循环肿瘤细胞CYP3A5多态性增加了接受R-CHOP治疗的DLBCL患者的无病生存期

IF 2.8 4区 医学 Q3 BIOTECHNOLOGY & APPLIED MICROBIOLOGY
OncoTargets and therapy Pub Date : 2025-03-14 eCollection Date: 2025-01-01 DOI:10.2147/OTT.S486400
Rafael Cerón Maldonado, Adolfo Martínez Tovar, Christian Omar Ramos Peñafiel, Adrián De la Cruz Rosas, Anel Irais García Laguna, Iveth Mendoza Salas, Carlos Martínez Murillo, Gilberto Israel Barranco Lampón, Efreen Horacio Montaño Figueroa, Silvia Jiménez-Morales, Irma Olarte Carrillo
{"title":"循环肿瘤细胞CYP3A5多态性增加了接受R-CHOP治疗的DLBCL患者的无病生存期","authors":"Rafael Cerón Maldonado, Adolfo Martínez Tovar, Christian Omar Ramos Peñafiel, Adrián De la Cruz Rosas, Anel Irais García Laguna, Iveth Mendoza Salas, Carlos Martínez Murillo, Gilberto Israel Barranco Lampón, Efreen Horacio Montaño Figueroa, Silvia Jiménez-Morales, Irma Olarte Carrillo","doi":"10.2147/OTT.S486400","DOIUrl":null,"url":null,"abstract":"<p><strong>Purpose: </strong>Diffuse Large B-Cell Lymphoma (DLBCL) is a heterogeneous aggressive lymphoid neoplasm. Cases of refractoriness and relapse persist in approximately 40% of patients treated with first-line R-CHOP regimen, thus, the identification of factors associated with disease progression have become a necessity. Diverse polymorphisms in genes encoding proteins involved in the metabolism and elimination of chemotherapeutic drugs have been studied as potential causes of treatment failure. In oncology, liquid biopsies have emerged as a non-invasive method for detecting circulating biomarkers, thereby strengthening both diagnosis and prognosis for patients. Therefore, the purpose of this study was to determine polymorphisms in Circulating Tumor Cells (CTCs) to describe the relevance of liquid biopsy in the clinical outcomes of patients with DLBCL.</p><p><strong>Patients and methods: </strong>We analyzed 102 liquid biopsies of peripheral blood from DLBCL patients, of which CTCs were isolated by density gradient and CD20 immunomagnetic antibodies. Allelic discrimination assays were performed to analyze <i>ABCB1 C3435T, ABCG2 C421A</i> and <i>CYP3A5 A6986G</i> polymorphisms. Overall survival (OS) and disease-free survival (DFS) analysis were performed using Kaplan-Meier curves and risk analysis was performed using Cox regression.</p><p><strong>Results: </strong>We found that GG genotype of <i>CYP3A5 A6986G</i> was associated with a longer DFS (68.6% vs 49%, p=0.019) and lower risk of course with adverse event related to disease (progression, relapse and death) (OR 0.374, CI 0.187-0.745, p=0.011). No significant associations were found between <i>ABCB1 C3435T</i> and <i>ABCG2 C421A</i> genotype with the clinical outcome.</p><p><strong>Conclusion: </strong>In this study, we demonstrated that in CTCs derived from liquid biopsies, the GG genotype in the <i>CYP3A5 A6986G</i>, which is related to the metabolism and elimination of chemotherapy drugs, impacts in longer DFS. These findings confirm the relevance of circulating biomarkers in non-invasive biological samples for strengthening the prognosis of DLBCL.</p>","PeriodicalId":19534,"journal":{"name":"OncoTargets and therapy","volume":"18 ","pages":"355-366"},"PeriodicalIF":2.8000,"publicationDate":"2025-03-14","publicationTypes":"Journal Article","fieldsOfStudy":null,"isOpenAccess":false,"openAccessPdf":"https://www.ncbi.nlm.nih.gov/pmc/articles/PMC11920637/pdf/","citationCount":"0","resultStr":"{\"title\":\"<i>CYP3A5</i> Polymorphism in Circulating Tumor Cells Confers an Increased Disease-Free Survival in DLBCL Patients Treated with R-CHOP.\",\"authors\":\"Rafael Cerón Maldonado, Adolfo Martínez Tovar, Christian Omar Ramos Peñafiel, Adrián De la Cruz Rosas, Anel Irais García Laguna, Iveth Mendoza Salas, Carlos Martínez Murillo, Gilberto Israel Barranco Lampón, Efreen Horacio Montaño Figueroa, Silvia Jiménez-Morales, Irma Olarte Carrillo\",\"doi\":\"10.2147/OTT.S486400\",\"DOIUrl\":null,\"url\":null,\"abstract\":\"<p><strong>Purpose: </strong>Diffuse Large B-Cell Lymphoma (DLBCL) is a heterogeneous aggressive lymphoid neoplasm. Cases of refractoriness and relapse persist in approximately 40% of patients treated with first-line R-CHOP regimen, thus, the identification of factors associated with disease progression have become a necessity. Diverse polymorphisms in genes encoding proteins involved in the metabolism and elimination of chemotherapeutic drugs have been studied as potential causes of treatment failure. In oncology, liquid biopsies have emerged as a non-invasive method for detecting circulating biomarkers, thereby strengthening both diagnosis and prognosis for patients. Therefore, the purpose of this study was to determine polymorphisms in Circulating Tumor Cells (CTCs) to describe the relevance of liquid biopsy in the clinical outcomes of patients with DLBCL.</p><p><strong>Patients and methods: </strong>We analyzed 102 liquid biopsies of peripheral blood from DLBCL patients, of which CTCs were isolated by density gradient and CD20 immunomagnetic antibodies. Allelic discrimination assays were performed to analyze <i>ABCB1 C3435T, ABCG2 C421A</i> and <i>CYP3A5 A6986G</i> polymorphisms. Overall survival (OS) and disease-free survival (DFS) analysis were performed using Kaplan-Meier curves and risk analysis was performed using Cox regression.</p><p><strong>Results: </strong>We found that GG genotype of <i>CYP3A5 A6986G</i> was associated with a longer DFS (68.6% vs 49%, p=0.019) and lower risk of course with adverse event related to disease (progression, relapse and death) (OR 0.374, CI 0.187-0.745, p=0.011). No significant associations were found between <i>ABCB1 C3435T</i> and <i>ABCG2 C421A</i> genotype with the clinical outcome.</p><p><strong>Conclusion: </strong>In this study, we demonstrated that in CTCs derived from liquid biopsies, the GG genotype in the <i>CYP3A5 A6986G</i>, which is related to the metabolism and elimination of chemotherapy drugs, impacts in longer DFS. These findings confirm the relevance of circulating biomarkers in non-invasive biological samples for strengthening the prognosis of DLBCL.</p>\",\"PeriodicalId\":19534,\"journal\":{\"name\":\"OncoTargets and therapy\",\"volume\":\"18 \",\"pages\":\"355-366\"},\"PeriodicalIF\":2.8000,\"publicationDate\":\"2025-03-14\",\"publicationTypes\":\"Journal Article\",\"fieldsOfStudy\":null,\"isOpenAccess\":false,\"openAccessPdf\":\"https://www.ncbi.nlm.nih.gov/pmc/articles/PMC11920637/pdf/\",\"citationCount\":\"0\",\"resultStr\":null,\"platform\":\"Semanticscholar\",\"paperid\":null,\"PeriodicalName\":\"OncoTargets and therapy\",\"FirstCategoryId\":\"3\",\"ListUrlMain\":\"https://doi.org/10.2147/OTT.S486400\",\"RegionNum\":4,\"RegionCategory\":\"医学\",\"ArticlePicture\":[],\"TitleCN\":null,\"AbstractTextCN\":null,\"PMCID\":null,\"EPubDate\":\"2025/1/1 0:00:00\",\"PubModel\":\"eCollection\",\"JCR\":\"Q3\",\"JCRName\":\"BIOTECHNOLOGY & APPLIED MICROBIOLOGY\",\"Score\":null,\"Total\":0}","platform":"Semanticscholar","paperid":null,"PeriodicalName":"OncoTargets and therapy","FirstCategoryId":"3","ListUrlMain":"https://doi.org/10.2147/OTT.S486400","RegionNum":4,"RegionCategory":"医学","ArticlePicture":[],"TitleCN":null,"AbstractTextCN":null,"PMCID":null,"EPubDate":"2025/1/1 0:00:00","PubModel":"eCollection","JCR":"Q3","JCRName":"BIOTECHNOLOGY & APPLIED MICROBIOLOGY","Score":null,"Total":0}
引用次数: 0

摘要

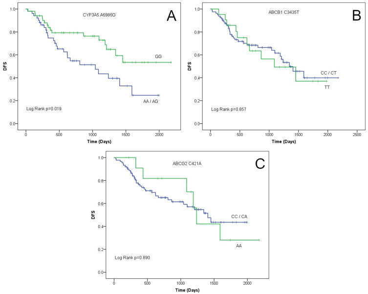
目的:弥漫性大b细胞淋巴瘤(DLBCL)是一种异质性侵袭性淋巴样肿瘤。在接受一线R-CHOP方案治疗的患者中,大约40%的患者持续存在难治性和复发,因此,确定与疾病进展相关的因素已成为必要。参与化疗药物代谢和消除的蛋白质编码基因的多种多态性已被研究为治疗失败的潜在原因。在肿瘤学中,液体活检已经成为一种检测循环生物标志物的非侵入性方法,从而加强了患者的诊断和预后。因此,本研究的目的是确定循环肿瘤细胞(CTCs)的多态性,以描述液体活检与DLBCL患者临床结果的相关性。患者和方法:我们分析了102例DLBCL患者外周血液体活检,其中CTCs采用密度梯度和CD20免疫磁性抗体分离。ABCB1 C3435T、ABCG2 C421A和CYP3A5 A6986G等位基因多态性分析。采用Kaplan-Meier曲线分析总生存期(OS)和无病生存期(DFS),采用Cox回归分析风险。结果:我们发现CYP3A5 A6986G的GG基因型与较长的DFS (68.6% vs 49%, p=0.019)和较低的病程不良事件(进展、复发和死亡)风险相关(OR 0.374, CI 0.187-0.745, p=0.011)。ABCB1 C3435T和ABCG2 C421A基因型与临床预后无显著相关性。结论:在本研究中,我们证明了在液体活检的CTCs中,CYP3A5 A6986G中的GG基因型与化疗药物的代谢和消除有关,影响更长的DFS。这些发现证实了非侵入性生物样本中循环生物标志物与加强DLBCL预后的相关性。
本文章由计算机程序翻译,如有差异,请以英文原文为准。

<i>CYP3A5</i> Polymorphism in Circulating Tumor Cells Confers an Increased Disease-Free Survival in DLBCL Patients Treated with R-CHOP.

<i>CYP3A5</i> Polymorphism in Circulating Tumor Cells Confers an Increased Disease-Free Survival in DLBCL Patients Treated with R-CHOP.

<i>CYP3A5</i> Polymorphism in Circulating Tumor Cells Confers an Increased Disease-Free Survival in DLBCL Patients Treated with R-CHOP.

CYP3A5 Polymorphism in Circulating Tumor Cells Confers an Increased Disease-Free Survival in DLBCL Patients Treated with R-CHOP.

Purpose: Diffuse Large B-Cell Lymphoma (DLBCL) is a heterogeneous aggressive lymphoid neoplasm. Cases of refractoriness and relapse persist in approximately 40% of patients treated with first-line R-CHOP regimen, thus, the identification of factors associated with disease progression have become a necessity. Diverse polymorphisms in genes encoding proteins involved in the metabolism and elimination of chemotherapeutic drugs have been studied as potential causes of treatment failure. In oncology, liquid biopsies have emerged as a non-invasive method for detecting circulating biomarkers, thereby strengthening both diagnosis and prognosis for patients. Therefore, the purpose of this study was to determine polymorphisms in Circulating Tumor Cells (CTCs) to describe the relevance of liquid biopsy in the clinical outcomes of patients with DLBCL.

Patients and methods: We analyzed 102 liquid biopsies of peripheral blood from DLBCL patients, of which CTCs were isolated by density gradient and CD20 immunomagnetic antibodies. Allelic discrimination assays were performed to analyze ABCB1 C3435T, ABCG2 C421A and CYP3A5 A6986G polymorphisms. Overall survival (OS) and disease-free survival (DFS) analysis were performed using Kaplan-Meier curves and risk analysis was performed using Cox regression.

Results: We found that GG genotype of CYP3A5 A6986G was associated with a longer DFS (68.6% vs 49%, p=0.019) and lower risk of course with adverse event related to disease (progression, relapse and death) (OR 0.374, CI 0.187-0.745, p=0.011). No significant associations were found between ABCB1 C3435T and ABCG2 C421A genotype with the clinical outcome.

Conclusion: In this study, we demonstrated that in CTCs derived from liquid biopsies, the GG genotype in the CYP3A5 A6986G, which is related to the metabolism and elimination of chemotherapy drugs, impacts in longer DFS. These findings confirm the relevance of circulating biomarkers in non-invasive biological samples for strengthening the prognosis of DLBCL.

求助全文
通过发布文献求助,成功后即可免费获取论文全文。 去求助
来源期刊
OncoTargets and therapy
OncoTargets and therapy BIOTECHNOLOGY & APPLIED MICROBIOLOGY-ONCOLOGY
CiteScore
9.70
自引率
0.00%
发文量
221
审稿时长
1 months
期刊介绍: OncoTargets and Therapy is an international, peer-reviewed journal focusing on molecular aspects of cancer research, that is, the molecular diagnosis of and targeted molecular or precision therapy for all types of cancer. The journal is characterized by the rapid reporting of high-quality original research, basic science, reviews and evaluations, expert opinion and commentary that shed novel insight on a cancer or cancer subtype. Specific topics covered by the journal include: -Novel therapeutic targets and innovative agents -Novel therapeutic regimens for improved benefit and/or decreased side effects -Early stage clinical trials Further considerations when submitting to OncoTargets and Therapy: -Studies containing in vivo animal model data will be considered favorably. -Tissue microarray analyses will not be considered except in cases where they are supported by comprehensive biological studies involving multiple cell lines. -Biomarker association studies will be considered only when validated by comprehensive in vitro data and analysis of human tissue samples. -Studies utilizing publicly available data (e.g. GWAS/TCGA/GEO etc.) should add to the body of knowledge about a specific disease or relevant phenotype and must be validated using the authors’ own data through replication in an independent sample set and functional follow-up. -Bioinformatics studies must be validated using the authors’ own data through replication in an independent sample set and functional follow-up. -Single nucleotide polymorphism (SNP) studies will not be considered.
×
引用
GB/T 7714-2015
复制
MLA
复制
APA
复制
导出至
BibTeX EndNote RefMan NoteFirst NoteExpress
×
提示
您的信息不完整,为了账户安全,请先补充。
现在去补充
×
提示
您因"违规操作"
具体请查看互助需知
我知道了
×
提示
确定
请完成安全验证×
copy
已复制链接
快去分享给好友吧!
我知道了
右上角分享
点击右上角分享
0
联系我们:info@booksci.cn Book学术提供免费学术资源搜索服务,方便国内外学者检索中英文文献。致力于提供最便捷和优质的服务体验。 Copyright © 2023 布克学术 All rights reserved.
京ICP备2023020795号-1
ghs 京公网安备 11010802042870号
Book学术文献互助
Book学术文献互助群
群 号:604180095
Book学术官方微信