身体特征对性别焦虑的影响:声音的作用。

IF 2.5 3区 医学 Q1 OTORHINOLARYNGOLOGY
Otolaryngology- Head and Neck Surgery Pub Date : 2025-06-01 Epub Date: 2025-03-19 DOI:10.1002/ohn.1207
Serena Pu, Leanne Goldberg, Jennifer Ren, A C Goldberg, Mark Courey
{"title":"身体特征对性别焦虑的影响:声音的作用。","authors":"Serena Pu, Leanne Goldberg, Jennifer Ren, A C Goldberg, Mark Courey","doi":"10.1002/ohn.1207","DOIUrl":null,"url":null,"abstract":"<p><strong>Objective: </strong>Features that cause gender incongruence (gender identity not aligning with assumptions based on sex assigned at birth) in transgender individuals often motivate them to seek out gender-affirming treatments. Voice has rarely been included as a major contributor to gender dysphoria. The primary objective of this study is to understand the significance of dysphoria related to voice compared to dysphoria secondary to other features.</p><p><strong>Study design: </strong>Prospective population-based survey study.</p><p><strong>Setting: </strong>Social media.</p><p><strong>Methods: </strong>The survey requested a ranking of features that contribute to gender dysphoria, whether the features were bothersome due to external or internal perception, and self-reported ideal order for pursuing gender-affirming treatments. The categories of features that were ranked included upper body, lower body, face, neck, voice, and height.</p><p><strong>Results: </strong>In total, 79% of respondents experience gender incongruence secondary to their voice. Voice was the second most important feature contributing to gender dysphoria, only after upper body. In transgender men (29.4%) and transgender women (25%), voice was both the second most important feature contributing to gender dysphoria and the second most important intervention to alleviate gender dysphoria. Specifically, vocal incongruence is largely due to perception by others, as opposed to lower body which contributes to incongruence due to perception by self.</p><p><strong>Conclusion: </strong>Voice is the second most common contributor to gender dysphoria after upper body. Due to self-rated importance of voice to gender incongruence, health care providers must be aware that voice interventions are critical to improve gender dysphoria experienced by transgender individuals.</p>","PeriodicalId":19707,"journal":{"name":"Otolaryngology- Head and Neck Surgery","volume":" ","pages":"2018-2025"},"PeriodicalIF":2.5000,"publicationDate":"2025-06-01","publicationTypes":"Journal Article","fieldsOfStudy":null,"isOpenAccess":false,"openAccessPdf":"https://www.ncbi.nlm.nih.gov/pmc/articles/PMC12120044/pdf/","citationCount":"0","resultStr":"{\"title\":\"Physical Features Contributing to Gender Dysphoria: The Role of Voice.\",\"authors\":\"Serena Pu, Leanne Goldberg, Jennifer Ren, A C Goldberg, Mark Courey\",\"doi\":\"10.1002/ohn.1207\",\"DOIUrl\":null,\"url\":null,\"abstract\":\"<p><strong>Objective: </strong>Features that cause gender incongruence (gender identity not aligning with assumptions based on sex assigned at birth) in transgender individuals often motivate them to seek out gender-affirming treatments. Voice has rarely been included as a major contributor to gender dysphoria. The primary objective of this study is to understand the significance of dysphoria related to voice compared to dysphoria secondary to other features.</p><p><strong>Study design: </strong>Prospective population-based survey study.</p><p><strong>Setting: </strong>Social media.</p><p><strong>Methods: </strong>The survey requested a ranking of features that contribute to gender dysphoria, whether the features were bothersome due to external or internal perception, and self-reported ideal order for pursuing gender-affirming treatments. The categories of features that were ranked included upper body, lower body, face, neck, voice, and height.</p><p><strong>Results: </strong>In total, 79% of respondents experience gender incongruence secondary to their voice. Voice was the second most important feature contributing to gender dysphoria, only after upper body. In transgender men (29.4%) and transgender women (25%), voice was both the second most important feature contributing to gender dysphoria and the second most important intervention to alleviate gender dysphoria. Specifically, vocal incongruence is largely due to perception by others, as opposed to lower body which contributes to incongruence due to perception by self.</p><p><strong>Conclusion: </strong>Voice is the second most common contributor to gender dysphoria after upper body. Due to self-rated importance of voice to gender incongruence, health care providers must be aware that voice interventions are critical to improve gender dysphoria experienced by transgender individuals.</p>\",\"PeriodicalId\":19707,\"journal\":{\"name\":\"Otolaryngology- Head and Neck Surgery\",\"volume\":\" \",\"pages\":\"2018-2025\"},\"PeriodicalIF\":2.5000,\"publicationDate\":\"2025-06-01\",\"publicationTypes\":\"Journal Article\",\"fieldsOfStudy\":null,\"isOpenAccess\":false,\"openAccessPdf\":\"https://www.ncbi.nlm.nih.gov/pmc/articles/PMC12120044/pdf/\",\"citationCount\":\"0\",\"resultStr\":null,\"platform\":\"Semanticscholar\",\"paperid\":null,\"PeriodicalName\":\"Otolaryngology- Head and Neck Surgery\",\"FirstCategoryId\":\"3\",\"ListUrlMain\":\"https://doi.org/10.1002/ohn.1207\",\"RegionNum\":3,\"RegionCategory\":\"医学\",\"ArticlePicture\":[],\"TitleCN\":null,\"AbstractTextCN\":null,\"PMCID\":null,\"EPubDate\":\"2025/3/19 0:00:00\",\"PubModel\":\"Epub\",\"JCR\":\"Q1\",\"JCRName\":\"OTORHINOLARYNGOLOGY\",\"Score\":null,\"Total\":0}","platform":"Semanticscholar","paperid":null,"PeriodicalName":"Otolaryngology- Head and Neck Surgery","FirstCategoryId":"3","ListUrlMain":"https://doi.org/10.1002/ohn.1207","RegionNum":3,"RegionCategory":"医学","ArticlePicture":[],"TitleCN":null,"AbstractTextCN":null,"PMCID":null,"EPubDate":"2025/3/19 0:00:00","PubModel":"Epub","JCR":"Q1","JCRName":"OTORHINOLARYNGOLOGY","Score":null,"Total":0}
引用次数: 0

摘要

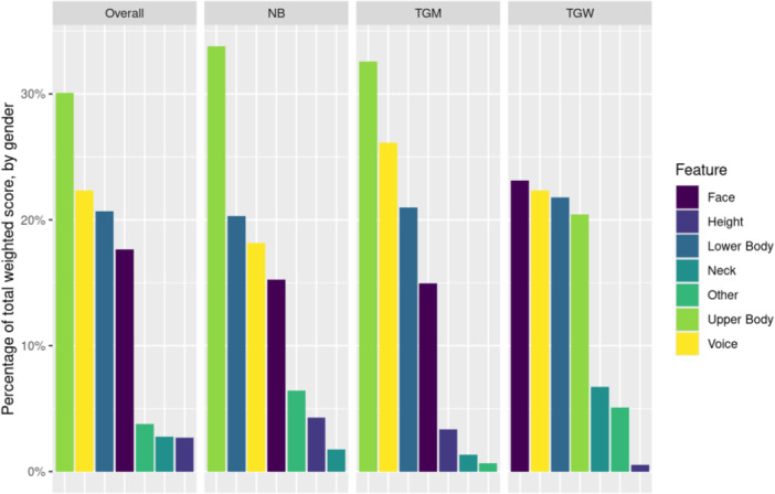
目的:导致变性人性别不一致的特征(性别认同与基于出生性别的假设不一致)通常促使他们寻求性别确认治疗。声音很少被认为是性别焦虑的主要原因。本研究的主要目的是了解与声音相关的焦虑相对于继发于其他特征的焦虑的重要性。研究设计:前瞻性人群调查研究。环境:社交媒体。方法:调查要求对导致性别焦虑的特征进行排序,这些特征是否因外部或内部感知而令人烦恼,以及自我报告的追求性别肯定治疗的理想顺序。排名的特征类别包括上半身、下半身、面部、颈部、声音和身高。结果:总共有79%的受访者经历了性别不一致,其次是他们的声音。声音是导致性别焦虑的第二大因素,仅次于上半身。在跨性别男性(29.4%)和跨性别女性(25%)中,声音是导致性别焦虑的第二大重要特征,也是缓解性别焦虑的第二大重要干预措施。具体来说,声音不一致主要是由于他人的感知,而下半身则是由于自我感知而导致的不一致。结论:声音是继上半身之后第二常见的性别焦虑因素。由于声音对性别不一致的自我评价重要性,卫生保健提供者必须意识到声音干预对于改善跨性别者所经历的性别不安至关重要。
本文章由计算机程序翻译,如有差异,请以英文原文为准。

Physical Features Contributing to Gender Dysphoria: The Role of Voice.

Physical Features Contributing to Gender Dysphoria: The Role of Voice.

Physical Features Contributing to Gender Dysphoria: The Role of Voice.

Physical Features Contributing to Gender Dysphoria: The Role of Voice.

Objective: Features that cause gender incongruence (gender identity not aligning with assumptions based on sex assigned at birth) in transgender individuals often motivate them to seek out gender-affirming treatments. Voice has rarely been included as a major contributor to gender dysphoria. The primary objective of this study is to understand the significance of dysphoria related to voice compared to dysphoria secondary to other features.

Study design: Prospective population-based survey study.

Setting: Social media.

Methods: The survey requested a ranking of features that contribute to gender dysphoria, whether the features were bothersome due to external or internal perception, and self-reported ideal order for pursuing gender-affirming treatments. The categories of features that were ranked included upper body, lower body, face, neck, voice, and height.

Results: In total, 79% of respondents experience gender incongruence secondary to their voice. Voice was the second most important feature contributing to gender dysphoria, only after upper body. In transgender men (29.4%) and transgender women (25%), voice was both the second most important feature contributing to gender dysphoria and the second most important intervention to alleviate gender dysphoria. Specifically, vocal incongruence is largely due to perception by others, as opposed to lower body which contributes to incongruence due to perception by self.

Conclusion: Voice is the second most common contributor to gender dysphoria after upper body. Due to self-rated importance of voice to gender incongruence, health care providers must be aware that voice interventions are critical to improve gender dysphoria experienced by transgender individuals.

求助全文
通过发布文献求助,成功后即可免费获取论文全文。 去求助
来源期刊
Otolaryngology- Head and Neck Surgery
Otolaryngology- Head and Neck Surgery 医学-耳鼻喉科学
CiteScore
6.70
自引率
2.90%
发文量
250
审稿时长
2-4 weeks
期刊介绍: Otolaryngology–Head and Neck Surgery (OTO-HNS) is the official peer-reviewed publication of the American Academy of Otolaryngology–Head and Neck Surgery Foundation. The mission of Otolaryngology–Head and Neck Surgery is to publish contemporary, ethical, clinically relevant information in otolaryngology, head and neck surgery (ear, nose, throat, head, and neck disorders) that can be used by otolaryngologists, clinicians, scientists, and specialists to improve patient care and public health.
×
引用
GB/T 7714-2015
复制
MLA
复制
APA
复制
导出至
BibTeX EndNote RefMan NoteFirst NoteExpress
×
提示
您的信息不完整,为了账户安全,请先补充。
现在去补充
×
提示
您因"违规操作"
具体请查看互助需知
我知道了
×
提示
确定
请完成安全验证×
copy
已复制链接
快去分享给好友吧!
我知道了
右上角分享
点击右上角分享
0
联系我们:info@booksci.cn Book学术提供免费学术资源搜索服务,方便国内外学者检索中英文文献。致力于提供最便捷和优质的服务体验。 Copyright © 2023 布克学术 All rights reserved.
京ICP备2023020795号-1
ghs 京公网安备 11010802042870号
Book学术文献互助
Book学术文献互助群
群 号:604180095
Book学术官方微信