青少年冲浪救生员的创伤性事件暴露和羞耻:澳大利亚视角。

IF 2 Q2 FAMILY STUDIES
Journal of Child & Adolescent Trauma Pub Date : 2024-10-10 eCollection Date: 2025-03-01 DOI:10.1007/s40653-024-00662-1
Samantha Fien, Jasmin C Lawes, Jessica Ledger, Ian de Terte, Murray Drummond, Pamela Simon, Nancy Joseph, Shane Daw, Sean Kelly, Wendy Hillman, Robert Stanton, Talitha Best
{"title":"青少年冲浪救生员的创伤性事件暴露和羞耻:澳大利亚视角。","authors":"Samantha Fien, Jasmin C Lawes, Jessica Ledger, Ian de Terte, Murray Drummond, Pamela Simon, Nancy Joseph, Shane Daw, Sean Kelly, Wendy Hillman, Robert Stanton, Talitha Best","doi":"10.1007/s40653-024-00662-1","DOIUrl":null,"url":null,"abstract":"<p><p>Emergency service personnel experience high levels of psychological distress, with increasing evidence of associations with shame and trauma. Additionally, adolescence is a critical time in social and cognitive development, in which shame plays an important role. In Australia, adolescent volunteer surf lifesavers (SLS) are particularly vulnerable due to exposure to potentially traumatic experiences (PTEs) such as rescues and resuscitation of human lives. The aim of this study was to investigate the association between direct or indirect PTEs, and the relationship PTSS and shame may have in adolescent surf lifesavers. This cross-sectional study surveyed patrolling adolescent SLS, aged 13-17 years, recruited via internal communications and social media groups. Complete responses from patrolling adolescents (<i>n</i> = 118; 59% female; mean age 15.4 years) were used to determine exposure to PTEs across global, direct, and within SLS trauma domains. Associations between demographics, PTEs, post-traumatic stress symptoms (PTSS), with shame as a moderator were assessed for each trauma domain. PTEs and PTSS were positively associated across trauma domains. Shame was identified as a significant predictor of PTSS and as an important moderator of PTSS for experiences within SLSA, but not global or direct trauma. By exploring links between PTEs, PTSS, and shame, these findings contribute to the development of strategies and interventions for adolescents during stressful times. Responsiveness to adolescents via feedback and genuine, reassuring relationships that acknowledge the complexity of coping with stressful situations, may be potentially effective approaches to support coping with experiences of shame following PTE's in adolescent surf lifesavers.</p>","PeriodicalId":44763,"journal":{"name":"Journal of Child & Adolescent Trauma","volume":"18 1","pages":"127-137"},"PeriodicalIF":2.0000,"publicationDate":"2024-10-10","publicationTypes":"Journal Article","fieldsOfStudy":null,"isOpenAccess":false,"openAccessPdf":"https://www.ncbi.nlm.nih.gov/pmc/articles/PMC11910483/pdf/","citationCount":"0","resultStr":"{\"title\":\"Exposure to Traumatic Events and Shame in Adolescent Surf Lifesavers: An Australian Perspective.\",\"authors\":\"Samantha Fien, Jasmin C Lawes, Jessica Ledger, Ian de Terte, Murray Drummond, Pamela Simon, Nancy Joseph, Shane Daw, Sean Kelly, Wendy Hillman, Robert Stanton, Talitha Best\",\"doi\":\"10.1007/s40653-024-00662-1\",\"DOIUrl\":null,\"url\":null,\"abstract\":\"<p><p>Emergency service personnel experience high levels of psychological distress, with increasing evidence of associations with shame and trauma. Additionally, adolescence is a critical time in social and cognitive development, in which shame plays an important role. In Australia, adolescent volunteer surf lifesavers (SLS) are particularly vulnerable due to exposure to potentially traumatic experiences (PTEs) such as rescues and resuscitation of human lives. The aim of this study was to investigate the association between direct or indirect PTEs, and the relationship PTSS and shame may have in adolescent surf lifesavers. This cross-sectional study surveyed patrolling adolescent SLS, aged 13-17 years, recruited via internal communications and social media groups. Complete responses from patrolling adolescents (<i>n</i> = 118; 59% female; mean age 15.4 years) were used to determine exposure to PTEs across global, direct, and within SLS trauma domains. Associations between demographics, PTEs, post-traumatic stress symptoms (PTSS), with shame as a moderator were assessed for each trauma domain. PTEs and PTSS were positively associated across trauma domains. Shame was identified as a significant predictor of PTSS and as an important moderator of PTSS for experiences within SLSA, but not global or direct trauma. By exploring links between PTEs, PTSS, and shame, these findings contribute to the development of strategies and interventions for adolescents during stressful times. Responsiveness to adolescents via feedback and genuine, reassuring relationships that acknowledge the complexity of coping with stressful situations, may be potentially effective approaches to support coping with experiences of shame following PTE's in adolescent surf lifesavers.</p>\",\"PeriodicalId\":44763,\"journal\":{\"name\":\"Journal of Child & Adolescent Trauma\",\"volume\":\"18 1\",\"pages\":\"127-137\"},\"PeriodicalIF\":2.0000,\"publicationDate\":\"2024-10-10\",\"publicationTypes\":\"Journal Article\",\"fieldsOfStudy\":null,\"isOpenAccess\":false,\"openAccessPdf\":\"https://www.ncbi.nlm.nih.gov/pmc/articles/PMC11910483/pdf/\",\"citationCount\":\"0\",\"resultStr\":null,\"platform\":\"Semanticscholar\",\"paperid\":null,\"PeriodicalName\":\"Journal of Child & Adolescent Trauma\",\"FirstCategoryId\":\"1085\",\"ListUrlMain\":\"https://doi.org/10.1007/s40653-024-00662-1\",\"RegionNum\":0,\"RegionCategory\":null,\"ArticlePicture\":[],\"TitleCN\":null,\"AbstractTextCN\":null,\"PMCID\":null,\"EPubDate\":\"2025/3/1 0:00:00\",\"PubModel\":\"eCollection\",\"JCR\":\"Q2\",\"JCRName\":\"FAMILY STUDIES\",\"Score\":null,\"Total\":0}","platform":"Semanticscholar","paperid":null,"PeriodicalName":"Journal of Child & Adolescent Trauma","FirstCategoryId":"1085","ListUrlMain":"https://doi.org/10.1007/s40653-024-00662-1","RegionNum":0,"RegionCategory":null,"ArticlePicture":[],"TitleCN":null,"AbstractTextCN":null,"PMCID":null,"EPubDate":"2025/3/1 0:00:00","PubModel":"eCollection","JCR":"Q2","JCRName":"FAMILY STUDIES","Score":null,"Total":0}
引用次数: 0

摘要

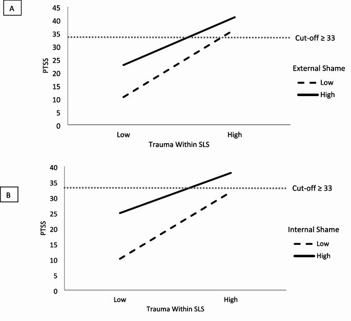
急救服务人员经历高度的心理困扰,并有越来越多的证据表明与羞耻和创伤有关。此外,青春期是社会和认知发展的关键时期,羞耻感在其中起着重要作用。在澳大利亚,青少年志愿者冲浪救生员(SLS)由于暴露于潜在的创伤经历(pte),如拯救和复苏人类生命,特别脆弱。本研究的目的是调查青少年冲浪救生员的直接或间接创伤后应激障碍之间的关系,以及创伤后应激障碍和羞耻感之间的关系。这项横断面研究调查了13-17岁的巡逻青少年SLS,他们是通过内部沟通和社交媒体团体招募的。巡逻青少年的完整回答(n = 118;59%的女性;平均年龄15.4岁),用于确定全球、直接和SLS创伤域内pte暴露情况。在每个创伤领域评估人口统计学、创伤后应激症状、创伤后应激症状(PTSS)与羞耻作为调节因子之间的关联。创伤后应激障碍和创伤后应激障碍在各创伤领域呈正相关。羞耻感被确定为创伤后应激障碍的重要预测因子,并且是SLSA内经历的创伤后应激障碍的重要调节因子,但不是整体或直接创伤。通过探索创伤后应激障碍、创伤后应激障碍和羞耻感之间的联系,这些发现有助于制定应对青少年压力时期的策略和干预措施。通过反馈和真诚、可靠的关系来回应青少年,承认应对压力情况的复杂性,可能是支持青少年冲浪救生员应对PTE后羞耻经历的潜在有效方法。
本文章由计算机程序翻译,如有差异,请以英文原文为准。

Exposure to Traumatic Events and Shame in Adolescent Surf Lifesavers: An Australian Perspective.

Exposure to Traumatic Events and Shame in Adolescent Surf Lifesavers: An Australian Perspective.

Emergency service personnel experience high levels of psychological distress, with increasing evidence of associations with shame and trauma. Additionally, adolescence is a critical time in social and cognitive development, in which shame plays an important role. In Australia, adolescent volunteer surf lifesavers (SLS) are particularly vulnerable due to exposure to potentially traumatic experiences (PTEs) such as rescues and resuscitation of human lives. The aim of this study was to investigate the association between direct or indirect PTEs, and the relationship PTSS and shame may have in adolescent surf lifesavers. This cross-sectional study surveyed patrolling adolescent SLS, aged 13-17 years, recruited via internal communications and social media groups. Complete responses from patrolling adolescents (n = 118; 59% female; mean age 15.4 years) were used to determine exposure to PTEs across global, direct, and within SLS trauma domains. Associations between demographics, PTEs, post-traumatic stress symptoms (PTSS), with shame as a moderator were assessed for each trauma domain. PTEs and PTSS were positively associated across trauma domains. Shame was identified as a significant predictor of PTSS and as an important moderator of PTSS for experiences within SLSA, but not global or direct trauma. By exploring links between PTEs, PTSS, and shame, these findings contribute to the development of strategies and interventions for adolescents during stressful times. Responsiveness to adolescents via feedback and genuine, reassuring relationships that acknowledge the complexity of coping with stressful situations, may be potentially effective approaches to support coping with experiences of shame following PTE's in adolescent surf lifesavers.

求助全文
通过发布文献求助,成功后即可免费获取论文全文。 去求助
来源期刊
CiteScore
3.00
自引率
6.70%
发文量
71
期刊介绍: Underpinned by a biopsychosocial approach, the Journal of Child & Adolescent Trauma presents original research and prevention and treatment strategies for understanding and dealing with symptoms and disorders related to the psychological effects of trauma experienced by children and adolescents during childhood and where the impact of these experiences continues into adulthood. The journal also examines intervention models directed toward the individual, family, and community, new theoretical models and approaches, and public policy proposals and innovations. In addition, the journal promotes rigorous investigation and debate on the human capacity for agency, resilience and longer-term healing in the face of child and adolescent trauma. With a multidisciplinary approach that draws input from the psychological, medical, social work, sociological, public health, legal and education fields, the journal features research, intervention approaches and evidence-based programs, theoretical articles, specific review articles, brief reports and case studies, and commentaries on current and/or controversial topics. The journal also encourages submissions from less heard voices, for example in terms of geography, minority status or service user perspectives. Among the topics examined in the Journal of Child & Adolescent Trauma: The effects of childhood maltreatment Loss, natural disasters, and political conflict Exposure to or victimization from family or community violence Racial, ethnic, gender, sexual orientation or class discrimination Physical injury, diseases, and painful or debilitating medical treatments The impact of poverty, social deprivation and inequality Barriers and facilitators on pathways to recovery The Journal of Child & Adolescent Trauma is an important resource for practitioners, policymakers, researchers, and academics whose work is centered on children exposed to traumatic events and adults exposed to traumatic events as children.
×
引用
GB/T 7714-2015
复制
MLA
复制
APA
复制
导出至
BibTeX EndNote RefMan NoteFirst NoteExpress
×
提示
您的信息不完整,为了账户安全,请先补充。
现在去补充
×
提示
您因"违规操作"
具体请查看互助需知
我知道了
×
提示
确定
请完成安全验证×
copy
已复制链接
快去分享给好友吧!
我知道了
右上角分享
点击右上角分享
0
联系我们:info@booksci.cn Book学术提供免费学术资源搜索服务,方便国内外学者检索中英文文献。致力于提供最便捷和优质的服务体验。 Copyright © 2023 布克学术 All rights reserved.
京ICP备2023020795号-1
ghs 京公网安备 11010802042870号
Book学术文献互助
Book学术文献互助群
群 号:604180095
Book学术官方微信