基于磁珠的夹心形免疫复合物,用于快速灵敏地检测 SOX2 蛋白。

IF 1.4 4区 化学 Q3 CHEMISTRY, MULTIDISCIPLINARY
Turkish Journal of Chemistry Pub Date : 2024-12-16 eCollection Date: 2025-01-01 DOI:10.55730/1300-0527.3712
Göksu Özçelikay Akyildiz, Mehmet Altay Ünal, Seçil Gülden, Sibel A Özkan
{"title":"基于磁珠的夹心形免疫复合物,用于快速灵敏地检测 SOX2 蛋白。","authors":"Göksu Özçelikay Akyildiz, Mehmet Altay Ünal, Seçil Gülden, Sibel A Özkan","doi":"10.55730/1300-0527.3712","DOIUrl":null,"url":null,"abstract":"<p><p>Sex-Determining Region Y-box 2 (SOX2) is a transcription factor protein. SOX2 expression is related to lymph node metastasis and distant metastasis in colorectal carcinomas. SOX2 was determined with the first magnetic disposable immunoplatform. The designed sandwich-shaped immune complexes were formed by a capture antibody, SOX2 protein, and biotinylated secondary antibodies (dAb/HRP). The sandwich-shaped immune complex was linked to carboxylic acid functionalized magnetic beads (HOOC-MBs). This magnetic bioconjugate was dropped on the surface of the screen-printed carbon electrode (SPCE). The amperometric measurement was performed at -0.20 V in the presence of hydroquinone (HQ) and H<sub>2</sub>O<sub>2</sub> against a silver pseudo-reference electrode. The optimization parameters affecting the immunoassay response were evaluated. The analytical evaluation of the magnetic disposable immunoplatform for the amperometric detection of SOX2 standards was done. The developed immunosensor shows high sensitivity (LOD of 1.37 ng mL<sup>-1</sup>) and a short analysis time (15 min). Potential interfering compounds found in serum samples were tested. The storage stability of magnetic disposable immunoplatform was evaluated. The developed immunosensor was compared with the ELISA method.</p>","PeriodicalId":23367,"journal":{"name":"Turkish Journal of Chemistry","volume":"49 1","pages":"79-88"},"PeriodicalIF":1.4000,"publicationDate":"2024-12-16","publicationTypes":"Journal Article","fieldsOfStudy":null,"isOpenAccess":false,"openAccessPdf":"https://www.ncbi.nlm.nih.gov/pmc/articles/PMC11913366/pdf/","citationCount":"0","resultStr":"{\"title\":\"The magnetic beads-based sandwich-shaped immune complexes for rapid and sensitive amperometric detection of SOX2 protein.\",\"authors\":\"Göksu Özçelikay Akyildiz, Mehmet Altay Ünal, Seçil Gülden, Sibel A Özkan\",\"doi\":\"10.55730/1300-0527.3712\",\"DOIUrl\":null,\"url\":null,\"abstract\":\"<p><p>Sex-Determining Region Y-box 2 (SOX2) is a transcription factor protein. SOX2 expression is related to lymph node metastasis and distant metastasis in colorectal carcinomas. SOX2 was determined with the first magnetic disposable immunoplatform. The designed sandwich-shaped immune complexes were formed by a capture antibody, SOX2 protein, and biotinylated secondary antibodies (dAb/HRP). The sandwich-shaped immune complex was linked to carboxylic acid functionalized magnetic beads (HOOC-MBs). This magnetic bioconjugate was dropped on the surface of the screen-printed carbon electrode (SPCE). The amperometric measurement was performed at -0.20 V in the presence of hydroquinone (HQ) and H<sub>2</sub>O<sub>2</sub> against a silver pseudo-reference electrode. The optimization parameters affecting the immunoassay response were evaluated. The analytical evaluation of the magnetic disposable immunoplatform for the amperometric detection of SOX2 standards was done. The developed immunosensor shows high sensitivity (LOD of 1.37 ng mL<sup>-1</sup>) and a short analysis time (15 min). Potential interfering compounds found in serum samples were tested. The storage stability of magnetic disposable immunoplatform was evaluated. The developed immunosensor was compared with the ELISA method.</p>\",\"PeriodicalId\":23367,\"journal\":{\"name\":\"Turkish Journal of Chemistry\",\"volume\":\"49 1\",\"pages\":\"79-88\"},\"PeriodicalIF\":1.4000,\"publicationDate\":\"2024-12-16\",\"publicationTypes\":\"Journal Article\",\"fieldsOfStudy\":null,\"isOpenAccess\":false,\"openAccessPdf\":\"https://www.ncbi.nlm.nih.gov/pmc/articles/PMC11913366/pdf/\",\"citationCount\":\"0\",\"resultStr\":null,\"platform\":\"Semanticscholar\",\"paperid\":null,\"PeriodicalName\":\"Turkish Journal of Chemistry\",\"FirstCategoryId\":\"92\",\"ListUrlMain\":\"https://doi.org/10.55730/1300-0527.3712\",\"RegionNum\":4,\"RegionCategory\":\"化学\",\"ArticlePicture\":[],\"TitleCN\":null,\"AbstractTextCN\":null,\"PMCID\":null,\"EPubDate\":\"2025/1/1 0:00:00\",\"PubModel\":\"eCollection\",\"JCR\":\"Q3\",\"JCRName\":\"CHEMISTRY, MULTIDISCIPLINARY\",\"Score\":null,\"Total\":0}","platform":"Semanticscholar","paperid":null,"PeriodicalName":"Turkish Journal of Chemistry","FirstCategoryId":"92","ListUrlMain":"https://doi.org/10.55730/1300-0527.3712","RegionNum":4,"RegionCategory":"化学","ArticlePicture":[],"TitleCN":null,"AbstractTextCN":null,"PMCID":null,"EPubDate":"2025/1/1 0:00:00","PubModel":"eCollection","JCR":"Q3","JCRName":"CHEMISTRY, MULTIDISCIPLINARY","Score":null,"Total":0}
引用次数: 0

摘要

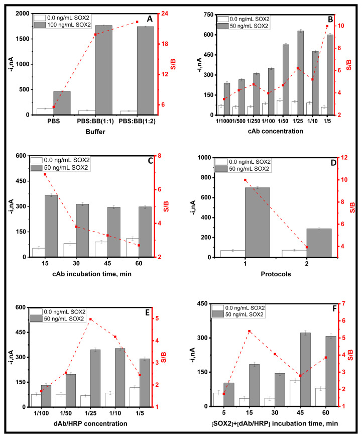
性别决定区Y-box 2 (SOX2)是一种转录因子蛋白。SOX2表达与结直肠癌淋巴结转移和远处转移有关。用第一个磁性一次性免疫平台测定SOX2。所设计的三明治状免疫复合物由捕获抗体、SOX2蛋白和生物素化二抗(dAb/HRP)组成。三明治形状的免疫复合物与羧酸功能化磁珠(hooc - mb)相连。将这种磁性生物偶联物滴在丝网印刷碳电极(SPCE)表面。在对苯二酚(HQ)和H2O2存在下,在-0.20 V下对银伪参比电极进行安培测量。评价了影响免疫测定反应的优化参数。对一次性磁性免疫平台用于SOX2标准品的安培检测进行了分析评价。该免疫传感器灵敏度高(LOD为1.37 ng mL-1),分析时间短(15 min)。测试了血清样本中发现的潜在干扰化合物。评价磁性一次性免疫平台的贮存稳定性。将所研制的免疫传感器与ELISA法进行比较。
本文章由计算机程序翻译,如有差异,请以英文原文为准。

The magnetic beads-based sandwich-shaped immune complexes for rapid and sensitive amperometric detection of SOX2 protein.

The magnetic beads-based sandwich-shaped immune complexes for rapid and sensitive amperometric detection of SOX2 protein.

The magnetic beads-based sandwich-shaped immune complexes for rapid and sensitive amperometric detection of SOX2 protein.

The magnetic beads-based sandwich-shaped immune complexes for rapid and sensitive amperometric detection of SOX2 protein.

Sex-Determining Region Y-box 2 (SOX2) is a transcription factor protein. SOX2 expression is related to lymph node metastasis and distant metastasis in colorectal carcinomas. SOX2 was determined with the first magnetic disposable immunoplatform. The designed sandwich-shaped immune complexes were formed by a capture antibody, SOX2 protein, and biotinylated secondary antibodies (dAb/HRP). The sandwich-shaped immune complex was linked to carboxylic acid functionalized magnetic beads (HOOC-MBs). This magnetic bioconjugate was dropped on the surface of the screen-printed carbon electrode (SPCE). The amperometric measurement was performed at -0.20 V in the presence of hydroquinone (HQ) and H2O2 against a silver pseudo-reference electrode. The optimization parameters affecting the immunoassay response were evaluated. The analytical evaluation of the magnetic disposable immunoplatform for the amperometric detection of SOX2 standards was done. The developed immunosensor shows high sensitivity (LOD of 1.37 ng mL-1) and a short analysis time (15 min). Potential interfering compounds found in serum samples were tested. The storage stability of magnetic disposable immunoplatform was evaluated. The developed immunosensor was compared with the ELISA method.

求助全文
通过发布文献求助,成功后即可免费获取论文全文。 去求助
来源期刊
Turkish Journal of Chemistry
Turkish Journal of Chemistry 化学-工程:化工
CiteScore
2.40
自引率
7.10%
发文量
87
审稿时长
3 months
期刊介绍: The Turkish Journal of Chemistry is a bimonthly multidisciplinary journal published by the Scientific and Technological Research Council of Turkey (TÜBİTAK). The journal is dedicated to dissemination of knowledge in all disciplines of chemistry (organic, inorganic, physical, polymeric, technical, theoretical and analytical chemistry) as well as research at the interface with other sciences especially in chemical engineering where molecular aspects are key to the findings. The journal accepts English-language original manuscripts and contribution is open to researchers of all nationalities. The journal publishes refereed original papers, reviews, letters to editor and issues devoted to special fields. All manuscripts are peer-reviewed and electronic processing ensures accurate reproduction of text and data, plus publication times as short as possible.
×
引用
GB/T 7714-2015
复制
MLA
复制
APA
复制
导出至
BibTeX EndNote RefMan NoteFirst NoteExpress
×
提示
您的信息不完整,为了账户安全,请先补充。
现在去补充
×
提示
您因"违规操作"
具体请查看互助需知
我知道了
×
提示
确定
请完成安全验证×
copy
已复制链接
快去分享给好友吧!
我知道了
右上角分享
点击右上角分享
0
联系我们:info@booksci.cn Book学术提供免费学术资源搜索服务,方便国内外学者检索中英文文献。致力于提供最便捷和优质的服务体验。 Copyright © 2023 布克学术 All rights reserved.
京ICP备2023020795号-1
ghs 京公网安备 11010802042870号
Book学术文献互助
Book学术文献互助群
群 号:604180095
Book学术官方微信