既往肥胖对2型糖尿病患者当前脂联素水平和死亡率的持续影响

IF 2.4 4区 医学 Q2 MEDICINE, GENERAL & INTERNAL
Min-Ji Kim, Sung-Woo Kim, Bitna Ha, Hyang Sook Kim, So-Hee Kwon, Jonghwa Jin, Yeon-Kyung Choi, Keun-Gyu Park, Jung Guk Kim, In-Kyu Lee, Jae-Han Jeon
{"title":"既往肥胖对2型糖尿病患者当前脂联素水平和死亡率的持续影响","authors":"Min-Ji Kim, Sung-Woo Kim, Bitna Ha, Hyang Sook Kim, So-Hee Kwon, Jonghwa Jin, Yeon-Kyung Choi, Keun-Gyu Park, Jung Guk Kim, In-Kyu Lee, Jae-Han Jeon","doi":"10.3904/kjim.2024.221","DOIUrl":null,"url":null,"abstract":"<p><strong>Background/aims: </strong>Adiponectin, a hormone primarily produced by adipocytes, typically shows an inverse relationship with body mass index (BMI). However, some studies have reported a positive correlation between the two. Thus, this study aimed to examine the relationship between adiponectin level and BMI in diabetic patients, focusing on the impact of past obesity on current adiponectin levels.</p><p><strong>Methods: </strong>We conducted an observational study analyzing data from 323 diabetic patients at Kyungpook National University Hospital. Based on past and current BMIs, participants were categorized into never-obese (nn, n = 106), previously obese (on, n = 43), and persistently obese (oo, n = 73) groups based on a BMI threshold of 25 kg/m2. Adiponectin level and BMI were key variables. Kaplan-Meier analysis assessed their impact on all-cause mortality up to August 2023, with survival differences based on adiponectin quartiles and follow-up starting from patient enrollment (2010-2015).</p><p><strong>Results: </strong>The analysis revealed a significant inverse correlation between adiponectin level and past maximum BMI. The on group exhibited approximately 10% lower adiponectin levels compared to the nn group. This association remained significant after adjusting for current BMI, age, and sex, highlighting the lasting influence of previous obesity on adiponectin levels. Furthermore, survival analysis indicated that patients in the lowest adiponectin quartile had reduced survival, with a statistically significant trend (p = 0.062).</p><p><strong>Conclusion: </strong>Findings of this study suggest that lower adiponectin levels, potentially reflecting past obesity, are associated with decreased survival in diabetic patients, underscoring a critical role of adiponectin in long-term health outcomes.</p>","PeriodicalId":48785,"journal":{"name":"Korean Journal of Internal Medicine","volume":"40 2","pages":"299-309"},"PeriodicalIF":2.4000,"publicationDate":"2025-03-01","publicationTypes":"Journal Article","fieldsOfStudy":null,"isOpenAccess":false,"openAccessPdf":"https://www.ncbi.nlm.nih.gov/pmc/articles/PMC11938665/pdf/","citationCount":"0","resultStr":"{\"title\":\"Persistent influence of past obesity on current adiponectin levels and mortality in patients with type 2 diabetes.\",\"authors\":\"Min-Ji Kim, Sung-Woo Kim, Bitna Ha, Hyang Sook Kim, So-Hee Kwon, Jonghwa Jin, Yeon-Kyung Choi, Keun-Gyu Park, Jung Guk Kim, In-Kyu Lee, Jae-Han Jeon\",\"doi\":\"10.3904/kjim.2024.221\",\"DOIUrl\":null,\"url\":null,\"abstract\":\"<p><strong>Background/aims: </strong>Adiponectin, a hormone primarily produced by adipocytes, typically shows an inverse relationship with body mass index (BMI). However, some studies have reported a positive correlation between the two. Thus, this study aimed to examine the relationship between adiponectin level and BMI in diabetic patients, focusing on the impact of past obesity on current adiponectin levels.</p><p><strong>Methods: </strong>We conducted an observational study analyzing data from 323 diabetic patients at Kyungpook National University Hospital. Based on past and current BMIs, participants were categorized into never-obese (nn, n = 106), previously obese (on, n = 43), and persistently obese (oo, n = 73) groups based on a BMI threshold of 25 kg/m2. Adiponectin level and BMI were key variables. Kaplan-Meier analysis assessed their impact on all-cause mortality up to August 2023, with survival differences based on adiponectin quartiles and follow-up starting from patient enrollment (2010-2015).</p><p><strong>Results: </strong>The analysis revealed a significant inverse correlation between adiponectin level and past maximum BMI. The on group exhibited approximately 10% lower adiponectin levels compared to the nn group. This association remained significant after adjusting for current BMI, age, and sex, highlighting the lasting influence of previous obesity on adiponectin levels. Furthermore, survival analysis indicated that patients in the lowest adiponectin quartile had reduced survival, with a statistically significant trend (p = 0.062).</p><p><strong>Conclusion: </strong>Findings of this study suggest that lower adiponectin levels, potentially reflecting past obesity, are associated with decreased survival in diabetic patients, underscoring a critical role of adiponectin in long-term health outcomes.</p>\",\"PeriodicalId\":48785,\"journal\":{\"name\":\"Korean Journal of Internal Medicine\",\"volume\":\"40 2\",\"pages\":\"299-309\"},\"PeriodicalIF\":2.4000,\"publicationDate\":\"2025-03-01\",\"publicationTypes\":\"Journal Article\",\"fieldsOfStudy\":null,\"isOpenAccess\":false,\"openAccessPdf\":\"https://www.ncbi.nlm.nih.gov/pmc/articles/PMC11938665/pdf/\",\"citationCount\":\"0\",\"resultStr\":null,\"platform\":\"Semanticscholar\",\"paperid\":null,\"PeriodicalName\":\"Korean Journal of Internal Medicine\",\"FirstCategoryId\":\"3\",\"ListUrlMain\":\"https://doi.org/10.3904/kjim.2024.221\",\"RegionNum\":4,\"RegionCategory\":\"医学\",\"ArticlePicture\":[],\"TitleCN\":null,\"AbstractTextCN\":null,\"PMCID\":null,\"EPubDate\":\"\",\"PubModel\":\"\",\"JCR\":\"Q2\",\"JCRName\":\"MEDICINE, GENERAL & INTERNAL\",\"Score\":null,\"Total\":0}","platform":"Semanticscholar","paperid":null,"PeriodicalName":"Korean Journal of Internal Medicine","FirstCategoryId":"3","ListUrlMain":"https://doi.org/10.3904/kjim.2024.221","RegionNum":4,"RegionCategory":"医学","ArticlePicture":[],"TitleCN":null,"AbstractTextCN":null,"PMCID":null,"EPubDate":"","PubModel":"","JCR":"Q2","JCRName":"MEDICINE, GENERAL & INTERNAL","Score":null,"Total":0}
引用次数: 0

摘要

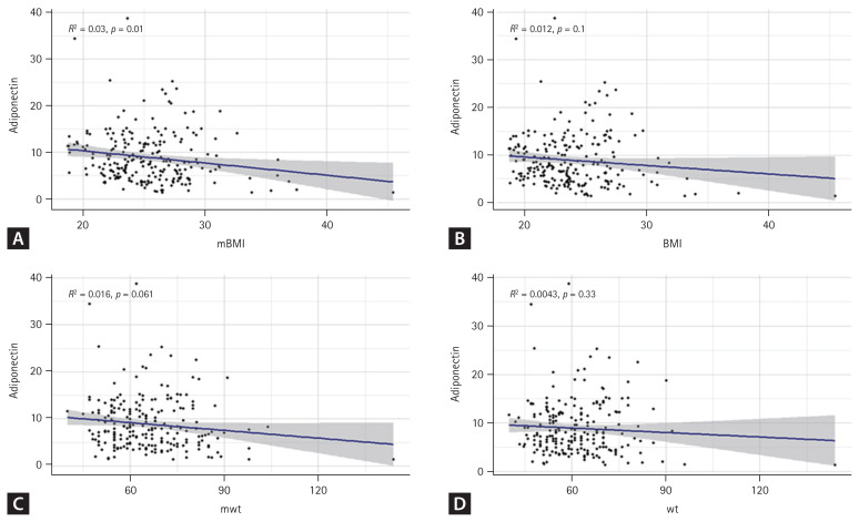
背景/目的:脂联素是一种主要由脂肪细胞产生的激素,通常与体重指数(BMI)呈反向关系。然而,一些研究报告称两者之间存在正相关。因此,本研究旨在探讨糖尿病患者体内的脂肪连通素水平与体重指数之间的关系,重点关注既往肥胖对当前脂肪连通素水平的影响:我们进行了一项观察性研究,分析了庆北国立大学医院 323 名糖尿病患者的数据。根据过去和现在的体重指数,以 25 kg/m2 的体重指数阈值为基础,将参与者分为从未肥胖组(nn,n = 106)、既往肥胖组(on,n = 43)和持续肥胖组(oo,n = 73)。脂肪连接蛋白水平和体重指数是关键变量。Kaplan-Meier分析评估了它们对截至2023年8月的全因死亡率的影响,生存率差异基于脂肪连接蛋白四分位数和从患者入组(2010-2015年)开始的随访:分析结果显示,脂肪连接蛋白水平与过去最大体重指数之间存在明显的反相关性。与nn组相比,on组的脂肪连蛋白水平低约10%。在对当前体重指数、年龄和性别进行调整后,这种相关性仍很明显,这凸显了之前的肥胖对脂肪连接蛋白水平的持久影响。此外,生存分析表明,脂肪连接蛋白最低的四分位组患者生存率降低,且有统计学意义的趋势(p = 0.062):本研究结果表明,较低的脂肪连接蛋白水平可能反映了过去的肥胖,与糖尿病患者生存率的降低有关,突出了脂肪连接蛋白在长期健康结果中的关键作用。
本文章由计算机程序翻译,如有差异,请以英文原文为准。

Persistent influence of past obesity on current adiponectin levels and mortality in patients with type 2 diabetes.

Persistent influence of past obesity on current adiponectin levels and mortality in patients with type 2 diabetes.

Persistent influence of past obesity on current adiponectin levels and mortality in patients with type 2 diabetes.

Persistent influence of past obesity on current adiponectin levels and mortality in patients with type 2 diabetes.

Background/aims: Adiponectin, a hormone primarily produced by adipocytes, typically shows an inverse relationship with body mass index (BMI). However, some studies have reported a positive correlation between the two. Thus, this study aimed to examine the relationship between adiponectin level and BMI in diabetic patients, focusing on the impact of past obesity on current adiponectin levels.

Methods: We conducted an observational study analyzing data from 323 diabetic patients at Kyungpook National University Hospital. Based on past and current BMIs, participants were categorized into never-obese (nn, n = 106), previously obese (on, n = 43), and persistently obese (oo, n = 73) groups based on a BMI threshold of 25 kg/m2. Adiponectin level and BMI were key variables. Kaplan-Meier analysis assessed their impact on all-cause mortality up to August 2023, with survival differences based on adiponectin quartiles and follow-up starting from patient enrollment (2010-2015).

Results: The analysis revealed a significant inverse correlation between adiponectin level and past maximum BMI. The on group exhibited approximately 10% lower adiponectin levels compared to the nn group. This association remained significant after adjusting for current BMI, age, and sex, highlighting the lasting influence of previous obesity on adiponectin levels. Furthermore, survival analysis indicated that patients in the lowest adiponectin quartile had reduced survival, with a statistically significant trend (p = 0.062).

Conclusion: Findings of this study suggest that lower adiponectin levels, potentially reflecting past obesity, are associated with decreased survival in diabetic patients, underscoring a critical role of adiponectin in long-term health outcomes.

求助全文
通过发布文献求助,成功后即可免费获取论文全文。 去求助
来源期刊
Korean Journal of Internal Medicine
Korean Journal of Internal Medicine MEDICINE, GENERAL & INTERNAL-
CiteScore
5.10
自引率
4.20%
发文量
129
审稿时长
20 weeks
期刊介绍: The Korean Journal of Internal Medicine is an international medical journal published in English by the Korean Association of Internal Medicine. The Journal publishes peer-reviewed original articles, reviews, and editorials on all aspects of medicine, including clinical investigations and basic research. Both human and experimental animal studies are welcome, as are new findings on the epidemiology, pathogenesis, diagnosis, and treatment of diseases. Case reports will be published only in exceptional circumstances, when they illustrate a rare occurrence of clinical importance. Letters to the editor are encouraged for specific comments on published articles and general viewpoints.
×
引用
GB/T 7714-2015
复制
MLA
复制
APA
复制
导出至
BibTeX EndNote RefMan NoteFirst NoteExpress
×
提示
您的信息不完整,为了账户安全,请先补充。
现在去补充
×
提示
您因"违规操作"
具体请查看互助需知
我知道了
×
提示
确定
请完成安全验证×
copy
已复制链接
快去分享给好友吧!
我知道了
右上角分享
点击右上角分享
0
联系我们:info@booksci.cn Book学术提供免费学术资源搜索服务,方便国内外学者检索中英文文献。致力于提供最便捷和优质的服务体验。 Copyright © 2023 布克学术 All rights reserved.
京ICP备2023020795号-1
ghs 京公网安备 11010802042870号
Book学术文献互助
Book学术文献互助群
群 号:604180095
Book学术官方微信