厚生物莫司a9洗脱支架与薄佐他莫司洗脱支架在多支经皮冠状动脉介入治疗中的比较。

IF 3.1 3区 医学 Q2 CARDIAC & CARDIOVASCULAR SYSTEMS
Korean Circulation Journal Pub Date : 2025-05-01 Epub Date: 2025-02-17 DOI:10.4070/kcj.2024.0101
Cheol Hyun Lee, Hee Jeong Lee, Tae-Wan Chung, Seonhwa Lee, Jongmin Hwang, In-Cheol Kim, Yun-Kyeong Cho, Hyuck-Jun Yoon, Seung-Ho Hur, Jin Young Kim, Yun Seok Kim, Woo Sung Jang, Jang Hoon Lee, Woong Kim, Jin Bae Lee, Young Joon Hong, Jung Ho Heo, Bong-Ryeol Lee, Joon-Hyung Doh, Eun-Seok Shin, Bon-Kwon Koo, Chang-Wook Nam
{"title":"厚生物莫司a9洗脱支架与薄佐他莫司洗脱支架在多支经皮冠状动脉介入治疗中的比较。","authors":"Cheol Hyun Lee, Hee Jeong Lee, Tae-Wan Chung, Seonhwa Lee, Jongmin Hwang, In-Cheol Kim, Yun-Kyeong Cho, Hyuck-Jun Yoon, Seung-Ho Hur, Jin Young Kim, Yun Seok Kim, Woo Sung Jang, Jang Hoon Lee, Woong Kim, Jin Bae Lee, Young Joon Hong, Jung Ho Heo, Bong-Ryeol Lee, Joon-Hyung Doh, Eun-Seok Shin, Bon-Kwon Koo, Chang-Wook Nam","doi":"10.4070/kcj.2024.0101","DOIUrl":null,"url":null,"abstract":"<p><strong>Background and objectives: </strong>There are limited randomized studies on patients undergoing multi-vessel percutaneous coronary intervention (PCI) comparing the outcomes between stent thickness and polymer types. To compare the clinical outcomes of thick biodegradable polymer-based biolimus A9-eluting stents (BESs) and thin durable polymer-based zotarolimus-eluting stents (ZESs) in patients undergoing multi-vessel PCI.</p><p><strong>Methods: </strong>A total of 936 patients who underwent multi-vessel coronary artery stenting were randomly assigned to the BES (n=472) or ZES (n=464) groups. The primary endpoint was 2-year major adverse cardiac events (MACEs), a composite of all-cause death, myocardial infarction (MI), and any revascularization at the 2-year follow-up.</p><p><strong>Results: </strong>Fifty-two (11.2%) of 472 patients in BES group and 50 (10.9%) of the 464 patients in ZES group met the 2-year primary endpoint of MACE (hazard ratio, 1.00; 90% confidence interval, 0.72, 1.38; p=0.994). All-cause death (BES vs. ZES: 2.8% vs. 2.7%, p=0.758), MI (2.1% vs. 2.6%, p=0.483), and repeat revascularization (6.7% vs. 6.9%, p=0.876) were not significantly different between the 2 groups. Although there was no significant outcome difference in any subgroup analysis, the technical failure rate leading to the use of other stents was higher in BES than in ZES (3.2% vs. 0.9%, p=0.023).</p><p><strong>Conclusions: </strong>In patients who underwent multi-vessel PCI, BES and ZES showed comparable 2-year clinical outcomes. However, BES was not established to demonstrate non-inferiority to ZES in terms of the incidence of the primary endpoint at the 2-year. The technical success rate of the index PCI with the assigned stent was higher for thinner ZES.</p><p><strong>Trial registration: </strong>ClinicalTrials.gov Identifier: NCT01947439.</p>","PeriodicalId":17850,"journal":{"name":"Korean Circulation Journal","volume":" ","pages":"396-407"},"PeriodicalIF":3.1000,"publicationDate":"2025-05-01","publicationTypes":"Journal Article","fieldsOfStudy":null,"isOpenAccess":false,"openAccessPdf":"https://www.ncbi.nlm.nih.gov/pmc/articles/PMC12088991/pdf/","citationCount":"0","resultStr":"{\"title\":\"Comparison of Thick Biolimus A9-Eluting Stent and Thin Zotarolimus-Eluting Stent in Multi-Vessel Percutaneous Coronary Intervention.\",\"authors\":\"Cheol Hyun Lee, Hee Jeong Lee, Tae-Wan Chung, Seonhwa Lee, Jongmin Hwang, In-Cheol Kim, Yun-Kyeong Cho, Hyuck-Jun Yoon, Seung-Ho Hur, Jin Young Kim, Yun Seok Kim, Woo Sung Jang, Jang Hoon Lee, Woong Kim, Jin Bae Lee, Young Joon Hong, Jung Ho Heo, Bong-Ryeol Lee, Joon-Hyung Doh, Eun-Seok Shin, Bon-Kwon Koo, Chang-Wook Nam\",\"doi\":\"10.4070/kcj.2024.0101\",\"DOIUrl\":null,\"url\":null,\"abstract\":\"<p><strong>Background and objectives: </strong>There are limited randomized studies on patients undergoing multi-vessel percutaneous coronary intervention (PCI) comparing the outcomes between stent thickness and polymer types. To compare the clinical outcomes of thick biodegradable polymer-based biolimus A9-eluting stents (BESs) and thin durable polymer-based zotarolimus-eluting stents (ZESs) in patients undergoing multi-vessel PCI.</p><p><strong>Methods: </strong>A total of 936 patients who underwent multi-vessel coronary artery stenting were randomly assigned to the BES (n=472) or ZES (n=464) groups. The primary endpoint was 2-year major adverse cardiac events (MACEs), a composite of all-cause death, myocardial infarction (MI), and any revascularization at the 2-year follow-up.</p><p><strong>Results: </strong>Fifty-two (11.2%) of 472 patients in BES group and 50 (10.9%) of the 464 patients in ZES group met the 2-year primary endpoint of MACE (hazard ratio, 1.00; 90% confidence interval, 0.72, 1.38; p=0.994). All-cause death (BES vs. ZES: 2.8% vs. 2.7%, p=0.758), MI (2.1% vs. 2.6%, p=0.483), and repeat revascularization (6.7% vs. 6.9%, p=0.876) were not significantly different between the 2 groups. Although there was no significant outcome difference in any subgroup analysis, the technical failure rate leading to the use of other stents was higher in BES than in ZES (3.2% vs. 0.9%, p=0.023).</p><p><strong>Conclusions: </strong>In patients who underwent multi-vessel PCI, BES and ZES showed comparable 2-year clinical outcomes. However, BES was not established to demonstrate non-inferiority to ZES in terms of the incidence of the primary endpoint at the 2-year. The technical success rate of the index PCI with the assigned stent was higher for thinner ZES.</p><p><strong>Trial registration: </strong>ClinicalTrials.gov Identifier: NCT01947439.</p>\",\"PeriodicalId\":17850,\"journal\":{\"name\":\"Korean Circulation Journal\",\"volume\":\" \",\"pages\":\"396-407\"},\"PeriodicalIF\":3.1000,\"publicationDate\":\"2025-05-01\",\"publicationTypes\":\"Journal Article\",\"fieldsOfStudy\":null,\"isOpenAccess\":false,\"openAccessPdf\":\"https://www.ncbi.nlm.nih.gov/pmc/articles/PMC12088991/pdf/\",\"citationCount\":\"0\",\"resultStr\":null,\"platform\":\"Semanticscholar\",\"paperid\":null,\"PeriodicalName\":\"Korean Circulation Journal\",\"FirstCategoryId\":\"3\",\"ListUrlMain\":\"https://doi.org/10.4070/kcj.2024.0101\",\"RegionNum\":3,\"RegionCategory\":\"医学\",\"ArticlePicture\":[],\"TitleCN\":null,\"AbstractTextCN\":null,\"PMCID\":null,\"EPubDate\":\"2025/2/17 0:00:00\",\"PubModel\":\"Epub\",\"JCR\":\"Q2\",\"JCRName\":\"CARDIAC & CARDIOVASCULAR SYSTEMS\",\"Score\":null,\"Total\":0}","platform":"Semanticscholar","paperid":null,"PeriodicalName":"Korean Circulation Journal","FirstCategoryId":"3","ListUrlMain":"https://doi.org/10.4070/kcj.2024.0101","RegionNum":3,"RegionCategory":"医学","ArticlePicture":[],"TitleCN":null,"AbstractTextCN":null,"PMCID":null,"EPubDate":"2025/2/17 0:00:00","PubModel":"Epub","JCR":"Q2","JCRName":"CARDIAC & CARDIOVASCULAR SYSTEMS","Score":null,"Total":0}
引用次数: 0

摘要

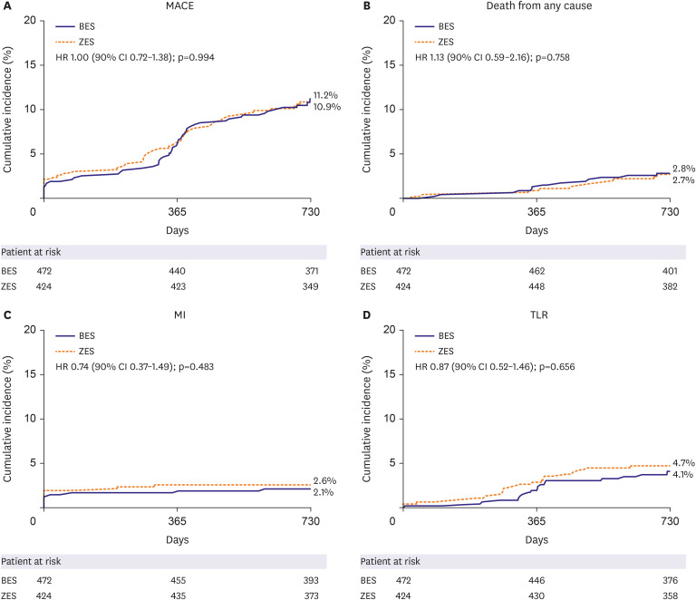
背景和目的:对接受多支经皮冠状动脉介入治疗(PCI)的患者进行了有限的随机研究,比较了支架厚度和聚合物类型的结果。比较厚的可生物降解聚合物基生物莫司洗脱支架(BESs)和薄的耐用聚合物基佐他莫司洗脱支架(ZESs)在多血管PCI患者中的临床效果。方法:936例行多支冠状动脉支架植入术的患者随机分为BES组(n=472)和ZES组(n=464)。主要终点是2年的主要心脏不良事件(mace),包括全因死亡、心肌梗死(MI)和2年随访中的任何血运重建术。结果:472例BES组患者中52例(11.2%)达到MACE 2年主要终点,464例ZES组患者中50例(10.9%)达到MACE 2年主要终点(风险比1.00;90%置信区间,0.72,1.38;p = 0.994)。两组全因死亡率(BES vs. ZES: 2.8% vs. 2.7%, p=0.758)、心肌梗死(2.1% vs. 2.6%, p=0.483)和重复血运重化术(6.7% vs. 6.9%, p=0.876)差异无统计学意义。虽然在任何亚组分析中没有显著的结果差异,但BES组导致使用其他支架的技术失败率高于ZES组(3.2% vs. 0.9%, p=0.023)。结论:在接受多支血管PCI的患者中,BES和ZES的2年临床结果相当。然而,就2年主要终点的发生率而言,BES并没有证明其非劣效性。对于较薄的ZES,指定支架的PCI技术成功率更高。试验注册:ClinicalTrials.gov标识符:NCT01947439。
本文章由计算机程序翻译,如有差异,请以英文原文为准。

Comparison of Thick Biolimus A9-Eluting Stent and Thin Zotarolimus-Eluting Stent in Multi-Vessel Percutaneous Coronary Intervention.

Comparison of Thick Biolimus A9-Eluting Stent and Thin Zotarolimus-Eluting Stent in Multi-Vessel Percutaneous Coronary Intervention.

Comparison of Thick Biolimus A9-Eluting Stent and Thin Zotarolimus-Eluting Stent in Multi-Vessel Percutaneous Coronary Intervention.

Comparison of Thick Biolimus A9-Eluting Stent and Thin Zotarolimus-Eluting Stent in Multi-Vessel Percutaneous Coronary Intervention.

Background and objectives: There are limited randomized studies on patients undergoing multi-vessel percutaneous coronary intervention (PCI) comparing the outcomes between stent thickness and polymer types. To compare the clinical outcomes of thick biodegradable polymer-based biolimus A9-eluting stents (BESs) and thin durable polymer-based zotarolimus-eluting stents (ZESs) in patients undergoing multi-vessel PCI.

Methods: A total of 936 patients who underwent multi-vessel coronary artery stenting were randomly assigned to the BES (n=472) or ZES (n=464) groups. The primary endpoint was 2-year major adverse cardiac events (MACEs), a composite of all-cause death, myocardial infarction (MI), and any revascularization at the 2-year follow-up.

Results: Fifty-two (11.2%) of 472 patients in BES group and 50 (10.9%) of the 464 patients in ZES group met the 2-year primary endpoint of MACE (hazard ratio, 1.00; 90% confidence interval, 0.72, 1.38; p=0.994). All-cause death (BES vs. ZES: 2.8% vs. 2.7%, p=0.758), MI (2.1% vs. 2.6%, p=0.483), and repeat revascularization (6.7% vs. 6.9%, p=0.876) were not significantly different between the 2 groups. Although there was no significant outcome difference in any subgroup analysis, the technical failure rate leading to the use of other stents was higher in BES than in ZES (3.2% vs. 0.9%, p=0.023).

Conclusions: In patients who underwent multi-vessel PCI, BES and ZES showed comparable 2-year clinical outcomes. However, BES was not established to demonstrate non-inferiority to ZES in terms of the incidence of the primary endpoint at the 2-year. The technical success rate of the index PCI with the assigned stent was higher for thinner ZES.

Trial registration: ClinicalTrials.gov Identifier: NCT01947439.

求助全文
通过发布文献求助,成功后即可免费获取论文全文。 去求助
来源期刊
Korean Circulation Journal
Korean Circulation Journal CARDIAC & CARDIOVASCULAR SYSTEMS-
CiteScore
4.90
自引率
17.20%
发文量
103
期刊介绍: Korean Circulation Journal is the official journal of the Korean Society of Cardiology, the Korean Pediatric Heart Society, the Korean Society of Interventional Cardiology, and the Korean Society of Heart Failure. Abbreviated title is ''Korean Circ J''. Korean Circulation Journal, established in 1971, is a professional, peer-reviewed journal covering all aspects of cardiovascular medicine, including original articles of basic research and clinical findings, review articles, editorials, images in cardiovascular medicine, and letters to the editor. Korean Circulation Journal is published monthly in English and publishes scientific and state-of-the-art clinical articles aimed at improving human health in general and contributing to the treatment and prevention of cardiovascular diseases in particular. The journal is published on the official website (https://e-kcj.org). It is indexed in PubMed, PubMed Central, Science Citation Index Expanded (SCIE, Web of Science), Scopus, EMBASE, Chemical Abstracts Service (CAS), Google Scholar, KoreaMed, KoreaMed Synapse and KoMCI, and easily available to wide international researchers
×
引用
GB/T 7714-2015
复制
MLA
复制
APA
复制
导出至
BibTeX EndNote RefMan NoteFirst NoteExpress
×
提示
您的信息不完整,为了账户安全,请先补充。
现在去补充
×
提示
您因"违规操作"
具体请查看互助需知
我知道了
×
提示
确定
请完成安全验证×
copy
已复制链接
快去分享给好友吧!
我知道了
右上角分享
点击右上角分享
0
联系我们:info@booksci.cn Book学术提供免费学术资源搜索服务,方便国内外学者检索中英文文献。致力于提供最便捷和优质的服务体验。 Copyright © 2023 布克学术 All rights reserved.
京ICP备2023020795号-1
ghs 京公网安备 11010802042870号
Book学术文献互助
Book学术文献互助群
群 号:604180095
Book学术官方微信