ⅴ types (predominated by <i>Lactobacillus gasseri</i> and <i>Lactobacillus jensenii</i>), while those in the fluconazole group were <i>Lactobacillus_intestinalis</i> and <i>Streptococcus_sp._oral_</i> <i>taxon_</i>431. KEGG functional enrichment analysis results showed that, in terms of the cell cycle and meiosis functions of <i>Candida albicans</i>, statistically significant differences between the Wandai Decoction and fluconazole groups were observed (<i>P</i> < 0.05). Metabolomic analysis identified 120 differential metabolites between the two groups after treatment. The results of KEGG metabolic pathway enrichment analysis of differential metabolites showed that the Wandai Decoction might be significantly superior to fluconazole in improving local vaginal metabolic pathways of α-linolenic acid, glycerophospholipid metabolism, pentose and glucuronic acid interconversion, and arachidonic acid.</p><p><strong>Conclusion: </strong>The Wandai Decoction can improve the vaginal flora of VVC patients. It may be superior to fluconazole in the signaling pathways of the cell cycle and meiosis. The improvement of the vaginal flora by the Wandai Decoction may be associated with its effect on metabolic pathways of glycerophospholipid metabolism, pentose and glucuronic acid interconversion, and others in the vagina.</p>","PeriodicalId":39321,"journal":{"name":"四川大学学报(医学版)","volume":"56 1","pages":"68-73"},"PeriodicalIF":0.0000,"publicationDate":"2025-01-20","publicationTypes":"Journal Article","fieldsOfStudy":null,"isOpenAccess":false,"openAccessPdf":"https://www.ncbi.nlm.nih.gov/pmc/articles/PMC11914014/pdf/","citationCount":"0","resultStr":"{\"title\":\"[Mechanisms of Wandai Decoction in Improving Vaginal Flora of Vulvovaginal Candidiasis of the Spleen Deficiency and Excessive Dampness Type: A Study Based on Metagenomics and Metabolomics].\",\"authors\":\"Yue Han, Su Shen, Jie Fu, Qingling Ren\",\"doi\":\"10.12182/20250160110\",\"DOIUrl\":null,\"url\":null,\"abstract\":\"<p><strong>Objective: </strong>To explore the mechanism by which Wandai Decoction prevents and treats vulvovaginal candidiasis (VVC) of the spleen deficiency and excessive dampness type and restores the vaginal flora structure, and to identify the potential metabolic pathways involved using metagenomics and metabolomics.</p><p><strong>Methods: </strong>Twenty VVC patients who met the inclusion criteria were randomly assigned to a Wandai Decoction group and a fluconazole group (<i>n</i> = 10 in each group). Subjects in the fluconazole group were given a single oral dose of 150 mg fluconazole, while those in the Wandai Decoction group took the Wandai Decoction orally for 14 days. The vulvovaginal signs and symptoms (VSS) scores of both patient groups were evaluated before and after treatment. Vaginal secretions were collected before and after treatment. The Illumina sequencing and the liquid chromatography with tandem mass spectrometry (LC-MS/MS) platform were used to conduct metagenomic and metabolomics analyses of the vaginal secretions, respectively.</p><p><strong>Results: </strong>The VSS score results showed that the VSS scores of both groups decreased after treatment compared with those before treatment (<i>P</i> < 0.01), and there was no statistically significant difference in the VSS scores between the two groups after treatment. Metagenomics results showed that, after treatment, the vaginal microbial communities in the Wandai Decoction group were of CST Ⅱ and Ⅴ types (predominated by <i>Lactobacillus gasseri</i> and <i>Lactobacillus jensenii</i>), while those in the fluconazole group were <i>Lactobacillus_intestinalis</i> and <i>Streptococcus_sp._oral_</i> <i>taxon_</i>431. KEGG functional enrichment analysis results showed that, in terms of the cell cycle and meiosis functions of <i>Candida albicans</i>, statistically significant differences between the Wandai Decoction and fluconazole groups were observed (<i>P</i> < 0.05). Metabolomic analysis identified 120 differential metabolites between the two groups after treatment. The results of KEGG metabolic pathway enrichment analysis of differential metabolites showed that the Wandai Decoction might be significantly superior to fluconazole in improving local vaginal metabolic pathways of α-linolenic acid, glycerophospholipid metabolism, pentose and glucuronic acid interconversion, and arachidonic acid.</p><p><strong>Conclusion: </strong>The Wandai Decoction can improve the vaginal flora of VVC patients. It may be superior to fluconazole in the signaling pathways of the cell cycle and meiosis. The improvement of the vaginal flora by the Wandai Decoction may be associated with its effect on metabolic pathways of glycerophospholipid metabolism, pentose and glucuronic acid interconversion, and others in the vagina.</p>\",\"PeriodicalId\":39321,\"journal\":{\"name\":\"四川大学学报(医学版)\",\"volume\":\"56 1\",\"pages\":\"68-73\"},\"PeriodicalIF\":0.0000,\"publicationDate\":\"2025-01-20\",\"publicationTypes\":\"Journal Article\",\"fieldsOfStudy\":null,\"isOpenAccess\":false,\"openAccessPdf\":\"https://www.ncbi.nlm.nih.gov/pmc/articles/PMC11914014/pdf/\",\"citationCount\":\"0\",\"resultStr\":null,\"platform\":\"Semanticscholar\",\"paperid\":null,\"PeriodicalName\":\"四川大学学报(医学版)\",\"FirstCategoryId\":\"3\",\"ListUrlMain\":\"https://doi.org/10.12182/20250160110\",\"RegionNum\":0,\"RegionCategory\":null,\"ArticlePicture\":[],\"TitleCN\":null,\"AbstractTextCN\":null,\"PMCID\":null,\"EPubDate\":\"\",\"PubModel\":\"\",\"JCR\":\"Q3\",\"JCRName\":\"Medicine\",\"Score\":null,\"Total\":0}","platform":"Semanticscholar","paperid":null,"PeriodicalName":"四川大学学报(医学版)","FirstCategoryId":"3","ListUrlMain":"https://doi.org/10.12182/20250160110","RegionNum":0,"RegionCategory":null,"ArticlePicture":[],"TitleCN":null,"AbstractTextCN":null,"PMCID":null,"EPubDate":"","PubModel":"","JCR":"Q3","JCRName":"Medicine","Score":null,"Total":0}
引用次数: 0

摘要

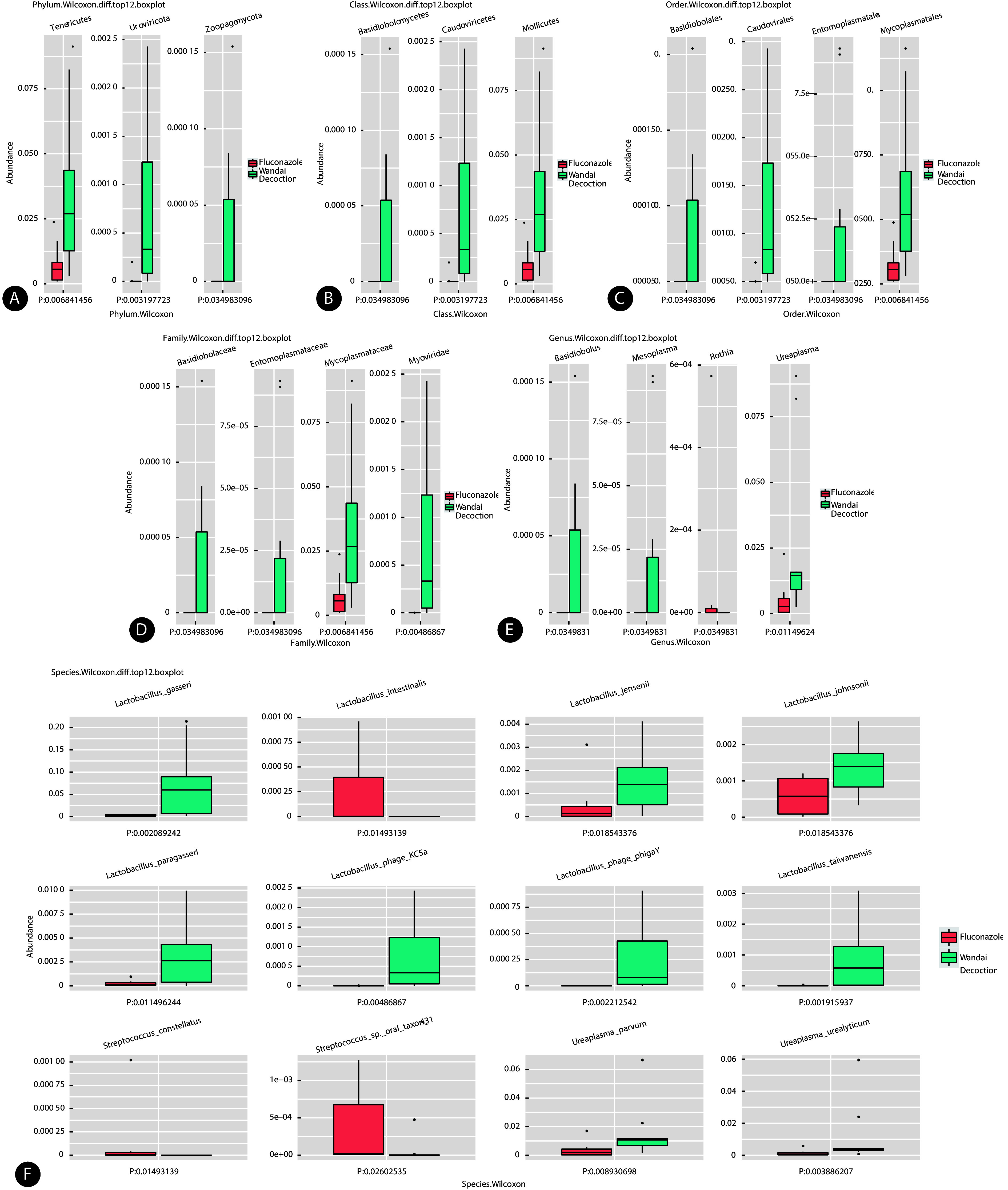
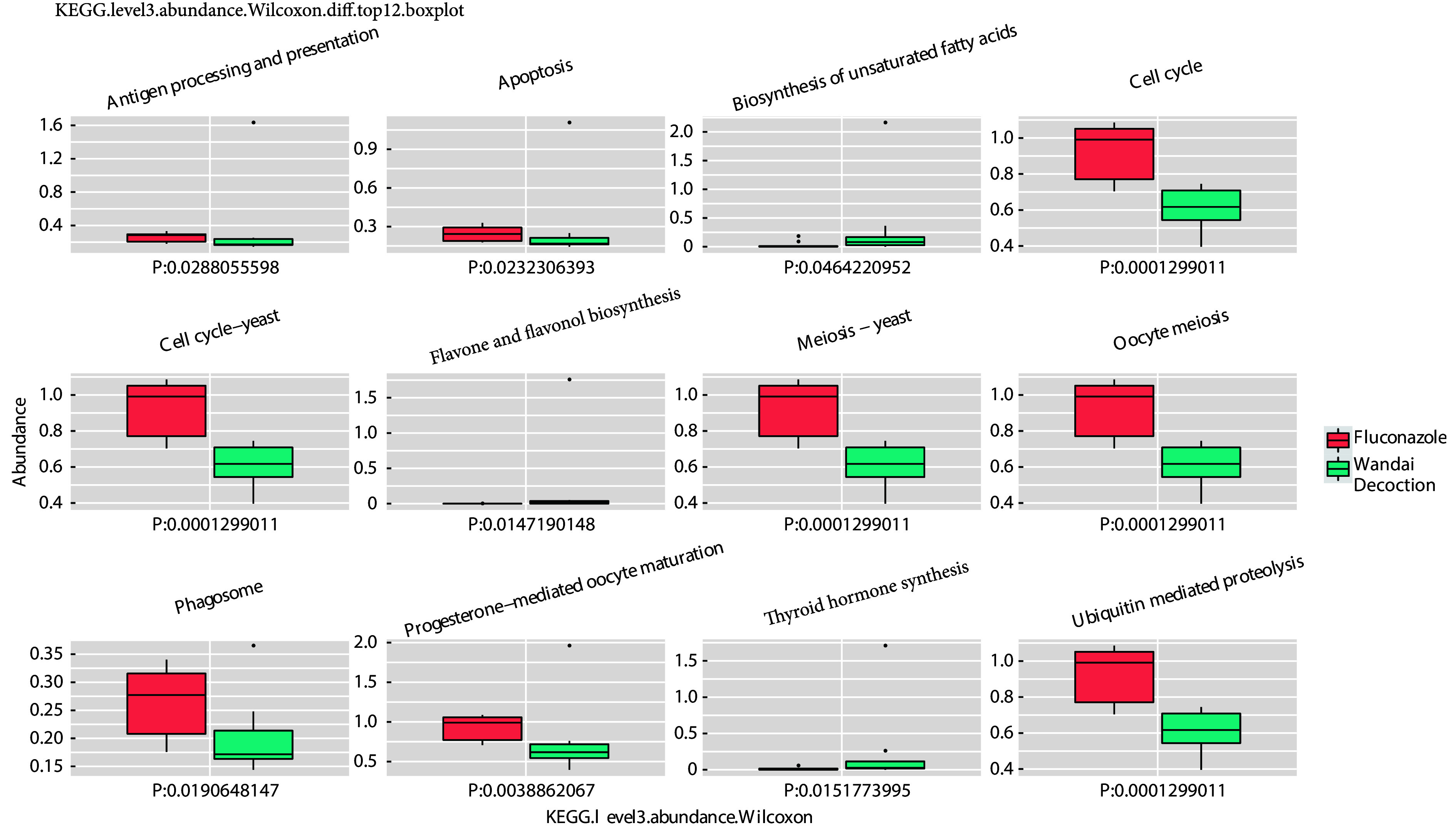
目的:探讨菀脉汤防治脾虚湿型外阴阴道念珠菌病(VVC)及恢复阴道菌群结构的作用机制,并利用元基因组学和代谢组学方法确定可能参与的代谢途径。方法:将符合纳入标准的VVC患者20例随机分为万代汤组和氟康唑组,每组10例。氟康唑组给予氟康唑单次口服150 mg,万代汤组给予万代汤口服14 d。观察两组患者治疗前后外阴阴道体征和症状(VSS)评分。治疗前后分别采集阴道分泌物。采用Illumina测序和液相色谱串联质谱(LC-MS/MS)平台分别对阴道分泌物进行宏基因组和代谢组学分析。结果:VSS评分结果显示,治疗后两组患者VSS评分均较治疗前下降(P < 0.01),治疗后两组患者VSS评分差异无统计学意义。宏基因组学结果显示,治疗后,万代汤组阴道微生物群落类型为CSTⅡ和Ⅴ型(以产乳杆菌和延sen乳杆菌为主),氟康唑组阴道微生物群落类型为lactobacillus_nestiinalis和Streptococcus_sp。_oral_ taxon_431。KEGG功能富集分析结果显示,在白色念珠菌的细胞周期和减数分裂功能方面,Wandai汤剂组与氟康唑组差异有统计学意义(P < 0.05)。代谢组学分析发现治疗后两组之间有120种差异代谢物。差异代谢物KEGG代谢途径富集分析结果显示,在改善阴道局部α-亚麻酸、甘油脂代谢、戊糖与葡萄糖醛酸互转化、花生四烯酸等代谢途径方面,菀脉汤可能明显优于氟康唑。结论:万代汤能改善VVC患者阴道菌群。它在细胞周期和减数分裂的信号通路上可能优于氟康唑。Wandai汤对阴道菌群的改善可能与其对阴道内甘油磷脂代谢、戊糖和葡萄糖醛酸相互转化等代谢途径的影响有关。
本文章由计算机程序翻译,如有差异,请以英文原文为准。

[Mechanisms of Wandai Decoction in Improving Vaginal Flora of Vulvovaginal Candidiasis of the Spleen Deficiency and Excessive Dampness Type: A Study Based on Metagenomics and Metabolomics].

[Mechanisms of Wandai Decoction in Improving Vaginal Flora of Vulvovaginal Candidiasis of the Spleen Deficiency and Excessive Dampness Type: A Study Based on Metagenomics and Metabolomics].

[Mechanisms of Wandai Decoction in Improving Vaginal Flora of Vulvovaginal Candidiasis of the Spleen Deficiency and Excessive Dampness Type: A Study Based on Metagenomics and Metabolomics].

[Mechanisms of Wandai Decoction in Improving Vaginal Flora of Vulvovaginal Candidiasis of the Spleen Deficiency and Excessive Dampness Type: A Study Based on Metagenomics and Metabolomics].

Objective: To explore the mechanism by which Wandai Decoction prevents and treats vulvovaginal candidiasis (VVC) of the spleen deficiency and excessive dampness type and restores the vaginal flora structure, and to identify the potential metabolic pathways involved using metagenomics and metabolomics.

Methods: Twenty VVC patients who met the inclusion criteria were randomly assigned to a Wandai Decoction group and a fluconazole group (n = 10 in each group). Subjects in the fluconazole group were given a single oral dose of 150 mg fluconazole, while those in the Wandai Decoction group took the Wandai Decoction orally for 14 days. The vulvovaginal signs and symptoms (VSS) scores of both patient groups were evaluated before and after treatment. Vaginal secretions were collected before and after treatment. The Illumina sequencing and the liquid chromatography with tandem mass spectrometry (LC-MS/MS) platform were used to conduct metagenomic and metabolomics analyses of the vaginal secretions, respectively.

Results: The VSS score results showed that the VSS scores of both groups decreased after treatment compared with those before treatment (P < 0.01), and there was no statistically significant difference in the VSS scores between the two groups after treatment. Metagenomics results showed that, after treatment, the vaginal microbial communities in the Wandai Decoction group were of CST Ⅱ and Ⅴ types (predominated by Lactobacillus gasseri and Lactobacillus jensenii), while those in the fluconazole group were Lactobacillus_intestinalis and Streptococcus_sp._oral_ taxon_431. KEGG functional enrichment analysis results showed that, in terms of the cell cycle and meiosis functions of Candida albicans, statistically significant differences between the Wandai Decoction and fluconazole groups were observed (P < 0.05). Metabolomic analysis identified 120 differential metabolites between the two groups after treatment. The results of KEGG metabolic pathway enrichment analysis of differential metabolites showed that the Wandai Decoction might be significantly superior to fluconazole in improving local vaginal metabolic pathways of α-linolenic acid, glycerophospholipid metabolism, pentose and glucuronic acid interconversion, and arachidonic acid.

Conclusion: The Wandai Decoction can improve the vaginal flora of VVC patients. It may be superior to fluconazole in the signaling pathways of the cell cycle and meiosis. The improvement of the vaginal flora by the Wandai Decoction may be associated with its effect on metabolic pathways of glycerophospholipid metabolism, pentose and glucuronic acid interconversion, and others in the vagina.

求助全文
通过发布文献求助,成功后即可免费获取论文全文。 去求助
来源期刊
四川大学学报(医学版)
四川大学学报(医学版) Biochemistry, Genetics and Molecular Biology-Molecular Biology
CiteScore
0.70
自引率
0.00%
发文量
8695
期刊介绍: "Journal of Sichuan University (Medical Edition)" is a comprehensive medical academic journal sponsored by Sichuan University, a higher education institution directly under the Ministry of Education of the People's Republic of China. It was founded in 1959 and was originally named "Journal of Sichuan Medical College". In 1986, it was renamed "Journal of West China University of Medical Sciences". In 2003, it was renamed "Journal of Sichuan University (Medical Edition)" (bimonthly). "Journal of Sichuan University (Medical Edition)" is a Chinese core journal and a Chinese authoritative academic journal (RCCSE). It is included in the retrieval systems such as China Science and Technology Papers and Citation Database (CSTPCD), China Science Citation Database (CSCD) (core version), Peking University Library's "Overview of Chinese Core Journals", the U.S. "Index Medica" (IM/Medline), the U.S. "PubMed Central" (PMC), the U.S. "Biological Abstracts" (BA), the U.S. "Chemical Abstracts" (CA), the U.S. EBSCO, the Netherlands "Abstracts and Citation Database" (Scopus), the Japan Science and Technology Agency Database (JST), the Russian "Abstract Magazine", the Chinese Biomedical Literature CD-ROM Database (CBMdisc), the Chinese Biomedical Periodical Literature Database (CMCC), the China Academic Journal Network Full-text Database (CNKI), the Chinese Academic Journal (CD-ROM Edition), and the Wanfang Data-Digital Journal Group.
×
引用
GB/T 7714-2015
复制
MLA
复制
APA
复制
导出至
BibTeX EndNote RefMan NoteFirst NoteExpress
×
提示
您的信息不完整,为了账户安全,请先补充。
现在去补充
×
提示
您因"违规操作"
具体请查看互助需知
我知道了
×
提示
确定
请完成安全验证×
copy
已复制链接
快去分享给好友吧!
我知道了
右上角分享
点击右上角分享
0
联系我们:info@booksci.cn Book学术提供免费学术资源搜索服务,方便国内外学者检索中英文文献。致力于提供最便捷和优质的服务体验。 Copyright © 2023 布克学术 All rights reserved.
京ICP备2023020795号-1
ghs 京公网安备 11010802042870号
Book学术文献互助
Book学术文献互助群
群 号:604180095
Book学术官方微信