“肥胖”、女性和弱势群体:探索交叉性、感知者特征和眼球运动。

IF 2.1 3区 心理学 Q2 PSYCHOLOGY, MULTIDISCIPLINARY
Scandinavian journal of psychology Pub Date : 2025-08-01 Epub Date: 2025-03-20 DOI:10.1111/sjop.13106
Ana Jovančević, Nebojša Milićević, Miodrag Milenović
{"title":"“肥胖”、女性和弱势群体:探索交叉性、感知者特征和眼球运动。","authors":"Ana Jovančević, Nebojša Milićević, Miodrag Milenović","doi":"10.1111/sjop.13106","DOIUrl":null,"url":null,"abstract":"<p><p>The aim of this research was to examine the role of body self-esteem, Body Mass Index (BMI), and the tendency toward social desirability as predictors of anti-fat stereotypes and prejudices, and gender, 'fat' status, and social status as moderators of this relationship, as well as eye movements of subjects when observing 'fat' individuals. Three studies examined the research aims. In the first study (N = 311; 60.8% female), body self-esteem, self-reported BMI, and social desirability were assessed as predictors of anti-fat stereotypes and prejudice, with 'fat' status as a moderating variable. The second study (N = 311; 60.8% female) replicated this approach, adding perceived social status as a moderator. The third study (N = 191; 61.5% female) assessed body self-esteem and collected precise body-related measurements (weight, body fat, visceral fat, muscle percentage, metabolism, and BMI) using the OMRON body composition monitor. Additionally, it measured anti-fat stereotypes, prejudice, and eye movements in response to 'fat' and 'non-fat' stimuli. The results of the first study suggest that body self-esteem, BMI, and the tendency toward social desirability can predict anti-fat stereotypes and prejudices. 'Fat' women were evaluated most negatively. The second study indicates that the social status of stimulus individuals is also a significant moderator of the relationships described above. 'Fat' women of low social status are evaluated most negatively. In the third study, we obtained information on the following eye movement parameters: (1) First view, (2) Duration of fixations, (3) Fixations and (4) Revisits. Eye movement parameters can be predicted by body self-esteem and body condition parameters, while gender and 'fat' status of stimuli are significant moderators in this relationship. The study explains the role of BMI and body self-esteem in anti-fat bias, highlights the importance of gender and social status in perceiving 'fat' individuals, as well as the importance of considering nuanced body composition measures, such as visceral fat and muscle percentage, in understanding individual differences in perceptual bias. Differences in viewing patterns between genders underscore the interplay of stereotypes.</p>","PeriodicalId":21435,"journal":{"name":"Scandinavian journal of psychology","volume":" ","pages":"578-597"},"PeriodicalIF":2.1000,"publicationDate":"2025-08-01","publicationTypes":"Journal Article","fieldsOfStudy":null,"isOpenAccess":false,"openAccessPdf":"https://www.ncbi.nlm.nih.gov/pmc/articles/PMC12235072/pdf/","citationCount":"0","resultStr":"{\"title\":\"'Fat', Female and Unprivileged: Exploring Intersectionality, Perceiver Characteristics, and Eye Movements.\",\"authors\":\"Ana Jovančević, Nebojša Milićević, Miodrag Milenović\",\"doi\":\"10.1111/sjop.13106\",\"DOIUrl\":null,\"url\":null,\"abstract\":\"<p><p>The aim of this research was to examine the role of body self-esteem, Body Mass Index (BMI), and the tendency toward social desirability as predictors of anti-fat stereotypes and prejudices, and gender, 'fat' status, and social status as moderators of this relationship, as well as eye movements of subjects when observing 'fat' individuals. Three studies examined the research aims. In the first study (N = 311; 60.8% female), body self-esteem, self-reported BMI, and social desirability were assessed as predictors of anti-fat stereotypes and prejudice, with 'fat' status as a moderating variable. The second study (N = 311; 60.8% female) replicated this approach, adding perceived social status as a moderator. The third study (N = 191; 61.5% female) assessed body self-esteem and collected precise body-related measurements (weight, body fat, visceral fat, muscle percentage, metabolism, and BMI) using the OMRON body composition monitor. Additionally, it measured anti-fat stereotypes, prejudice, and eye movements in response to 'fat' and 'non-fat' stimuli. The results of the first study suggest that body self-esteem, BMI, and the tendency toward social desirability can predict anti-fat stereotypes and prejudices. 'Fat' women were evaluated most negatively. The second study indicates that the social status of stimulus individuals is also a significant moderator of the relationships described above. 'Fat' women of low social status are evaluated most negatively. In the third study, we obtained information on the following eye movement parameters: (1) First view, (2) Duration of fixations, (3) Fixations and (4) Revisits. Eye movement parameters can be predicted by body self-esteem and body condition parameters, while gender and 'fat' status of stimuli are significant moderators in this relationship. The study explains the role of BMI and body self-esteem in anti-fat bias, highlights the importance of gender and social status in perceiving 'fat' individuals, as well as the importance of considering nuanced body composition measures, such as visceral fat and muscle percentage, in understanding individual differences in perceptual bias. Differences in viewing patterns between genders underscore the interplay of stereotypes.</p>\",\"PeriodicalId\":21435,\"journal\":{\"name\":\"Scandinavian journal of psychology\",\"volume\":\" \",\"pages\":\"578-597\"},\"PeriodicalIF\":2.1000,\"publicationDate\":\"2025-08-01\",\"publicationTypes\":\"Journal Article\",\"fieldsOfStudy\":null,\"isOpenAccess\":false,\"openAccessPdf\":\"https://www.ncbi.nlm.nih.gov/pmc/articles/PMC12235072/pdf/\",\"citationCount\":\"0\",\"resultStr\":null,\"platform\":\"Semanticscholar\",\"paperid\":null,\"PeriodicalName\":\"Scandinavian journal of psychology\",\"FirstCategoryId\":\"102\",\"ListUrlMain\":\"https://doi.org/10.1111/sjop.13106\",\"RegionNum\":3,\"RegionCategory\":\"心理学\",\"ArticlePicture\":[],\"TitleCN\":null,\"AbstractTextCN\":null,\"PMCID\":null,\"EPubDate\":\"2025/3/20 0:00:00\",\"PubModel\":\"Epub\",\"JCR\":\"Q2\",\"JCRName\":\"PSYCHOLOGY, MULTIDISCIPLINARY\",\"Score\":null,\"Total\":0}","platform":"Semanticscholar","paperid":null,"PeriodicalName":"Scandinavian journal of psychology","FirstCategoryId":"102","ListUrlMain":"https://doi.org/10.1111/sjop.13106","RegionNum":3,"RegionCategory":"心理学","ArticlePicture":[],"TitleCN":null,"AbstractTextCN":null,"PMCID":null,"EPubDate":"2025/3/20 0:00:00","PubModel":"Epub","JCR":"Q2","JCRName":"PSYCHOLOGY, MULTIDISCIPLINARY","Score":null,"Total":0}
引用次数: 0

摘要

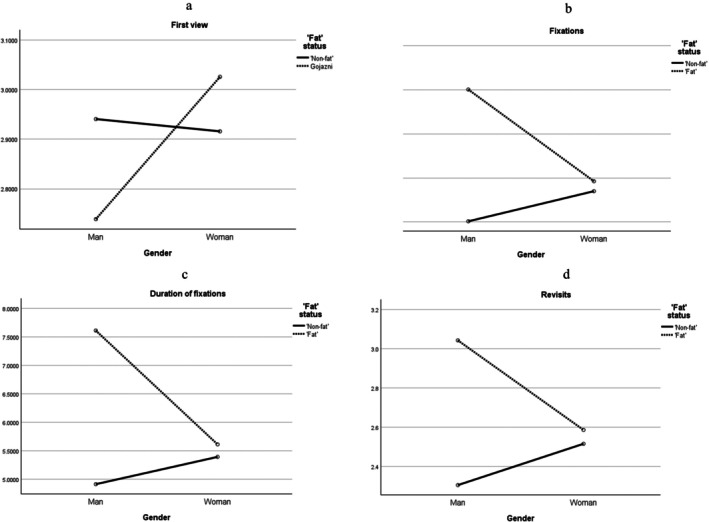
本研究的目的是检验身体自尊、身体质量指数(BMI)和社会期望倾向作为反肥胖刻板印象和偏见的预测因素的作用,以及性别、“肥胖”地位和社会地位作为这种关系的调节因素,以及观察“肥胖”个体时受试者的眼球运动。三项研究检验了研究目的。在第一项研究中(N = 311;60.8%女性)、身体自尊、自我报告的BMI和社会期望被评估为反肥胖刻板印象和偏见的预测因素,“肥胖”状态是一个调节变量。第二项研究(N = 311;60.8%的女性)重复了这一方法,添加了作为调解人的感知社会地位。第三项研究(N = 191;(61.5%女性)评估身体自尊,并使用欧姆龙身体成分监测器收集精确的身体相关测量(体重、体脂、内脏脂肪、肌肉百分比、新陈代谢和BMI)。此外,该研究还测量了反肥胖的刻板印象、偏见和眼球运动对“肥胖”和“非脂肪”刺激的反应。第一项研究的结果表明,身体自尊、身体质量指数和社会期望倾向可以预测反肥胖的刻板印象和偏见。“胖”女性受到的评价最为负面。第二项研究表明,刺激个体的社会地位也是上述关系的显著调节因子。社会地位低的“胖”女性受到的评价最为负面。在第三项研究中,我们获得了以下眼动参数的信息:(1)第一次观看,(2)注视持续时间,(3)注视和(4)重访。眼动参数可由身体自尊和身体状态参数预测,而性别和“肥胖”状态在此关系中起显著调节作用。该研究解释了身体质量指数和身体自尊在反肥胖偏见中的作用,强调了性别和社会地位在感知“肥胖”个体方面的重要性,以及在理解感知偏见的个体差异时考虑细微的身体组成指标(如内脏脂肪和肌肉百分比)的重要性。性别之间观看模式的差异强调了刻板印象的相互作用。
本文章由计算机程序翻译,如有差异,请以英文原文为准。

'Fat', Female and Unprivileged: Exploring Intersectionality, Perceiver Characteristics, and Eye Movements.

'Fat', Female and Unprivileged: Exploring Intersectionality, Perceiver Characteristics, and Eye Movements.

'Fat', Female and Unprivileged: Exploring Intersectionality, Perceiver Characteristics, and Eye Movements.

'Fat', Female and Unprivileged: Exploring Intersectionality, Perceiver Characteristics, and Eye Movements.

The aim of this research was to examine the role of body self-esteem, Body Mass Index (BMI), and the tendency toward social desirability as predictors of anti-fat stereotypes and prejudices, and gender, 'fat' status, and social status as moderators of this relationship, as well as eye movements of subjects when observing 'fat' individuals. Three studies examined the research aims. In the first study (N = 311; 60.8% female), body self-esteem, self-reported BMI, and social desirability were assessed as predictors of anti-fat stereotypes and prejudice, with 'fat' status as a moderating variable. The second study (N = 311; 60.8% female) replicated this approach, adding perceived social status as a moderator. The third study (N = 191; 61.5% female) assessed body self-esteem and collected precise body-related measurements (weight, body fat, visceral fat, muscle percentage, metabolism, and BMI) using the OMRON body composition monitor. Additionally, it measured anti-fat stereotypes, prejudice, and eye movements in response to 'fat' and 'non-fat' stimuli. The results of the first study suggest that body self-esteem, BMI, and the tendency toward social desirability can predict anti-fat stereotypes and prejudices. 'Fat' women were evaluated most negatively. The second study indicates that the social status of stimulus individuals is also a significant moderator of the relationships described above. 'Fat' women of low social status are evaluated most negatively. In the third study, we obtained information on the following eye movement parameters: (1) First view, (2) Duration of fixations, (3) Fixations and (4) Revisits. Eye movement parameters can be predicted by body self-esteem and body condition parameters, while gender and 'fat' status of stimuli are significant moderators in this relationship. The study explains the role of BMI and body self-esteem in anti-fat bias, highlights the importance of gender and social status in perceiving 'fat' individuals, as well as the importance of considering nuanced body composition measures, such as visceral fat and muscle percentage, in understanding individual differences in perceptual bias. Differences in viewing patterns between genders underscore the interplay of stereotypes.

求助全文
通过发布文献求助,成功后即可免费获取论文全文。 去求助
来源期刊
Scandinavian journal of psychology
Scandinavian journal of psychology PSYCHOLOGY, MULTIDISCIPLINARY-
CiteScore
4.20
自引率
0.00%
发文量
102
期刊介绍: Published in association with the Nordic psychological associations, the Scandinavian Journal of Psychology publishes original papers from Scandinavia and elsewhere. Covering the whole range of psychology, with a particular focus on experimental psychology, the journal includes high-quality theoretical and methodological papers, empirical reports, reviews and ongoing commentaries.Scandinavian Journal of Psychology is organised into four standing subsections: - Cognition and Neurosciences - Development and Aging - Personality and Social Sciences - Health and Disability
×
引用
GB/T 7714-2015
复制
MLA
复制
APA
复制
导出至
BibTeX EndNote RefMan NoteFirst NoteExpress
×
提示
您的信息不完整,为了账户安全,请先补充。
现在去补充
×
提示
您因"违规操作"
具体请查看互助需知
我知道了
×
提示
确定
请完成安全验证×
copy
已复制链接
快去分享给好友吧!
我知道了
右上角分享
点击右上角分享
0
联系我们:info@booksci.cn Book学术提供免费学术资源搜索服务,方便国内外学者检索中英文文献。致力于提供最便捷和优质的服务体验。 Copyright © 2023 布克学术 All rights reserved.
京ICP备2023020795号-1
ghs 京公网安备 11010802042870号
Book学术文献互助
Book学术文献互助群
群 号:604180095
Book学术官方微信