预处理外周血N/CD4和N/CD8比值对食管癌放疗疗效的预测价值。

IF 2.2 4区 医学 Q3 ONCOLOGY
Radiology and Oncology Pub Date : 2025-03-19 eCollection Date: 2025-06-01 DOI:10.2478/raon-2025-0015
Yu-Rong Jiang, Yu-Ting Su, Jing Hu, Yan Ding, Lu Wang, Zi-Yu Wang, Wan-Ying Sheng, Yi-Xu Fan, Liang-Mei Chu, Yu-Fei Yang, Yi Wen, Miao Han, Si-Yuan Zhou, Chun-Hua Dai, Xu Wang
{"title":"预处理外周血N/CD4和N/CD8比值对食管癌放疗疗效的预测价值。","authors":"Yu-Rong Jiang, Yu-Ting Su, Jing Hu, Yan Ding, Lu Wang, Zi-Yu Wang, Wan-Ying Sheng, Yi-Xu Fan, Liang-Mei Chu, Yu-Fei Yang, Yi Wen, Miao Han, Si-Yuan Zhou, Chun-Hua Dai, Xu Wang","doi":"10.2478/raon-2025-0015","DOIUrl":null,"url":null,"abstract":"<p><strong>Background: </strong>This study aimed to explore the predictive value of pretreatment peripheral blood immune cell subsets in analyzing the outcomes of patients who underwent radiation therapy for esophageal cancer at their first visit.</p><p><strong>Patients and methods: </strong>This study included 72 patients with esophageal cancer (EC) treated at Jiangsu University Hospital from December 2021 to December 2023. Among them, 48 were males and 24 were females, with a median age of 64 years (range: 52-98 years). Comprehensive clinical data, laboratory results, and imaging findings were collected to analyze survival differences. The log-rank test was used for univariate analysis to assess the sensitivity of these patients to radiotherapy. The statistically significant and clinically relevant factors identified from the univariate analysis were subsequently incorporated into a Cox proportional hazards regression model for multivariate analysis to investigate the associations between pretreatment peripheral blood immune cell subsets and patient survival.</p><p><strong>Results: </strong>Univariate Cox regression analysis revealed that the Eastern Cooperative Oncology Group (ECOG) score, CD4<sup>+</sup> T-cell ratio, neutrophil-to-CD4<sup>+</sup> T-cell ratio (N/CD4), neutrophil-to-CD8<sup>+</sup> T-cell ratio (N/CD8), and neutrophil-to-B-cell ratio (N/B) were significantly correlated with survival outcomes in patients receiving radiotherapy for tumors. Furthermore, multivariate Cox regression analysis identified N/CD4<sup>+</sup> T cells and N/CD8<sup>+</sup> T cells as critical prognostic indicators for these patients. Receiver operating characteristic curve analysis was employed to evaluate the work characteristics of the subjects, resulting in area under the curve values of 0.763 for both N/CD4 and N/CD8. The analysis also revealed that the optimal cutoff values for N/CD4<sup>+</sup> T cells and N/CD8<sup>+</sup> T cells were 0.01053329 and 0.01184294, respectively.</p><p><strong>Conclusions: </strong>N/CD4 and N/CD8 have emerged as viable prognostic predictors for patients undergoing radiotherapy for EC, offering valuable insights for clinicians to strategize further treatment options. However, the retrospective nature of this study introduces potential bias in assessment, underscoring the necessity for large-scale, prospective, randomized controlled trials to substantiate and validate these findings.</p>","PeriodicalId":21034,"journal":{"name":"Radiology and Oncology","volume":" ","pages":"257-266"},"PeriodicalIF":2.2000,"publicationDate":"2025-03-19","publicationTypes":"Journal Article","fieldsOfStudy":null,"isOpenAccess":false,"openAccessPdf":"https://www.ncbi.nlm.nih.gov/pmc/articles/PMC12182932/pdf/","citationCount":"0","resultStr":"{\"title\":\"Predictive value of pretreatment peripheral blood N/CD4 and N/CD8 ratios for the efficacy of radiotherapy for esophageal cancer.\",\"authors\":\"Yu-Rong Jiang, Yu-Ting Su, Jing Hu, Yan Ding, Lu Wang, Zi-Yu Wang, Wan-Ying Sheng, Yi-Xu Fan, Liang-Mei Chu, Yu-Fei Yang, Yi Wen, Miao Han, Si-Yuan Zhou, Chun-Hua Dai, Xu Wang\",\"doi\":\"10.2478/raon-2025-0015\",\"DOIUrl\":null,\"url\":null,\"abstract\":\"<p><strong>Background: </strong>This study aimed to explore the predictive value of pretreatment peripheral blood immune cell subsets in analyzing the outcomes of patients who underwent radiation therapy for esophageal cancer at their first visit.</p><p><strong>Patients and methods: </strong>This study included 72 patients with esophageal cancer (EC) treated at Jiangsu University Hospital from December 2021 to December 2023. Among them, 48 were males and 24 were females, with a median age of 64 years (range: 52-98 years). Comprehensive clinical data, laboratory results, and imaging findings were collected to analyze survival differences. The log-rank test was used for univariate analysis to assess the sensitivity of these patients to radiotherapy. The statistically significant and clinically relevant factors identified from the univariate analysis were subsequently incorporated into a Cox proportional hazards regression model for multivariate analysis to investigate the associations between pretreatment peripheral blood immune cell subsets and patient survival.</p><p><strong>Results: </strong>Univariate Cox regression analysis revealed that the Eastern Cooperative Oncology Group (ECOG) score, CD4<sup>+</sup> T-cell ratio, neutrophil-to-CD4<sup>+</sup> T-cell ratio (N/CD4), neutrophil-to-CD8<sup>+</sup> T-cell ratio (N/CD8), and neutrophil-to-B-cell ratio (N/B) were significantly correlated with survival outcomes in patients receiving radiotherapy for tumors. Furthermore, multivariate Cox regression analysis identified N/CD4<sup>+</sup> T cells and N/CD8<sup>+</sup> T cells as critical prognostic indicators for these patients. Receiver operating characteristic curve analysis was employed to evaluate the work characteristics of the subjects, resulting in area under the curve values of 0.763 for both N/CD4 and N/CD8. The analysis also revealed that the optimal cutoff values for N/CD4<sup>+</sup> T cells and N/CD8<sup>+</sup> T cells were 0.01053329 and 0.01184294, respectively.</p><p><strong>Conclusions: </strong>N/CD4 and N/CD8 have emerged as viable prognostic predictors for patients undergoing radiotherapy for EC, offering valuable insights for clinicians to strategize further treatment options. However, the retrospective nature of this study introduces potential bias in assessment, underscoring the necessity for large-scale, prospective, randomized controlled trials to substantiate and validate these findings.</p>\",\"PeriodicalId\":21034,\"journal\":{\"name\":\"Radiology and Oncology\",\"volume\":\" \",\"pages\":\"257-266\"},\"PeriodicalIF\":2.2000,\"publicationDate\":\"2025-03-19\",\"publicationTypes\":\"Journal Article\",\"fieldsOfStudy\":null,\"isOpenAccess\":false,\"openAccessPdf\":\"https://www.ncbi.nlm.nih.gov/pmc/articles/PMC12182932/pdf/\",\"citationCount\":\"0\",\"resultStr\":null,\"platform\":\"Semanticscholar\",\"paperid\":null,\"PeriodicalName\":\"Radiology and Oncology\",\"FirstCategoryId\":\"3\",\"ListUrlMain\":\"https://doi.org/10.2478/raon-2025-0015\",\"RegionNum\":4,\"RegionCategory\":\"医学\",\"ArticlePicture\":[],\"TitleCN\":null,\"AbstractTextCN\":null,\"PMCID\":null,\"EPubDate\":\"2025/6/1 0:00:00\",\"PubModel\":\"eCollection\",\"JCR\":\"Q3\",\"JCRName\":\"ONCOLOGY\",\"Score\":null,\"Total\":0}","platform":"Semanticscholar","paperid":null,"PeriodicalName":"Radiology and Oncology","FirstCategoryId":"3","ListUrlMain":"https://doi.org/10.2478/raon-2025-0015","RegionNum":4,"RegionCategory":"医学","ArticlePicture":[],"TitleCN":null,"AbstractTextCN":null,"PMCID":null,"EPubDate":"2025/6/1 0:00:00","PubModel":"eCollection","JCR":"Q3","JCRName":"ONCOLOGY","Score":null,"Total":0}
引用次数: 0

摘要

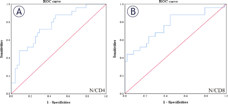
背景:本研究旨在探讨预处理外周血免疫细胞亚群在分析食管癌放疗患者首次就诊时预后的预测价值。患者和方法:本研究纳入了2021年12月至2023年12月在江苏大学附属医院治疗的食管癌(EC)患者72例。其中男性48例,女性24例,年龄中位数64岁(范围52-98岁)。收集全面的临床资料、实验室结果和影像学表现来分析生存差异。采用log-rank检验进行单因素分析,以评估这些患者对放疗的敏感性。从单因素分析中确定的具有统计学意义和临床相关的因素随后被纳入Cox比例风险回归模型进行多因素分析,以研究预处理外周血免疫细胞亚群与患者生存之间的关系。结果:单因素Cox回归分析显示,Eastern Cooperative Oncology Group (ECOG)评分、CD4+ t细胞比值、中性粒细胞与CD4+ t细胞比值(N/CD4)、中性粒细胞与CD8+ t细胞比值(N/CD8)、中性粒细胞与B细胞比值(N/B)与肿瘤放疗患者的生存结局显著相关。此外,多变量Cox回归分析发现N/CD4+ T细胞和N/CD8+ T细胞是这些患者的关键预后指标。采用受试者工作特征曲线分析评价受试者的工作特征,得出N/CD4和N/CD8曲线下面积均为0.763。分析还发现,N/CD4+ T细胞和N/CD8+ T细胞的最佳临界值分别为0.01053329和0.01184294。结论:N/CD4和N/CD8已成为EC放疗患者可行的预后预测指标,为临床医生制定进一步治疗方案提供了有价值的见解。然而,本研究的回顾性性质在评估中引入了潜在的偏倚,强调了进行大规模、前瞻性、随机对照试验来证实和验证这些发现的必要性。
本文章由计算机程序翻译,如有差异,请以英文原文为准。

Predictive value of pretreatment peripheral blood N/CD4 and N/CD8 ratios for the efficacy of radiotherapy for esophageal cancer.

Predictive value of pretreatment peripheral blood N/CD4 and N/CD8 ratios for the efficacy of radiotherapy for esophageal cancer.

Predictive value of pretreatment peripheral blood N/CD4 and N/CD8 ratios for the efficacy of radiotherapy for esophageal cancer.

Predictive value of pretreatment peripheral blood N/CD4 and N/CD8 ratios for the efficacy of radiotherapy for esophageal cancer.

Background: This study aimed to explore the predictive value of pretreatment peripheral blood immune cell subsets in analyzing the outcomes of patients who underwent radiation therapy for esophageal cancer at their first visit.

Patients and methods: This study included 72 patients with esophageal cancer (EC) treated at Jiangsu University Hospital from December 2021 to December 2023. Among them, 48 were males and 24 were females, with a median age of 64 years (range: 52-98 years). Comprehensive clinical data, laboratory results, and imaging findings were collected to analyze survival differences. The log-rank test was used for univariate analysis to assess the sensitivity of these patients to radiotherapy. The statistically significant and clinically relevant factors identified from the univariate analysis were subsequently incorporated into a Cox proportional hazards regression model for multivariate analysis to investigate the associations between pretreatment peripheral blood immune cell subsets and patient survival.

Results: Univariate Cox regression analysis revealed that the Eastern Cooperative Oncology Group (ECOG) score, CD4+ T-cell ratio, neutrophil-to-CD4+ T-cell ratio (N/CD4), neutrophil-to-CD8+ T-cell ratio (N/CD8), and neutrophil-to-B-cell ratio (N/B) were significantly correlated with survival outcomes in patients receiving radiotherapy for tumors. Furthermore, multivariate Cox regression analysis identified N/CD4+ T cells and N/CD8+ T cells as critical prognostic indicators for these patients. Receiver operating characteristic curve analysis was employed to evaluate the work characteristics of the subjects, resulting in area under the curve values of 0.763 for both N/CD4 and N/CD8. The analysis also revealed that the optimal cutoff values for N/CD4+ T cells and N/CD8+ T cells were 0.01053329 and 0.01184294, respectively.

Conclusions: N/CD4 and N/CD8 have emerged as viable prognostic predictors for patients undergoing radiotherapy for EC, offering valuable insights for clinicians to strategize further treatment options. However, the retrospective nature of this study introduces potential bias in assessment, underscoring the necessity for large-scale, prospective, randomized controlled trials to substantiate and validate these findings.

求助全文
通过发布文献求助,成功后即可免费获取论文全文。 去求助
来源期刊
Radiology and Oncology
Radiology and Oncology ONCOLOGY-RADIOLOGY, NUCLEAR MEDICINE & MEDICAL IMAGING
CiteScore
4.40
自引率
0.00%
发文量
42
审稿时长
>12 weeks
期刊介绍: Radiology and Oncology is a multidisciplinary journal devoted to the publishing original and high quality scientific papers and review articles, pertinent to diagnostic and interventional radiology, computerized tomography, magnetic resonance, ultrasound, nuclear medicine, radiotherapy, clinical and experimental oncology, radiobiology, medical physics and radiation protection. Therefore, the scope of the journal is to cover beside radiology the diagnostic and therapeutic aspects in oncology, which distinguishes it from other journals in the field.
×
引用
GB/T 7714-2015
复制
MLA
复制
APA
复制
导出至
BibTeX EndNote RefMan NoteFirst NoteExpress
×
提示
您的信息不完整,为了账户安全,请先补充。
现在去补充
×
提示
您因"违规操作"
具体请查看互助需知
我知道了
×
提示
确定
请完成安全验证×
copy
已复制链接
快去分享给好友吧!
我知道了
右上角分享
点击右上角分享
0
联系我们:info@booksci.cn Book学术提供免费学术资源搜索服务,方便国内外学者检索中英文文献。致力于提供最便捷和优质的服务体验。 Copyright © 2023 布克学术 All rights reserved.
京ICP备2023020795号-1
ghs 京公网安备 11010802042870号
Book学术文献互助
Book学术文献互助群
群 号:604180095
Book学术官方微信