黄河典型城区表层沉积物特征及重金属污染评价

IF 3.9 2区 综合性期刊 Q1 MULTIDISCIPLINARY SCIENCES
Junzhang Wang, Ling Tao, Hanru Ren, Xiangyu Xue, Zhijie Yang, Yucheng Jiang, Jun Ren
{"title":"黄河典型城区表层沉积物特征及重金属污染评价","authors":"Junzhang Wang, Ling Tao, Hanru Ren, Xiangyu Xue, Zhijie Yang, Yucheng Jiang, Jun Ren","doi":"10.1038/s41598-025-87503-9","DOIUrl":null,"url":null,"abstract":"<p><p>River sediments serve as a source and sink of potential heavy metal pollutants and offer crucial information for aquatic ecosystem health. Heavy metal pollution is a serious issue in global river systems and impacts humans via the food chain. In order to explore the distribution level of heavy metals in the water quality of the Yellow River in China. This study analyzed eight heavy metals (Fe, Mn, Cu, Ni, Zn, Cr, Pb, and Cd) in sediments from six typical urban areas in the middle and upper reaches of the Yellow River using three evaluation. The enrichment factor, geo- accumulation index, and potential ecological risk. This study results show that the contents of Cr and Cd are relatively high in the six cities. Among them, Weinan and Luoyang are two cities with serious heavy metal pollution among the six typical cities. This study has certain guiding significance for relevant partial governance and pollution prevention.</p>","PeriodicalId":21811,"journal":{"name":"Scientific Reports","volume":"15 1","pages":"9403"},"PeriodicalIF":3.9000,"publicationDate":"2025-03-19","publicationTypes":"Journal Article","fieldsOfStudy":null,"isOpenAccess":false,"openAccessPdf":"https://www.ncbi.nlm.nih.gov/pmc/articles/PMC11923100/pdf/","citationCount":"0","resultStr":"{\"title\":\"Assessment of surface sediment properties and heavy metal contamination in typical urban areas of the Yellow River, China.\",\"authors\":\"Junzhang Wang, Ling Tao, Hanru Ren, Xiangyu Xue, Zhijie Yang, Yucheng Jiang, Jun Ren\",\"doi\":\"10.1038/s41598-025-87503-9\",\"DOIUrl\":null,\"url\":null,\"abstract\":\"<p><p>River sediments serve as a source and sink of potential heavy metal pollutants and offer crucial information for aquatic ecosystem health. Heavy metal pollution is a serious issue in global river systems and impacts humans via the food chain. In order to explore the distribution level of heavy metals in the water quality of the Yellow River in China. This study analyzed eight heavy metals (Fe, Mn, Cu, Ni, Zn, Cr, Pb, and Cd) in sediments from six typical urban areas in the middle and upper reaches of the Yellow River using three evaluation. The enrichment factor, geo- accumulation index, and potential ecological risk. This study results show that the contents of Cr and Cd are relatively high in the six cities. Among them, Weinan and Luoyang are two cities with serious heavy metal pollution among the six typical cities. This study has certain guiding significance for relevant partial governance and pollution prevention.</p>\",\"PeriodicalId\":21811,\"journal\":{\"name\":\"Scientific Reports\",\"volume\":\"15 1\",\"pages\":\"9403\"},\"PeriodicalIF\":3.9000,\"publicationDate\":\"2025-03-19\",\"publicationTypes\":\"Journal Article\",\"fieldsOfStudy\":null,\"isOpenAccess\":false,\"openAccessPdf\":\"https://www.ncbi.nlm.nih.gov/pmc/articles/PMC11923100/pdf/\",\"citationCount\":\"0\",\"resultStr\":null,\"platform\":\"Semanticscholar\",\"paperid\":null,\"PeriodicalName\":\"Scientific Reports\",\"FirstCategoryId\":\"103\",\"ListUrlMain\":\"https://doi.org/10.1038/s41598-025-87503-9\",\"RegionNum\":2,\"RegionCategory\":\"综合性期刊\",\"ArticlePicture\":[],\"TitleCN\":null,\"AbstractTextCN\":null,\"PMCID\":null,\"EPubDate\":\"\",\"PubModel\":\"\",\"JCR\":\"Q1\",\"JCRName\":\"MULTIDISCIPLINARY SCIENCES\",\"Score\":null,\"Total\":0}","platform":"Semanticscholar","paperid":null,"PeriodicalName":"Scientific Reports","FirstCategoryId":"103","ListUrlMain":"https://doi.org/10.1038/s41598-025-87503-9","RegionNum":2,"RegionCategory":"综合性期刊","ArticlePicture":[],"TitleCN":null,"AbstractTextCN":null,"PMCID":null,"EPubDate":"","PubModel":"","JCR":"Q1","JCRName":"MULTIDISCIPLINARY SCIENCES","Score":null,"Total":0}
引用次数: 0

摘要

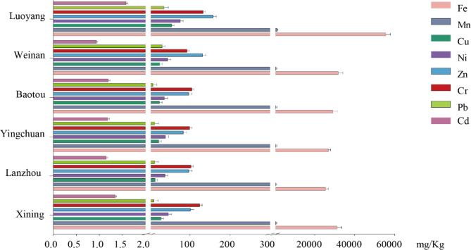
河流沉积物是潜在重金属污染物的来源和汇,为水生生态系统健康提供了重要信息。重金属污染是全球河流系统的一个严重问题,并通过食物链影响人类。为探讨中国黄河水质中重金属的分布水平。本文采用3种评价方法对黄河中上游6个典型城区沉积物中的8种重金属(Fe、Mn、Cu、Ni、Zn、Cr、Pb、Cd)进行了分析。富集系数、地质聚集指数和潜在生态风险。研究结果表明,6个城市的Cr、Cd含量均较高。其中,渭南和洛阳是6个典型城市中重金属污染较为严重的两个城市。本研究对相关的局部治理和污染防治具有一定的指导意义。
本文章由计算机程序翻译,如有差异,请以英文原文为准。

Assessment of surface sediment properties and heavy metal contamination in typical urban areas of the Yellow River, China.

Assessment of surface sediment properties and heavy metal contamination in typical urban areas of the Yellow River, China.

Assessment of surface sediment properties and heavy metal contamination in typical urban areas of the Yellow River, China.

Assessment of surface sediment properties and heavy metal contamination in typical urban areas of the Yellow River, China.

River sediments serve as a source and sink of potential heavy metal pollutants and offer crucial information for aquatic ecosystem health. Heavy metal pollution is a serious issue in global river systems and impacts humans via the food chain. In order to explore the distribution level of heavy metals in the water quality of the Yellow River in China. This study analyzed eight heavy metals (Fe, Mn, Cu, Ni, Zn, Cr, Pb, and Cd) in sediments from six typical urban areas in the middle and upper reaches of the Yellow River using three evaluation. The enrichment factor, geo- accumulation index, and potential ecological risk. This study results show that the contents of Cr and Cd are relatively high in the six cities. Among them, Weinan and Luoyang are two cities with serious heavy metal pollution among the six typical cities. This study has certain guiding significance for relevant partial governance and pollution prevention.

求助全文
通过发布文献求助,成功后即可免费获取论文全文。 去求助
来源期刊
Scientific Reports
Scientific Reports Natural Science Disciplines-
CiteScore
7.50
自引率
4.30%
发文量
19567
审稿时长
3.9 months
期刊介绍: We publish original research from all areas of the natural sciences, psychology, medicine and engineering. You can learn more about what we publish by browsing our specific scientific subject areas below or explore Scientific Reports by browsing all articles and collections. Scientific Reports has a 2-year impact factor: 4.380 (2021), and is the 6th most-cited journal in the world, with more than 540,000 citations in 2020 (Clarivate Analytics, 2021). •Engineering Engineering covers all aspects of engineering, technology, and applied science. It plays a crucial role in the development of technologies to address some of the world''s biggest challenges, helping to save lives and improve the way we live. •Physical sciences Physical sciences are those academic disciplines that aim to uncover the underlying laws of nature — often written in the language of mathematics. It is a collective term for areas of study including astronomy, chemistry, materials science and physics. •Earth and environmental sciences Earth and environmental sciences cover all aspects of Earth and planetary science and broadly encompass solid Earth processes, surface and atmospheric dynamics, Earth system history, climate and climate change, marine and freshwater systems, and ecology. It also considers the interactions between humans and these systems. •Biological sciences Biological sciences encompass all the divisions of natural sciences examining various aspects of vital processes. The concept includes anatomy, physiology, cell biology, biochemistry and biophysics, and covers all organisms from microorganisms, animals to plants. •Health sciences The health sciences study health, disease and healthcare. This field of study aims to develop knowledge, interventions and technology for use in healthcare to improve the treatment of patients.
×
引用
GB/T 7714-2015
复制
MLA
复制
APA
复制
导出至
BibTeX EndNote RefMan NoteFirst NoteExpress
×
提示
您的信息不完整,为了账户安全,请先补充。
现在去补充
×
提示
您因"违规操作"
具体请查看互助需知
我知道了
×
提示
确定
请完成安全验证×
copy
已复制链接
快去分享给好友吧!
我知道了
右上角分享
点击右上角分享
0
联系我们:info@booksci.cn Book学术提供免费学术资源搜索服务,方便国内外学者检索中英文文献。致力于提供最便捷和优质的服务体验。 Copyright © 2023 布克学术 All rights reserved.
京ICP备2023020795号-1
ghs 京公网安备 11010802042870号
Book学术文献互助
Book学术文献互助群
群 号:604180095
Book学术官方微信